Overcoming Biases in Opportunistic Citizen Science for Studying Life History Traits of an Invasive Leaf-Mining Tree Insect Pest
Simple Summary
Abstract
1. Introduction
2. Materials and Methods
2.1. Retrieving Data from a Citizen Science Platform
2.2. Data Analysis
3. Results
3.1. Number of Records of M. robiniella Mines Detected on iNaturalist
3.2. Occurrence of M. robiniella Mine Types in Invaded vs. Native Ranges
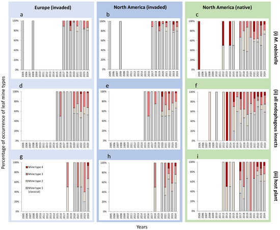
3.3. Temporal Trends in Documenting Mine Types Across Native and Invaded Ranges
4. Discussion
4.1. Using Opportunistic Citizen Science Data to Study Invasive Insect Traits
4.2. Data Verification from Crowdsourced Platforms
4.3. Limitations
4.4. Future Perspectives
5. Conclusions
Supplementary Materials
Author Contributions
Funding
Data Availability Statement
Acknowledgments
Conflicts of Interest
References
- Price-Jones, V.; Brown, P.M.J.; Adriaens, T.; Tricarico, E.; Farrow, R.A.; Cardoso, A.C.; Gervasini, E.; Groom, Q.; Reyserhove, L.; Schade, S.; et al. Eyes on the aliens: Citizen science contributes to research, policy and management of biological invasions in Europe. NeoBiota 2022, 78, 1–24. [Google Scholar] [CrossRef]
- de Groot, M.; Ogris, N.; van der Meij, M.; Pocock, M.J.O. Where to search: The use of opportunistic data for the detection of an invasive forest pest. Biol. Invasions 2022, 24, 3523–3537. [Google Scholar] [CrossRef]
- de Groot, M.; Pocock, M.J.O.; Bonte, J.; Fernandez-Conradi, P.; Valdés-Correcher, E. Citizen science and monitoring forest pests: A beneficial alliance? Curr. For. Rep. 2023, 9, 15–32. [Google Scholar] [CrossRef]
- Hulbert, J.M.; Hallett, R.A.; Roy, H.E.; Cleary, M. Citizen science can enhance strategies to detect and manage invasive forest pests and pathogens. Front. Ecol. Evol. 2023, 11, 1113978. [Google Scholar] [CrossRef]
- Crall, A.W.; Newman, G.J.; Jarnevich, C.S.; Stohlgren, T.J.; Waller, D.M.; Graham, J. Improving and integrating data on invasive species collected by citizen scientists. Biol. Invasions 2010, 12, 3419–3428. [Google Scholar] [CrossRef]
- Pocock, M.J.O.; Logie, M.; Isaac, N.J.B.; Fox, R.; August, T. The recording behaviour of field-based citizen scientists and its impact on biodiversity trend analysis. Ecol. Indic. 2023, 151, 110276. [Google Scholar] [CrossRef]
- Roy, H.E.; Martinou, A.F.; Pocock, M.J.O.; Werenkraut, V.; Roy, D.B. The global reach of citizen science for monitoring insects. One Earth 2024, 7, 552–557. [Google Scholar] [CrossRef]
- Kirichenko, N.I.; Gomboc, S.; Kosheleva, O.V.; Matošević, D.; Piškur, B.; de Groot, M. Leaf mine types and associated parasitism in the invasive tree insect pest Macrosaccus robiniella (Lepidoptera: Gracillariidae): A case study from Slovenia and Croatia. SEEFOR South-East Eur. For. 2025, 16, 15–25. [Google Scholar] [CrossRef]
- van Woensel, E.; van der Werf, W.; Parnell, S.; van Vliet, A.; Douma, B.J.C. Exploring the contribution of citizen science to statistically sound and risk-based surveillance of insect pests in the EU. EFSA Support. Publ. 2025, 22, 9186E. [Google Scholar] [CrossRef]
- Lukyanenko, R.; Parsons, J.; Wiersma, Y.F. Emerging problems of data quality in citizen science. Conserv. Biol. 2016, 30, 447–449. [Google Scholar] [CrossRef] [PubMed]
- Groom, Q.; Pernat, N.; Adriaens, T.; de Groot, M.; Jelaska, S.D.; Marčiulynienė, D.; Martinou, A.F.; Skuhrovec, J.; Tricarico, E.; Wit, E.C.; et al. Species interactions: Next-level citizen science. Ecography 2021, 44, 1781–1789. [Google Scholar] [CrossRef]
- Gonsamo, A.; D’Odorico, P. Citizen science: Best practices to remove observer bias in trend analysis. Int. J. Biometeorol. 2014, 58, 2159–2163. [Google Scholar] [CrossRef]
- Arazy, O.; Malkinson, D.A. Framework of observer-based biases in citizen science biodiversity monitoring: Semi-structuring unstructured biodiversity monitoring protocols. Front. Ecol. Evol. 2021, 9, 693602. [Google Scholar] [CrossRef]
- Di Cecco, G.J.; Barve, V.; Belitz, M.W.; Stucky, B.J.; Guralnick, R.P.; Hurlbert, A.H. Observing the observers: How participants contribute data to iNaturalist and implications for biodiversity science. BioScience 2021, 71, 1179–1188. [Google Scholar] [CrossRef]
- Pocock, M.J.O.; Adriaens, T.; Bertolino, S.; Eschen, R.; Essl, F.; Hulme, P.E.; Jeschke, J.M.; Roy, H.E.; Teixeira, H.; de Groot, M. Citizen science is a vital partnership for invasive alien species management and research. iScience 2024, 27, 108623. [Google Scholar] [CrossRef]
- Davis, D.R.; De Prins, J. Systematics and biology of the new genus Macrosaccus with descriptions of two new species (Lepidoptera, Gracillariidae). ZooKeys 2011, 98, 29–82. [Google Scholar] [CrossRef]
- Wein, K. Die erste Einführung nordamerikanischer Gehölze in Europa. Mitteilungen Dtsch. Dendrol. Ges. DDG 1930, 42, 137–163. [Google Scholar]
- Vítková, M.; Müllerová, J.; Sádlo, J.; Pergl, J.; Pyšek, P. Black locust (Robinia pseudoacacia) beloved and despised: A story of an invasive tree in Central Europe. Fort. Ecol. Manag. 2017, 384, 287–302. [Google Scholar] [CrossRef]
- Whitebread, S.E. Phyllonorycter robiniella (Clemens, 1859) in Europe (Lepidoptera, Gracillariidae). Nota Lepidopterol. 1990, 12, 344–353. [Google Scholar]
- Mally, R.; Ward, S.F.; Trombik, J.; Buszko, J.; Medzihorsky, V.; Liebhold, A.M. Non-native plant drives the spatial dynamics of its herbivores: The case of black locust (Robinia pseudoacacia) in Europe. NeoBiota 2021, 69, 155–175. [Google Scholar] [CrossRef]
- EPPO Global Database. Macrosaccus robiniella (MCSARO). 2023. Available online: https://gd.eppo.int/taxon/MCSARO/distribution (accessed on 10 March 2025).
- Csóka, G. Leaf Mines and Leaf Miners; Forest Research Institute: Erdőtarcsa, Hungary, 2003; pp. 1–192. [Google Scholar]
- Fodor, E.; Hâruţa, O. Niche partition of two invasive insect species, Parectopa robiniella (Lepidoptera; Gracillariidae) and Phyllonorycter robiniella (Clem.) (Lepidoptera: Gracillariidae). Res. J. Agric. 2009, 41, 261–269. [Google Scholar]
- Huemer, P.; Mayr, T. Chrysaster ostensackenella (Fitch, 1859), a potentially invasive species newly recorded from Europe (Lepidoptera, Gracillariidae). Check List 2022, 18, 1237–1242. [Google Scholar] [CrossRef]
- Medzihorský, V.; Trombik, J.; Mally, R.; Turčáni, M.; Liebhold, A.M. Insect invasions track a tree invasion: Global distribution of black locust herbivores. J. Biogeogr. 2023, 50, 1285–1298. [Google Scholar] [CrossRef]
- Zubrik, M.; Kunca, A.; Csóka, G. (Eds.) Insects and Diseases Damaging Trees and Shrubs of Europe: A Colour Atlas; NAP Editions: Verrières-le-Buisson, France, 2013; pp. 1–535. [Google Scholar]
- Edmunds, R. The Leaf and Steam Mines of British Flies and Other Insects. 2024. Available online: http://www.ukflymines.co.uk/index.php (accessed on 10 March 2025).
- Ellis, W. Macrosaccus robiniella (Clemens, 1859). Plant Parasites of Europe: Leaf Mines Galls and Fungi. 2025. Available online: https://bladmineerders.nl (accessed on 10 March 2025).
- Lepiforum, e.V. Available online: https://lepiforum.org/wiki/page/Macrosaccus_robiniella (accessed on 10 March 2025).
- Weaver, J.E.; Dorsey, C.K. Larval mine characteristics of five species of leaf-mining insects in black locust, Robinia pseudoacacia. Ann. Entomol. Soc. Am. 1967, 60, 172–186. [Google Scholar] [CrossRef]
- iNaturalist. Available online: https://www.inaturalist.org/ (accessed on 15 December 2024).
- Huntley, J.C. Robinia pseudoacacia L. Leguminosae. Legume family. In Silvics of North America: Hardwoods; Burns, R.M., Honkala, B.H., Eds.; Agriculture Handbook 654; U.S. Department of Agriculture, Forest Service: Washington, DC, USA, 1990; Volume 2, pp. 755–761. Available online: http://dendro.cnre.vt.edu/dendrology/USDAFSSilvics/40.pdf (accessed on 11 August 2025).
- R Core Team. R: A Language and Environment for Statistical Computing; R Foundation for Statistical Computing: Vienna, Austria, 2024; Available online: https://www.R-project.org/ (accessed on 11 August 2025).
- González-Moreno, P.; Anđelković, A.A.; Adriaens, T.; Botella, C.; Demetriou, J.; Bastos, R.; Bertolino, S.; López-Cañizares, C.; Essl, F.; Fišer, Ž.; et al. Citizen science platforms can effectively support early detection of invasive alien species according to species traits. People Nat. 2025, 7, 278–294. [Google Scholar] [CrossRef]
- Epanchin-Niell, R.; Thompson, A.L.; Treakle, T. Public contributions to early detection of new invasive pests. Conserv. Sci. Pract. 2021, 3, e422. [Google Scholar] [CrossRef]
- Roe, A.D.; Greenwood, L.F.; Coyle, D.R. Catching invasives with curiosity: The importance of passive biosecurity surveillance systems for invasive forest pest detection. Environ. Entomol. 2024, 53, 881–893. [Google Scholar] [CrossRef]
- Parker, J.D.; Torchin, M.E.; Hufbauer, R.A.; Lemoine, N.P.; Alba, C.; Blumenthal, D.M.; Bossdorf, O.; Byers, J.E.; Dunn, A.M.; Heckman, R.W.; et al. Do invasive species perform better in their new ranges? Ecology 2013, 94, 985–994. [Google Scholar] [CrossRef] [PubMed]
- Blight, O.; Josens, R.; Bertelsmeier, C.; Abril, S.; Boula, R.; Cerdá, X. Differences in behavioural traits among native and introduced colonies of an invasive ant. Biol. Invasions 2017, 19, 1389–1398. [Google Scholar] [CrossRef]
- van Strien, A.J.; van Swaay, C.A.M.; Termaat, T. Opportunistic citizen science data of animal species produce reliable estimates of distribution trends if analysed with occupancy models. J. Appl. Ecol. 2013, 50, 1450–1458. [Google Scholar] [CrossRef]
- Van Eupen, C.; Maes, D.; Herremans, M.; Swinnen, K.R.R.; Somers, B.; Luca, S. The impact of data quality filtering of opportunistic citizen science data on species distribution model performance. Ecol. Model. 2021, 444, 109453. [Google Scholar] [CrossRef]
- Meineke, E.K.; Tomasi, C.; Yuan, S.; Pryer, K.M. Applying machine learning to investigate long-term insect-plant interactions preserved on digitized herbarium specimens. Appl. Plant Sci. 2020, 8, e11369. [Google Scholar] [CrossRef] [PubMed]
- Wang, Z.; Jiang, Y.; Diallo, A.B.; Kembel, S.W. Deep learning- and image processing- based methods for automatic estimation of leaf herbivore damage. Methods Ecol. Evol. 2024, 15, 732–743. [Google Scholar] [CrossRef]
- McClure, E.C.; Sievers, M.; Brown, C.J.; Buelow, C.A.; Ditria, E.M.; Hayes, M.A.; Pearson, R.M.; Tulloch, V.J.D.; Unsworth, R.K.F.; Connolly, R.M. Artificial intelligence meets citizen science to supercharge ecological monitoring. Patterns 2020, 1, 100109. [Google Scholar] [CrossRef]
- Fortson, L.; Crowston, K.; Kloetzer, L.; Ponti, M. Artificial intelligence and the future of citizen science. Citiz. Sci. Theory Pract. 2024, 9, 32. [Google Scholar] [CrossRef]
- Popescu, D.; Dinca, A.; Ichim, L.; Angelescu, N. New trends in detection of harmful insects and pests in modern agriculture using artificial neural networks. a review. Front. Plant Sci. 2023, 14, 1268167. [Google Scholar] [CrossRef]
- Chakrabarty, S.; Shashank, P.R.; Deb, C.K.; Haque, M.A.; Thakur, P.; Kamil, D.; Marwaha, S.; Dhillon, M.K. Deep learning-based accurate detection of insects and damage in cruciferous crops using YOLOv5. Smart Agric. Technol. 2024, 9, 100663. [Google Scholar] [CrossRef]
- Chakrabarty, S.; Deb, C.K.; Marwaha, S.; Haque, M.A.; Kamil, D.; Bheemanahalli, R.; Shashank, P.R. Application of artificial intelligence in insect pest identification—A review. Artif. Intell. Agric. 2025, 5, 100068. [Google Scholar] [CrossRef]
- Howard, L.; van Rees, C.B.; Dahlquist, Z.; Luikart, G.; Hand, B.K. A review of invasive species reporting apps for citizen science and opportunities for innovation. NeoBiota 2023, 71, 165–188. [Google Scholar] [CrossRef]





Disclaimer/Publisher’s Note: The statements, opinions and data contained in all publications are solely those of the individual author(s) and contributor(s) and not of MDPI and/or the editor(s). MDPI and/or the editor(s) disclaim responsibility for any injury to people or property resulting from any ideas, methods, instructions or products referred to in the content. |
© 2025 by the authors. Licensee MDPI, Basel, Switzerland. This article is an open access article distributed under the terms and conditions of the Creative Commons Attribution (CC BY) license (https://creativecommons.org/licenses/by/4.0/).
Share and Cite
Kirichenko, N.I.; Ryazanova, M.A.; Kosheleva, O.V.; Gomboc, S.; Piškur, B.; de Groot, M. Overcoming Biases in Opportunistic Citizen Science for Studying Life History Traits of an Invasive Leaf-Mining Tree Insect Pest. Insects 2025, 16, 929. https://doi.org/10.3390/insects16090929
Kirichenko NI, Ryazanova MA, Kosheleva OV, Gomboc S, Piškur B, de Groot M. Overcoming Biases in Opportunistic Citizen Science for Studying Life History Traits of an Invasive Leaf-Mining Tree Insect Pest. Insects. 2025; 16(9):929. https://doi.org/10.3390/insects16090929
Chicago/Turabian StyleKirichenko, Natalia I., Maria A. Ryazanova, Oksana V. Kosheleva, Stanislav Gomboc, Barbara Piškur, and Maarten de Groot. 2025. "Overcoming Biases in Opportunistic Citizen Science for Studying Life History Traits of an Invasive Leaf-Mining Tree Insect Pest" Insects 16, no. 9: 929. https://doi.org/10.3390/insects16090929
APA StyleKirichenko, N. I., Ryazanova, M. A., Kosheleva, O. V., Gomboc, S., Piškur, B., & de Groot, M. (2025). Overcoming Biases in Opportunistic Citizen Science for Studying Life History Traits of an Invasive Leaf-Mining Tree Insect Pest. Insects, 16(9), 929. https://doi.org/10.3390/insects16090929

