Effect of Seasonal Grazing on Ground-Dwelling Insect Communities in the Desert Steppe of Ningxia
Simple Summary
Abstract
1. Introduction
2. Materials and Methods
2.1. Overview of the Research Area
2.2. Method
2.2.1. Experiment Design
2.2.2. Collection of Insects
2.2.3. Vegetation Investigation
2.2.4. Calculation of the Diversity Index
2.3. Data Analysis
3. Result and Analysis
3.1. Insect Distribution in Grazing Areas
3.2. Insect Diversity in Grazing Areas
3.2.1. Alpha Diversity Analysis of Herbivorous Insects and Predatory Insects
3.2.2. Beta Diversity Analysis of Herbivorous Insects and Predatory Insects
3.3. Vegetation Community Structure Index of Grazing Areas
3.4. The Relationship Between Herbivorous Insects and Environmental Factors
3.4.1. Redundancy Analysis of Herbivorous Insects and Environmental Factors
3.4.2. Mantel Analysis of Herbivorous Insects and Environmental Factors
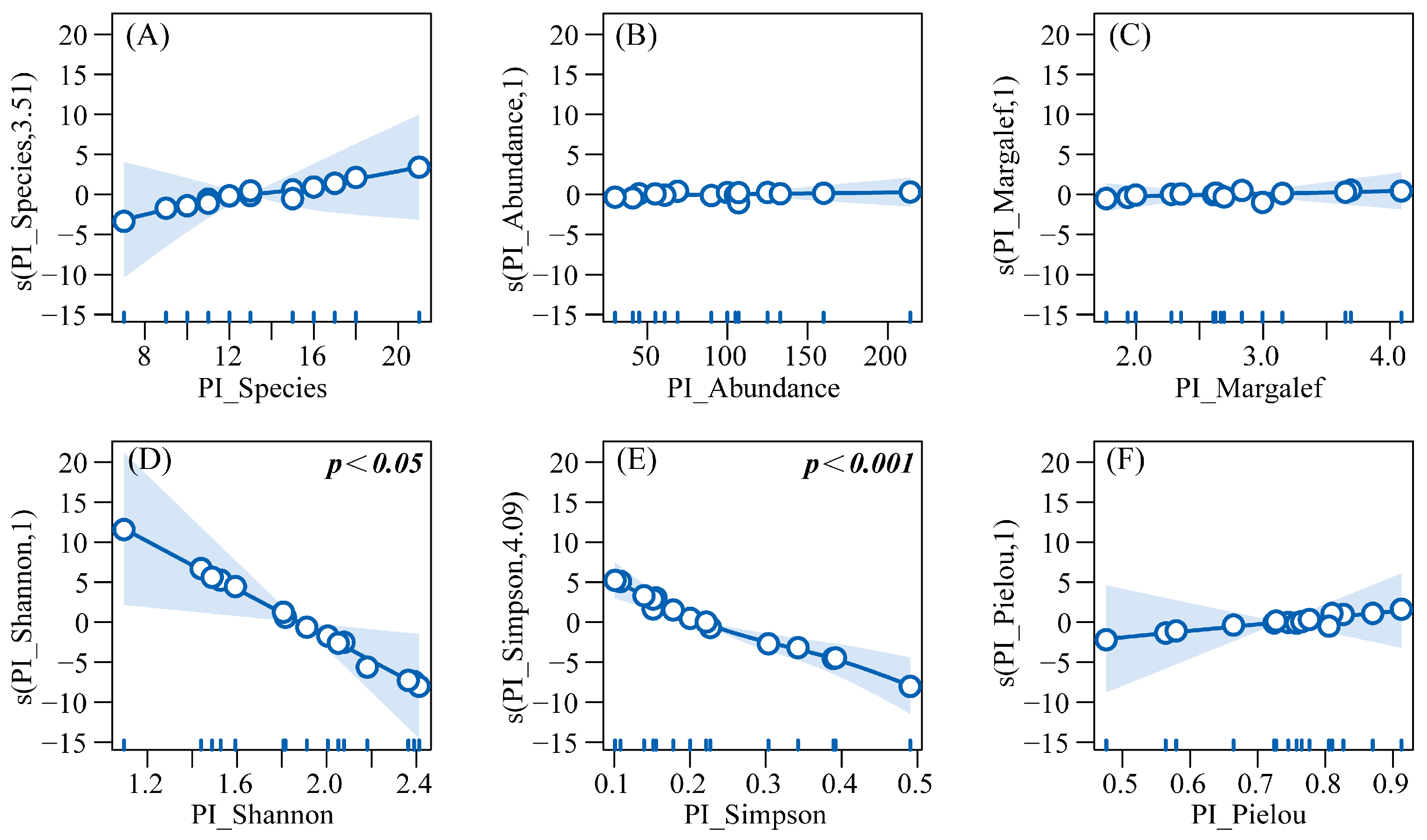
3.4.3. Responses of Herbivorous Insects to the Diversity of Predatory Insects
3.4.4. The Response of Herbivorous Insects to the Structure Index of Vegetation Communities
4. Discussion
5. Conclusions
Supplementary Materials
Author Contributions
Funding
Data Availability Statement
Acknowledgments
Conflicts of Interest
Abbreviations
| Sp | Spring |
| Su | Summer |
| Au | Autumn |
| ANPP | Aboveground net primary productivity |
| HI | Herbivorous insects |
| PI | Predatory insects |
| P | Plants |
References
- Wei, S.; Huang, W.; Zhu, M.; Gao, L.; Wang, Y.; Zhang, R.; Li, Z.; Zhao, Z. The asymmetric responses of carabid beetles to steppe fragmentation in Northwest China. Glob. Ecol. Conserv. 2020, 23, e01058. [Google Scholar] [CrossRef]
- Zhang, H.; Cao, Z.; Wang, Y.; Shi, X.; Cheng, R.; Ban, L.; Zhang, R.; Wei, S. Beta diversity of grasshoppers and predatory beetles across steppes is closely associated with altitude and average annual precipitation in Ningxia, northwest China. Glob. Ecol. Conserv. 2024, 51, e02941. [Google Scholar] [CrossRef]
- Cao, Z.; Zhang, H.; Luo, Y.; Xiong, C.; Cui, Y.; Sun, W.; Wang, Y.; Shi, C.; Ban, L.; Zhang, R.; et al. Effects of Habitat Loss on Tenebrionidae in Gravel–Sand Mulching Areas of Desert Steppe in Ningxia, China. Agronomy 2024, 14, 2518. [Google Scholar] [CrossRef]
- Tsafack, N.; Fang, W.; Wang, X.; Xie, Y.; Wang, X.; Fattorini, S. Influence of grazing and solar panel installation on tenebrionid beetles (Coleoptera Tenebrionidae) of a central Asian steppe. J. Environ. Manag. 2022, 320, 115791. [Google Scholar] [CrossRef]
- Kohyani, P.T.; Bossuyt, B.; Bonte, D.; Hoffmann, M. Grazing impact on plant spatial distribution and community composition. Plant Ecol. Evol. 2011, 144, 19–28. [Google Scholar] [CrossRef]
- Milazzo, F.; Francksen, R.M.; Abdalla, M.; Ravetto, E.S.; Zavattaro, L.; Pittarello, M.; Hejduk, S.; Newell-Price, P.; Schils, R.L.; Smith, P.; et al. An overview of permanent grassland grazing management practices and the impacts on principal soil quality indicators. Agronomy 2023, 13, 1366. [Google Scholar] [CrossRef]
- Ren, H.; Xie, J.; Ke, Y.; Yu, Q.; Lkhagva, A.; Liu, M. Moderate grazing weakens legacy effects of grazing history on primary productivity and biodiversity in a meadow grassland. Agric. Ecosyst. Environ. 2024, 362, 108825. [Google Scholar] [CrossRef]
- Zhu, H.; Wang, D.; Wang, L.; Bai, Y.; Fang, J.; Liu, J. The effects of large herbivore grazing on meadow steppe plant and insect diversity. J. Appl. Ecol. 2012, 49, 1075–1083. [Google Scholar] [CrossRef]
- WallisDeVries, M.F.; Noordijk, J.; Colijn, E.O.; Smit, J.T.; Veling, K. Contrasting responses of insect communities to grazing intensity in lowland heathlands. Agric. Ecosyst. Environ. 2016, 234, 72–80. [Google Scholar] [CrossRef]
- Wang, N.; Song, X.; Wang, J.; Wang, L. Impacts of different fencing periods and grazing intensities on insect diversity in the desert steppe in Inner Mongolia. Front. Ecol. Evol. 2022, 10, 1021677. [Google Scholar] [CrossRef]
- Dröse, W.; Podgaiski, L.R.; Gossner, M.M.; Meyer, S.T.; Hermann, J.M.; Leidinger, J.; Koch, C.; Kollmann, J.; Weisser, W.W.; Mendonça, J.M.D.; et al. Passive restoration of subtropical grasslands leads to incomplete recovery of ant communities in early successional stages. Biol. Conserv. 2021, 264, 109387. [Google Scholar] [CrossRef]
- Hayes, M.; Boyle, P.; Moran, J.; Gormally, M. Assessing the biodiversity value of wet grasslands: Can selected plant and insect taxa be used as rapid indicators of species richness at a local scale? Biodivers. Conserv. 2015, 24, 2535–2549. [Google Scholar] [CrossRef]
- Peters, V.E.; Campbell, K.U.; Dienno, G.; García, M.; Leak, E.; Loyke, C.; Ogle, M.; Steinly, B.; Crist, T.O. Ants and plants as indicators of biodiversity, ecosystem services, and conservation value in constructed grasslands. Biodivers. Conserv. 2016, 25, 1481–1501. [Google Scholar] [CrossRef]
- Ruan, H.; Wu, X.; Wang, S.; Yang, J.; Zhu, H.; Guo, Q.; Wang, L.; Wang, D. The responses of different insect guilds to grassland degradation in northeastern China. Ecol. Indic. 2021, 133, 108369. [Google Scholar] [CrossRef]
- Zhu, H.; Wang, D.; Guo, Q.; Liu, J.; Wang, L. Interactive effects of large herbivores and plant diversity on insect abundance in a meadow steppe in China. Agric. Ecosyst. Environ. 2015, 212, 245–252. [Google Scholar] [CrossRef]
- Fonderflick, J.; Besnard, A.; Beuret, A.; Dalmais, M.; Schatz, B. The impact of grazing management on Orthoptera abundance varies over the season in Mediterranean steppe-like grassland. Acta Oecologica 2014, 60, 7–16. [Google Scholar] [CrossRef]
- Sjödin, N.E.; Bengtsson, J.; Ekbom, B. The influence of grazing intensity and landscape composition on the diversity and abundance of flower-visiting insects. J. Appl. Ecol. 2008, 45, 763–772. [Google Scholar] [CrossRef]
- Song, X.; Ji, L.; Liu, G.; Zhang, X.; Hou, X.; Gao, S.; Wang, N. Patterns and drivers of aboveground insect diversity along ecological transect in temperate grazed steppes of Eastern Eurasian. Insects 2023, 14, 191. [Google Scholar] [CrossRef]
- Zhu, H.; Li, H.; Yang, Z.; Ahungu, A.B.; Fei, S.; Luo, W.; Wang, D. Intensive grazing enhances grasshopper fitness and abundance in a meadow steppe. Agric. Ecosyst. Environ. 2020, 300, 107012. [Google Scholar] [CrossRef]
- Spalinger, L.C.; Haynes, A.G.; Schütz, M.; Risch, A.C. Impact of wild ungulate grazing on Orthoptera abundance and diversity in subalpine grasslands. Insect Conserv. Divers. 2012, 5, 444–452. [Google Scholar] [CrossRef]
- Pozsgai, G.; Quinzo-Ortega, L.; Littlewood, N.A. Grazing impacts on ground beetle (Coleoptera: Carabidae) abundance and diversity on semi-natural grassland. Insect Conserv. Divers. 2022, 15, 36–47. [Google Scholar] [CrossRef]
- Wang, L.; Delgado-Baquerizo, M.; Wang, D.; Isbell, F.; Liu, J.; Feng, C.; Liu, J.; Zhong, Z.; Zhu, H.; Yuan, X.; et al. Diversifying livestock promotes multidiversity and multifunctionality in managed grasslands. Proc. Natl. Acad. Sci. USA 2019, 116, 6187–6192. [Google Scholar] [CrossRef] [PubMed]
- O’Neill, K.M.; Olson, B.E.; Rolston, M.G.; Wallander, R.; Larson, D.P.; Seibert, C.E. Effects of livestock grazing on rangeland grasshopper (Orthoptera: Acrididae) abundance. Agric. Ecosyst. Environ. 2003, 97, 51–64. [Google Scholar] [CrossRef]
- Wang, K.; Deng, L.; Ren, Z.; Li, J.; Shangguan, Z. Grazing exclusion significantly improves grassland ecosystem C and N pools in a desert steppe of Northwest China. Catena 2016, 137, 441–448. [Google Scholar] [CrossRef]
- Illich, I.; Zuna-Kratky, T. Population dynamics of an alpine grasshopper (Orthoptera) community over 30 years and the effects of climate warming and grazing. J. Insect Conserv. 2022, 26, 435–451. [Google Scholar] [CrossRef]
- Ferreira, P.M.; Andrade, B.O.; Podgaiski, L.R.; Dias, A.C.; Pillar, V.D.; Overbeck, G.E.; Mendonca, J.M.D.; Boldrini, I.I. Long-term ecological research in southern Brazil grasslands: Effects of grazing exclusion and deferred grazing on plant and arthropod communities. PLoS ONE 2020, 15, e0227706. [Google Scholar] [CrossRef]
- Jerrentrup, J.S.; Wrage-Mönnig, N.; Röver, K.U.; Isselstein, J. Grazing intensity affects insect diversity via sward structure and heterogeneity in a long-term experiment. J. Appl. Ecol. 2014, 51, 968–977. [Google Scholar] [CrossRef]
- Wei, X.L.; Wu, P. Responses of soil insect communities to alpine wetland degradation on the eastern Qinghai-Tibetan Plateau, China. Eur. J. Soil Biol. 2021, 103, 103276. [Google Scholar] [CrossRef]
- Liu, M.; Jiang, P.; Chase, J.M.; Liu, X. Global insect herbivory and its response to climate change. Curr. Biol. 2024, 34, 2558–2569. [Google Scholar] [CrossRef]
- Zhu, L.; Zhang, H.; Gao, X.; Qi, Y.; Xu, X. Seasonal patterns in water uptake for Medicago sativa grown along an elevation gradient with shallow groundwater table in Yanchi county of Ningxia, Northwest China. J. Arid. Land 2016, 8, 921–934. [Google Scholar] [CrossRef]
- Zhang, R.; Wei, S.; Gao, L.; Zhang, Z. Colored Pictorial Handbook of Grassland Insects in Ningxia, 1st ed.; China Agricultural Science and Technology Press: Beijing, China, 2014; pp. 128–208. [Google Scholar]
- Ren, G.; Bai, X.; Bai, L. Fauna of the Beetles from Ningxia, China, 1st ed.; Publishing House of Electronics Industry: Beijing, China, 2019; pp. 44–538. [Google Scholar]
- Wang, X.; Yang, G. Insects in Helan Mountain of Ningxia Hui Autonomous Region, 1st ed.; Ningxia people’s Publishing House: Yinchuan, China, 2010; pp. 151–255. [Google Scholar]
- Graystock, P.; Ng, W.H.; Parks, K.; Tripodi, A.D.; Muñiz, P.A.; Fersch, A.A.; Myers, C.R.; McFrederick, Q.S.; McArt, S.H. Dominant bee species and floral abundance drive parasite temporal dynamics in plant-pollinator communities. Nat. Ecol. Evol. 2020, 4, 1358–1367. [Google Scholar] [CrossRef] [PubMed]
- Mahmood, A.H.; Florentine, S.; Graz, F.P.; Turville, C.; Palmer, G.; Sillitoe, J.; McLaren, D. Comparison of techniques to control the aggressive environmental invasive species Galenia pubescens in a degraded grassland reserve, Victoria, Australia. PLoS ONE 2018, 13, e0203653. [Google Scholar] [CrossRef] [PubMed]
- Agrawal, A.; Gopal, K. Application of diversity index in measurement of species diversity. In Biomonitoring of Water and Waste Water; Springer: New Delhi, India, 2012; pp. 41–48. [Google Scholar]
- Hsieh, T.C.; Ma, K.; Chao, A. iNEXT: An R package for rarefaction and extrapolation of species diversity (H ill numbers). Methods Ecol. Evol. 2016, 7, 1451–1456. [Google Scholar] [CrossRef]
- LeBrun, E.S.; King, R.S.; Back, J.A.; Kang, S. Microbial community structure and function decoupling across a phosphorus gradient in streams. Microb. Ecol. 2018, 75, 64–73. [Google Scholar] [CrossRef]
- Dray, S.; Bauman, D.; Blanchet, G.; Borcard, D.; Clappe, S.; Guénard, G.; Jombart, T.; Larocque, G.; Legendre, P.; Madi, N.; et al. R Package. “adespatial”, Version 0.3-27. 2025. Available online: https://CRAN.R-project.org/package=adespatial (accessed on 4 August 2025).
- Lai, J.; Zou, Y.; Zhang, J.; Peres-Neto, P.R. Generalizing hierarchical and variation partitioning in multiple regression and canonical analyses using the rdacca. hp R package. Methods Ecol. Evol. 2022, 13, 782–788. [Google Scholar] [CrossRef]
- Sunagawa, S.; Coelho, L.P.; Chaffron, S.; Kultima, J.R.; Labadie, K.; Salazar, G.; Djahanschiri, B.; Zeller, G.; Mende, D.R.; Alberti, A.; et al. Structure and function of the global ocean microbiome. Science 2015, 348, 1261359. [Google Scholar] [CrossRef]
- Wood, S.N. Generalized Additive Models: An Introduction with R; Chapman and Hall/CRC: New York, NY, USA, 2017. [Google Scholar]
- Nyman, T. To speciate, or not to speciate? Resource heterogeneity, the subjectivity of similarity, and the macroevolutionary consequences of niche-width shifts in plant-feeding insects. Biol. Rev. 2010, 85, 393–411. [Google Scholar] [CrossRef]
- Joern, A. Disturbance by fire frequency and bison grazing modulate grasshopper assemblages in tallgrass prairie. Ecology 2005, 86, 861–873. [Google Scholar] [CrossRef]
- Rohlfs, M.; Hoffmeister, T.S. Spatial aggregation across ephemeral resource patches in insect communities: An adaptive response to natural enemies? Oecologia 2004, 140, 654–661. [Google Scholar] [CrossRef]
- Peacock, J.; Macleod, R.; Davies, G.M.; Boorsma, T.; Tonra, C.M. Habitat Selection of Three Neotropical Grassland Birds Is Dependent on Vegetation Structure and Resources. Diversity 2024, 16, 229. [Google Scholar] [CrossRef]
- Wang, L.; Gan, Y.; Wiesmeier, M.; Zhao, G.; Zhang, R.; Han, G.; Siddique, K.H.; Hou, F. Grazing exclusion—An effective approach for naturally restoring degraded grasslands in Northern China. Land Degrad. Dev. 2018, 29, 4439–4456. [Google Scholar] [CrossRef]
- Zhao, Z.; Wei, J.; Zhang, K.; Li, H.; Wei, S.; Pan, X.; Huang, W.; Zhu, M.; Zhang, R. Asymmetric response of different functional insect groups to low-grazing pressure in Eurasian steppe in Ningxia. Ecol. Evol. 2018, 8, 11609–11618. [Google Scholar] [CrossRef] [PubMed]
- Connell, J.H. Diversity in tropical rain forests and coral reefs: High diversity of trees and corals is maintained only in a nonequilibrium state. Science 1978, 199, 1302–1310. [Google Scholar] [CrossRef] [PubMed]
- Andersen, A.N.; Arnan, X.; Sparks, K. Limited niche differentiation within remarkable co-occurrences of congeneric species: M onomorium ants in the A ustralian seasonal tropics. Austral Ecol. 2013, 38, 557–567. [Google Scholar] [CrossRef]
- Kalarus, K.; Halecki, W.; Skalski, T. Both semi-natural and ruderal habitats matter for supporting insect functional diversity in an abandoned quarry in the city of Kraków (S Poland). Urban Ecosyst. 2019, 22, 943–953. [Google Scholar] [CrossRef]
- Newbold, T.; Bentley, L.F.; Hill, S.L.; Edgar, M.J.; Horton, M.; Su, G.; Şekercioğlu, Ç.H.; Collen, B.; Purvis, A. Global effects of land use on biodiversity differ among functional groups. Funct. Ecol. 2020, 34, 684–693. [Google Scholar] [CrossRef]
- Obermaier, E.; Heisswolf, A.; Poethke, H.J.; Randlkofer, B.; Meiners, T. Plant architecture and vegetation structure: Two ways for insect herbivores to escape parasitism. Eur. J. Entomol. 2008, 105, 233–240. [Google Scholar] [CrossRef]
- Urban, M.C.; Scarpa, A.; Travis, J.M.; Bocedi, G. Maladapted prey subsidize predators and facilitate range expansion. Am. Nat. 2019, 194, 590–612. [Google Scholar] [CrossRef]
- Deng, L.; Shangguan, Z.; Bell, S.M.; Soromotin, A.V.; Peng, C.; An, S.; Wu, X.; Xu, X.; Wang, K.; Li, J.; et al. Carbon in Chinese grasslands: Meta-analysis and theory of grazing effects. Carbon Res. 2023, 2, 19. [Google Scholar] [CrossRef]
- Henry, M.; Stevens, H.; Bunker, D.E.; Schnitzer, S.A.; Carson, W.P. Establishment limitation reduces species recruitment and species richness as soil resources rise. J. Ecol. 2004, 92, 339–347. [Google Scholar] [CrossRef]
- Wu, T.; Hao, S.; Kang, L. Effects of soil temperature and moisture on the development and survival of grasshopper eggs in inner mongolian grasslands. Front. Ecol. Evol. 2021, 9, 727911. [Google Scholar] [CrossRef]











Disclaimer/Publisher’s Note: The statements, opinions and data contained in all publications are solely those of the individual author(s) and contributor(s) and not of MDPI and/or the editor(s). MDPI and/or the editor(s) disclaim responsibility for any injury to people or property resulting from any ideas, methods, instructions or products referred to in the content. |
© 2025 by the authors. Licensee MDPI, Basel, Switzerland. This article is an open access article distributed under the terms and conditions of the Creative Commons Attribution (CC BY) license (https://creativecommons.org/licenses/by/4.0/).
Share and Cite
Shi, C.; Xiong, C.; Cao, Z.; Zhang, H.; Wang, Y.; Sun, W.; Cui, Y.; Zhang, R.; Wei, S. Effect of Seasonal Grazing on Ground-Dwelling Insect Communities in the Desert Steppe of Ningxia. Insects 2025, 16, 939. https://doi.org/10.3390/insects16090939
Shi C, Xiong C, Cao Z, Zhang H, Wang Y, Sun W, Cui Y, Zhang R, Wei S. Effect of Seasonal Grazing on Ground-Dwelling Insect Communities in the Desert Steppe of Ningxia. Insects. 2025; 16(9):939. https://doi.org/10.3390/insects16090939
Chicago/Turabian StyleShi, Chun, Changyu Xiong, Ziyu Cao, Haixiang Zhang, Ying Wang, Wei Sun, Yifan Cui, Rong Zhang, and Shuhua Wei. 2025. "Effect of Seasonal Grazing on Ground-Dwelling Insect Communities in the Desert Steppe of Ningxia" Insects 16, no. 9: 939. https://doi.org/10.3390/insects16090939
APA StyleShi, C., Xiong, C., Cao, Z., Zhang, H., Wang, Y., Sun, W., Cui, Y., Zhang, R., & Wei, S. (2025). Effect of Seasonal Grazing on Ground-Dwelling Insect Communities in the Desert Steppe of Ningxia. Insects, 16(9), 939. https://doi.org/10.3390/insects16090939

