Development of an LNA-Based qPCR Assay for Detecting Toumeyella parvicornis (Cockerell, 1897) (Hemiptera: Coccidae) from Insect and Honeydew DNA
Simple Summary
Abstract
1. Introduction
2. Materials and Methods
2.1. Sample Collection from PTS
2.2. Non-Target Samples for Specificity Testing
2.3. DNA Isolation and Quantification
2.4. Primer and LNA Probe Design
2.5. qPCR Assay Optimization
2.6. Assay Validation and Performance Characteristics
3. Results
3.1. DNA Extraction from Different Samples
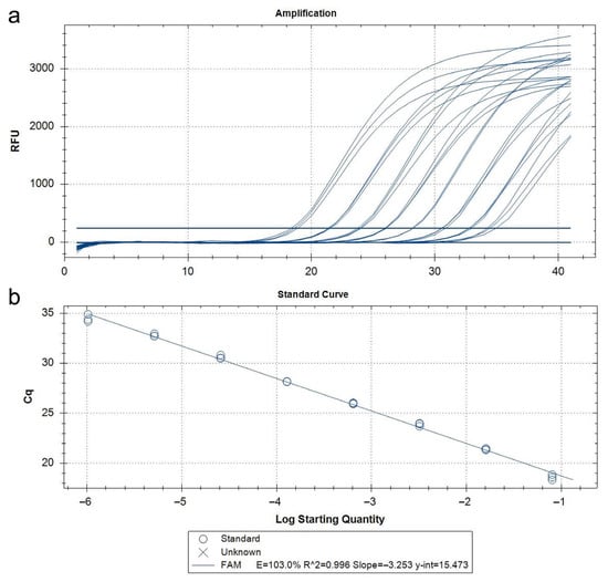
3.2. qPCR Assay Optimization with LNA Probe
3.3. Assay Validation
4. Discussion
5. Conclusions
Supplementary Materials
Author Contributions
Funding
Data Availability Statement
Acknowledgments
Conflicts of Interest
Abbreviations
| PTS | Pine tortoise scale (Toumeyella parvicornis) |
| EPPO | European and Mediterranean Plant Protection Organization |
| COI | Cytochrome c oxidase subunit I (mitochondrial gene) |
| 18S | 18S ribosomal RNA gene |
| CTAB | Cetyltrimethylammonium bromide |
| qPCR | Quantitative polymerase chain reaction |
| fg | Femtogram |
| pg | Picogram |
| LNA | Locked nucleic acid |
| LoD | Limit of detection |
References
- Skendžić, S.; Zovko, M.; Pajač Živković, I.; Lešić, V.; Lemić, D. Effect of Climate Change on Introduced and Native Agricultural Invasive Insect Pests in Europe. Insects 2021, 12, 985. [Google Scholar] [CrossRef] [PubMed]
- Pace, R.; Ascolese, R.; Miele, F.; Russo, E.; Griffo, R.V.; Bernardo, U.; Nugnes, F. The Bugs in the Bags: The Risk Associated with the Introduction of Small Quantities of Fruit and Plants by Airline Passengers. Insects 2022, 13, 617. [Google Scholar] [CrossRef] [PubMed]
- Hartmann, H.; Battisti, A.; Brockerhoff, E.G.; Bełka, M.; Hurling, R.; Jactel, H.; Oliva, J.; Rousselet, J.; Terhonen, E.; Ylioja, T.; et al. European Forests Are under Increasing Pressure from Global Change-Driven Invasions and Accelerating Epidemics by Insects and Diseases. J. Cultiv. Plants 2025, 77, 6–24. [Google Scholar] [CrossRef]
- Büyüktahtakın, İ.E.; Haight, R.G. A Review of Operations Research Models in Invasive Species Management: State of the Art, Challenges, and Future Directions. Ann. Oper. Res. 2018, 271, 357–403. [Google Scholar] [CrossRef]
- McLaughlin, G.M.; Dearden, P.K. Invasive Insects: Management Methods Explored. J. Insect Sci. 2019, 19, 17. [Google Scholar] [CrossRef]
- Venette, R.C.; Hutchison, W.D. Invasive Insect Species: Global Challenges, Strategies & Opportunities. Front. Insect Sci. 2021, 1, 650520. [Google Scholar] [CrossRef]
- Clarke, S.R. Pine Tortoise Scale; US Department of Agriculture, Forest Service, Pacific Northwest Region (R6): Vancouver, WA, USA, 2013. [Google Scholar]
- Garonna, A.P.; Foscari, A.; Russo, E.; Jesu, G.; Somma, S.; Cascone, P.; Guerrieri, E. The Spread of the Non-Native Pine Tortoise Scale Toumeyella parvicornis (Hemiptera: Coccidae) in Europe: A Major Threat to Pinus pinea in Southern Italy. iForest Biogeosci. For. 2018, 11, 628. [Google Scholar] [CrossRef]
- EFSA Panel on Plant Health (PLH); Bragard, C.; Baptista, P.; Chatzivassiliou, E.; Di Serio, F.; Gonthier, P.; Jaques Miret, J.A.; Fejer Justesen, A.; Magnusson, C.S.; Milonas, P.; et al. Pest Categorisation of Toumeyella parvicornis. EFSA J. 2022, 20, e07146. [Google Scholar] [CrossRef]
- Di Sora, N.; Turco, S.; Brugneti, F.; Rossini, L.; Mazzaglia, A.; Contarini, M.; Speranza, S. Molecular Characterization and Phylogenetic Analysis of the Pine Tortoise Scale Insect Toumeyella parvicornis (Cockerell) (Hemiptera: Coccidae). Forests 2023, 14, 1585. [Google Scholar] [CrossRef]
- Malumphy, C.; Hamilton, M.A.; Manco, B.N.; Green, P.W.C.; Sanchez, M.D.; Corcoran, M.; Salamanca, E. Toumeyella parvicornis (Hemiptera: Coccidae), Causing Severe Decline of Pinus Caribaea Var. Bahamensis in the Turks and Caicos Islands. Fla. Entomol. 2012, 95, 113–119. [Google Scholar] [CrossRef]
- Kosztarab, M. Scale Insects of Northeastern North America: Identification, Biology, and Distribution; Special publication; Virginia Museum of Natural History: Martinsville, VA, USA, 1996. [Google Scholar]
- Garonna, A.P.; Scarpato, S.; Vicinanza, F.; Espinosa, B. First Report of Toumeyella parvicornis (Cockerell) in Europe (Hemiptera: Coccidae). Zootaxa 2015, 3949, 142–146. [Google Scholar] [CrossRef]
- Tagarelli, N.; Avosani, S.; Tucci, M.; Verrastro, V. First Report of Toumeyella parvicornis (Hemiptera: Coccidae) in Puglia (South-Eastern Italy). EPPO Bull. 2022, 52, 487–492. [Google Scholar] [CrossRef]
- EPPO. Update of the Situation of Toumeyella parvicornis in Italy; EPPO Reporting Service no. 04-2025; EPPO: Luxembourg, 2025. [Google Scholar]
- EPPO. Toumeyella parvicornis (Hemiptera: Coccidae—Pine Tortoise Scale): Addition to the EPPO Alert List; EPPO Reporting Service n. 2021/082; EPPO: Luxembourg, 2021. [Google Scholar]
- Carella, D. Decreto Ministeriale 03/06/2021. Misure Fitosanitarie Di Emergenza Ai Fini Del Contrasto Dell’organismo Nocivo Toumeyella parvicornis (Cockerell) (Cocciniglia Tartaruga). Gazzetta Ufficiale della Repubblica Italiana, 21 July 2021; n. 173. [Google Scholar]
- Allen, M.C.; Nielsen, A.L.; Peterson, D.L.; Lockwood, J.L. Terrestrial eDNA Survey Outperforms Conventional Approach for Detecting an Invasive Pest Insect within an Agricultural Ecosystem. Environ. DNA 2021, 3, 1102–1112. [Google Scholar] [CrossRef]
- Taddei, A.; Becker, M.; Berger, B.; Da Lio, D.; Feltgen, S.; König, S.; Hoppe, B.; Rizzo, D. Molecular Identification of Anoplophora glabripennis (Coleoptera: Cerambycidae) and Detection from Frass Samples Based on Real-Time Quantitative PCR. J. Plant Dis. Prot. 2021, 128, 1587–1601. [Google Scholar] [CrossRef]
- Peterson, D.L.; Allen, M.C.; Vastano, A.; Lockwood, J.L. Evaluation of Sample Collection and Storage Protocols for Surface eDNA Surveys of an Invasive Terrestrial Insect. Environ. DNA 2022, 4, 1201–1211. [Google Scholar] [CrossRef]
- Kyle, K.E.; Allen, M.C.; Siegert, N.W.; Grabosky, J.; Lockwood, J.L. Design of an eDNA Sampling Method for Detection of an Endophagous Forest Pest. NeoBiota 2024, 95, 149–164. [Google Scholar] [CrossRef]
- Pirtle, E.I.; van Rooyen, A.R.; Maino, J.; Weeks, A.R.; Umina, P.A. A Molecular Method for Biomonitoring of an Exotic Plant-Pest: Leafmining for Environmental DNA. Mol. Ecol. 2021, 30, 4913–4925. [Google Scholar] [CrossRef]
- Rizzo, D.; Luchi, N.; Da Lio, D.; Bartolini, L.; Nugnes, F.; Cappellini, G.; Bruscoli, T.; Salemi, C.; Griffo, R.V.; Garonna, A.P.; et al. Development of a Loop-Mediated Isothermal Amplification (LAMP) Assay for the Identification of the Invasive Wood Borer Aromia bungii (Coleoptera: Cerambycidae) from Frass. 3 Biotech 2021, 11, 85. [Google Scholar] [CrossRef]
- Rizzo, D.; Zubieta, C.G.; Sacchetti, P.; Marrucci, A.; Miele, F.; Ascolese, R.; Nugnes, F.; Bernardo, U. Diagnostic Tool for the Identification of Bactrocera dorsalis (Hendel) (Diptera: Tephritidae) Using Real-Time PCR. Insects 2024, 15, 44. [Google Scholar] [CrossRef]
- Qi, J.; Gao, X.; Nan, J.; Ayaovi, A.; Zhao, M.; Fan, J.; He, H. Early Detection and Tracking of Wood Borers Using Improved Environmental DNA Aggregation and TaqMan Quantitative PCR Approaches in Forests. Insect Sci. 2025. early view. [Google Scholar] [CrossRef]
- Kokotovich, A.E.; Delborne, J.A.; Elsensohn, J.; Burrack, H. Emerging Technologies for Invasive Insects: The Role of Engagement. Ann. Entomol. Soc. Am. 2020, 113, 266–279. [Google Scholar] [CrossRef]
- Martinez, B.; Reaser, J.K.; Dehgan, A.; Zamft, B.; Baisch, D.; McCormick, C.; Giordano, A.J.; Aicher, R.; Selbe, S. Technology Innovation: Advancing Capacities for the Early Detection of and Rapid Response to Invasive Species. Biol. Invasions 2020, 22, 75–100. [Google Scholar] [CrossRef]
- Reeves, M.; Ibáñez, I.; Blumenthal, D.; Chen, G.; Guo, Q.; Jarnevich, C.; Koch, J.; Sapio, F.; Schwartz, M.K.; Meentemeyer, R.K.; et al. Tools and Technologies for Quantifying Spread and Impacts of Invasive Species. In Invasive Species in Forests and Rangelands of the United States; Poland, T.M., Patel-Weynand, T., Finch, D.M., Miniat, C.F., Hayes, D.C., Lopez, V.M., Eds.; Springer International Publishing: Cham, Switzerland, 2021; pp. 243–265. ISBN 978-3-030-45366-4. [Google Scholar]
- Roger, F.; Ghanavi, H.R.; Danielsson, N.; Wahlberg, N.; Löndahl, J.; Pettersson, L.B.; Andersson, G.K.S.; Boke Olén, N.; Clough, Y. Airborne Environmental DNA Metabarcoding for the Monitoring of Terrestrial Insects—A Proof of Concept from the Field. Environ. DNA 2022, 4, 790–807. [Google Scholar] [CrossRef]
- Rizzo, D.; Pecori, F.; Moriconi, M.; Zubieta, C.G.; Palmigiano, B.; Bartolini, L.; Downes, A.; Ranaldi, C.; Papini, V.; Luchi, N.; et al. Molecular Identification of Agrilus anxius (Coleoptera: Buprestidae) Using a qPCR Assay With Locked Nucleic Acid (LNA) Probe. J. Appl. Entomol. 2025, 149, 757–768. [Google Scholar] [CrossRef]
- Standard-Diagnostics, EPPO. PM 7/98 (5). Specific requirements for laboratories preparing accreditation for a plant pest diagnostic activity. EPPO Bull. 2021, 51, 468–498. [Google Scholar] [CrossRef]
- Byrne, D.N.; Miller, W.B. Carbohydrate and Amino Acid Composition of Phloem Sap and Honeydew Produced by Bemisia tabaci. J. Insect Physiol. 1990, 36, 433–439. [Google Scholar] [CrossRef]
- Fischer, M.K.; Völkl, W.; Hoffmann, K.H. Honeydew Production and Honeydew Sugar Composition of Polyphagous Black Bean Aphid, Aphis fabae (Hemiptera: Aphididae) on Various Host Plants and Implications for Ant-Attendance. Eur. J. Entomol. 2005, 102, 155–160. [Google Scholar] [CrossRef]
- Rizzo, D.; Aglietti, C.; Benigno, A.; Bracalini, M.; Da Lio, D.; Bartolini, L.; Cappellini, G.; Aronadio, A.; Francia, C.; Luchi, N.; et al. Loop-Mediated Isothermal Amplification (LAMP) and SYBR Green qPCR for Fast and Reliable Detection of Geosmithia morbida (Kolařik) in Infected Walnut. Plants 2022, 11, 1239. [Google Scholar] [CrossRef]
- Ioos, R.; Fourrier, C.; Iancu, G.; Gordon, T.R. Sensitive Detection of Fusarium circinatum in Pine Seed by Combining an Enrichment Procedure with a Real-Time Polymerase Chain Reaction Using Dual-Labeled Probe Chemistry. Phytopathology® 2009, 99, 582–590. [Google Scholar] [CrossRef]
- Ioos, R.; Kowalski, T.; Husson, C.; Holdenrieder, O. Rapid in Planta Detection of Chalara fraxinea by a Real-Time PCR Assay Using a Dual-Labelled Probe. Eur. J. Plant Pathol. 2009, 125, 329–335. [Google Scholar] [CrossRef]
- Katoh, K.; Standley, D.M. MAFFT Multiple Sequence Alignment Software Version 7: Improvements in Performance and Usability. Mol. Biol. Evol. 2013, 30, 772–780. [Google Scholar] [CrossRef]
- Dhami, M.K.; Gunawardana, D.N.; Voice, D.; Kumarasinghe, L. A Real-Time PCR Toolbox for Accurate Identification of Invasive Fruit Fly Species. J. Appl. Entomol. 2016, 140, 536–552. [Google Scholar] [CrossRef]
- Groth-Helms, D.; Rivera, Y.; Martin, F.N.; Arif, M.; Sharma, P.; Castlebury, L.A. Terminology and Guidelines for Diagnostic Assay Development and Validation: Best Practices for Molecular Tests. PhytoFrontiersTM 2023, 3, 23–35. [Google Scholar] [CrossRef]
- Luchi, N.; Ioos, R.; Santini, A. Fast and Reliable Molecular Methods to Detect Fungal Pathogens in Woody Plants. Appl. Microbiol. Biotechnol. 2020, 104, 2453–2468. [Google Scholar] [CrossRef] [PubMed]
- Peterson, D.L.; Pecori, F.; Luchi, N.; Migliorini, D.; Santini, A.; Kyle, K.E.; Rutledge, C.; Sallé, A.; Kaya, S.O.; Ramsfield, T.; et al. Development of Novel LAMP and qPCR Assays for Rapid and Specific Identification of Bronze Birch Borer (Agrilus anxius). Environ. DNA 2023, 5, 1177–1190. [Google Scholar] [CrossRef]
- Di Sora, N.; Contarini, M.; Rossini, L.; Turco, S.; Brugneti, F.; Metaliaj, R.; Vejsiu, I.; Peri, L.; Speranza, S. First Report of Toumeyella parvicornis (Cockerell) (Hemiptera: Coccidae) in Albania and Its Potential Spread in the Coastal Area of the Balkans. EPPO Bull. 2024, 54, 160–165. [Google Scholar] [CrossRef]
- Rada, P.; Padilla, A.; Horák, J.; Micó, E. Public LiDAR Data Are an Important Tool for the Detection of Saproxylic Insect Hotspots in Mediterranean Forests and Their Connectivity. For. Ecol. Manag. 2022, 520, 120378. [Google Scholar] [CrossRef]
- Utzeri, V.J.; Schiavo, G.; Ribani, A.; Tinarelli, S.; Bertolini, F.; Bovo, S.; Fontanesi, L. Entomological Signatures in Honey: An Environmental DNA Metabarcoding Approach Can Disclose Information on Plant-Sucking Insects in Agricultural and Forest Landscapes. Sci. Rep. 2018, 8, 9996. [Google Scholar] [CrossRef]
- Owashi, Y.; Hayashi, M. Aphid DNA Detection by Molecular Gut Content Analysis in a Natural Enemy Consuming Honeydew. J. Appl. Entomol. 2022, 146, 1036–1040. [Google Scholar] [CrossRef]
- Suganthi, M.; Abirami, G.; Jayanthi, M.; Kumar, K.A.; Karuppanan, K.; Palanisamy, S. A Method for DNA Extraction and Molecular Identification of Aphids. MethodsX 2023, 10, 102100. [Google Scholar] [CrossRef]
- Valentin, R.E.; Fonseca, D.M.; Gable, S.; Kyle, K.E.; Hamilton, G.C.; Nielsen, A.L.; Lockwood, J.L. Moving eDNA Surveys onto Land: Strategies for Active eDNA Aggregation to Detect Invasive Forest Insects. Mol. Ecol. Resour. 2020, 20, 746–755. [Google Scholar] [CrossRef]
- Rizzo, D.; Taddei, A.; Da Lio, D.; Nugnes, F.; Barra, E.; Stefani, L.; Bartolini, L.; Griffo, R.V.; Spigno, P.; Cozzolino, L.; et al. Identification of the Red-Necked Longhorn Beetle Aromia bungii (Faldermann, 1835) (Coleoptera: Cerambycidae) with Real-Time PCR on Frass. Sustainability 2020, 12, 6041. [Google Scholar] [CrossRef]
- Rizzo, D.; D’Agostino, A.; Stabile, I.; Ranaldi, C.; Marrucci, A.; Zubieta, C.; Da Lio, D.; Bartolini, L.; Pennacchio, F.; Rossi, E.; et al. Identification of the Ambrosia Beetle Anisandrus dispar (Fabricius) (Coleoptera Curculionidae Scolytinae) Using TaqManTM Probe Assay on Biological Samples. iForest 2023, 16, 182–187. [Google Scholar] [CrossRef]
- Priya, N.G.; Pandey, N.; Rajagopal, R. LNA Probes Substantially Improve the Detection of Bacterial Endosymbionts in Whole Mount of Insects by Fluorescent In-Situhybridization. BMC Microbiol. 2012, 12, 81. [Google Scholar] [CrossRef] [PubMed]
- Cao, Y.; Yao, R.; Wang, Y.; Huang, C.; Zhang, Y.; Liu, W.; Li, J.; Lin, L.; Tan, L.; Yan, F.; et al. Unlocking Precision: Advancing Rapid Field Molecular Identification of Tuta absoluta across Its Life Cycle Using Locked Nucleic Acid Strategies. Sens. Actuators B Chem. 2024, 416, 136059. [Google Scholar] [CrossRef]
- Teder, S.; Steffen, L. Real-Time qPCR: Guidelines for a Comparison of Reagent Performance; Application Note# AN299; Promega: Alexandria, Australian, 2017. [Google Scholar]
- Turillazzi, F.; Barzanti, G.P.; Mazza, G.; Strangi, A.; Giovannini, L.; Sabbatini Peverieri, G.; Garonna, A.P.; Roversi, P.F. First Report Of An Entomopathogenic Fungus Attacking Toumeyella parvicornis (Cockerell, 1897) (Hemiptera: Coccidae). Redia 2025, 108, 155–160. [Google Scholar] [CrossRef]
- Falanga, V.; Francini, S.; Parisi, F.; Cavalli, A.; De Fioravante, P.; Cucca, B.; D’Amico, G.; Chirici, G.; Lasserre, B.; Ottaviano, M.; et al. Near-Real-Time Detection of Insect Outbreaks in Urban Trees Using a PlanetScope Time Series. Forests 2024, 15, 2261. [Google Scholar] [CrossRef]
- Larson, E.R.; Graham, B.M.; Achury, R.; Coon, J.J.; Daniels, M.K.; Gambrell, D.K.; Jonasen, K.L.; King, G.D.; LaRacuente, N.; Perrin-Stowe, T.I.; et al. From eDNA to Citizen Science: Emerging Tools for the Early Detection of Invasive Species. Front. Ecol. Env. 2020, 18, 194–202. [Google Scholar] [CrossRef]
- Kirtane, A.; Dietschler, N.J.; Bittner, T.D.; Lefebvre, M.B.; Celis, S.; O’Connor, K.; Havill, N.; Whitmore, M.C. Sensitive Environmental DNA (eDNA) Methods to Detect Hemlock Woolly Adelgid and Its Biological Control Predators Leucotaraxis Silver Flies and a Laricobius Beetle. Environ. DNA 2022, 4, 1136–1149. [Google Scholar] [CrossRef]
- Bell, K.L.; Campos, M.; Hoffmann, B.D.; Encinas-Viso, F.; Hunter, G.C.; Webber, B.L. Environmental DNA Methods for Biosecurity and Invasion Biology in Terrestrial Ecosystems: Progress, Pitfalls, and Prospects. Sci. Total Environ. 2024, 926, 171810. [Google Scholar] [CrossRef]





| Sense Primer: GAGCAATAATAATTACYTCYA | Position: 437 | |||
| Length (bp) | Tm (°C) | GC% | Self-Dimer (ΔG) | |
| 21 | 57.0 | 28.6 | −2.7 | |
| Anti-Sense Primer: GTTGGAAAATAATWGGATTTC | Position: 577 | |||
| Length (bp) | Tm (°C) | GC% | Self-Dimer (ΔG) | |
| 21 | 57.2 | 28.6 | −1.8 | |
| Product: | ||||
| Rating | Length (bp) | Tm (°C) | Ta Opt (°C) | Cross Dimer (ΔG) |
| 73.5 | 141 | 69.7 | 52.0 | −4.1 |
| Sense Dual-Labeled Probe: AAT(T)CC(T)GT(T)TT(A)GCWAGA | Position: 577 | |||
| Length (bp) | Tm (°C) | GC% | Self-Dimer (ΔG) | |
| 19 | 64.2 | 31.6 | −1.3 | |
| Sample | Mean DNA Concentration (ng/µL) | Absorbance (A260/280) | Mean Cq (18S) | Mean Cq (qPCR LNA Probe) |
|---|---|---|---|---|
| Adults | 123 ± 12.45 | 1.87 ± 0.04 | 20.2 ± 0.12 | 20.9 ± 0.19 |
| honeydew-contaminated needles | - | - | 24.2 ± 0.34 | 31.2 ± 0.87 |
| laboratory-collected honeydew | - | - | 25.4 ± 0.22 | 30.3 ± 1.25 |
| Dilutions | ng/µL | A | B | C | Cq Average | SD |
|---|---|---|---|---|---|---|
| - | 5 | 18.76 | 19.11 | 18.9 | 18.92 | 0.18 |
| −1 | 1 | 21.04 | 21.65 | 21.38 | 21.36 | 0.31 |
| −2 | 0.2 | 23.67 | 23.93 | 23.79 | 23.80 | 0.13 |
| −3 | 0.04 | 26.15 | 26.56 | 26.65 | 26.45 | 0.27 |
| −4 | 0.008 | 28.44 | 28.92 | 29.57 | 28.98 | 0.57 |
| −5 | 0.0016 | 31.06 | 31.83 | 32.4 | 31.76 | 0.67 |
| −6 | 0.00032 | 34.17 | 35.03 | 34.56 | 34.59 | 0.43 |
| −7 | 0.000064 | 36.56 | 37.03 | 38.82 | 37.47 | 1.19 |
| −8 | 0.0000128 | n/a | n/a | n/a | n/a | - |
| Matrix | Dilution Limit | Cq Average | Estimated Quantity /20 µL |
|---|---|---|---|
| honeydew-contaminated needles | Third dilution 1:5 | 34.68 ± 1.67 | 36.3 ± 0.45 pg/µL |
| laboratory-collected honeydew | Third dilution 1:5 | 34.54 ± 0.97 | 23.3 ± 0.06 pg/µL |
| Replicas | A | B | C | Cq Average | SD |
|---|---|---|---|---|---|
| 1 | 28.95 | 29.5 | 29.02 | 29.16 | 0.30 |
| 2 | 28.85 | 29.55 | 29.12 | 29.17 | 0.19 |
| 3 | 28.78 | 29.13 | 29.05 | 28.99 | 0.18 |
| 4 | 28.8 | 29.42 | 29.18 | 29.13 | 0.31 |
| 5 | 28.79 | 29.07 | 29.63 | 29.16 | 0.43 |
| 6 | 28.82 | 29.42 | 29.2 | 29.15 | 0.30 |
| 7 | 28.84 | 29.68 | 29.07 | 29.20 | 0.43 |
| 8 | 29.04 | 29.56 | 29.18 | 29.26 | 0.27 |
| Replicas | A | B | C | Cq Average | SD |
|---|---|---|---|---|---|
| 1 | 29.27 | 29.68 | 29.28 | 29.41 | 0.23 |
| 2 | 29.43 | 29.62 | 29.57 | 29.54 | 0.10 |
| 3 | 29.39 | 29.62 | 29.32 | 29.44 | 0.16 |
| 4 | 29.19 | 29.48 | 29.42 | 29.36 | 0.15 |
| 5 | 29.24 | 29.39 | 29.56 | 29.40 | 0.16 |
| 6 | 29.12 | 29.89 | 29.43 | 29.48 | 0.39 |
| 7 | 29.2 | 29.41 | 29.04 | 29.22 | 0.19 |
| 8 | 29.34 | 29.58 | 29.22 | 29.38 | 0.18 |
Disclaimer/Publisher’s Note: The statements, opinions and data contained in all publications are solely those of the individual author(s) and contributor(s) and not of MDPI and/or the editor(s). MDPI and/or the editor(s) disclaim responsibility for any injury to people or property resulting from any ideas, methods, instructions or products referred to in the content. |
© 2025 by the authors. Licensee MDPI, Basel, Switzerland. This article is an open access article distributed under the terms and conditions of the Creative Commons Attribution (CC BY) license (https://creativecommons.org/licenses/by/4.0/).
Share and Cite
Rizzo, D.; Downes, A.; Zubieta, C.G.; Moriconi, M.; Ranaldi, C.; Palmigiano, B.; Aronadio, A.; Bartolini, L.; Bolige, E.; Garonna, A.P.; et al. Development of an LNA-Based qPCR Assay for Detecting Toumeyella parvicornis (Cockerell, 1897) (Hemiptera: Coccidae) from Insect and Honeydew DNA. Insects 2025, 16, 982. https://doi.org/10.3390/insects16090982
Rizzo D, Downes A, Zubieta CG, Moriconi M, Ranaldi C, Palmigiano B, Aronadio A, Bartolini L, Bolige E, Garonna AP, et al. Development of an LNA-Based qPCR Assay for Detecting Toumeyella parvicornis (Cockerell, 1897) (Hemiptera: Coccidae) from Insect and Honeydew DNA. Insects. 2025; 16(9):982. https://doi.org/10.3390/insects16090982
Chicago/Turabian StyleRizzo, Domenico, Alice Downes, Claudia Gabriela Zubieta, Michela Moriconi, Chiara Ranaldi, Bruno Palmigiano, Antonio Aronadio, Linda Bartolini, Edson Bolige, Antonio P. Garonna, and et al. 2025. "Development of an LNA-Based qPCR Assay for Detecting Toumeyella parvicornis (Cockerell, 1897) (Hemiptera: Coccidae) from Insect and Honeydew DNA" Insects 16, no. 9: 982. https://doi.org/10.3390/insects16090982
APA StyleRizzo, D., Downes, A., Zubieta, C. G., Moriconi, M., Ranaldi, C., Palmigiano, B., Aronadio, A., Bartolini, L., Bolige, E., Garonna, A. P., & Russo, E. (2025). Development of an LNA-Based qPCR Assay for Detecting Toumeyella parvicornis (Cockerell, 1897) (Hemiptera: Coccidae) from Insect and Honeydew DNA. Insects, 16(9), 982. https://doi.org/10.3390/insects16090982

