Species-Specific Real-Time PCR Assay for Rapid Identification of Zeugodacus cucurbitae Coquillet (Diptera: Tephritidae) from Other Closely Related Fruit Fly Species
Simple Summary
Abstract
1. Introduction
2. Materials and Methods
2.1. Sample Collection and Identification
2.2. DNA Extraction Method from Fruit Fly Species
2.3. PCR Amplification and Sequencing of Fruit Flies
2.4. Sequence Analyses
2.5. Z. cucurbitae Real-Time PCR Assay Design
2.6. Real-Time PCR Assay Optimization
2.7. Sensitivity Assessment
2.8. Specificity Assessment
2.9. Blind Panel Testing
3. Results
3.1. Sequence Analyses and Assay Design
3.2. Assay Optimization
3.3. Assay Specificity
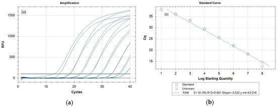
3.4. Assay Sensitivity
3.5. Blind Panel Evaluation
4. Discussion
5. Conclusions
Author Contributions
Funding
Data Availability Statement
Acknowledgments
Conflicts of Interest
Abbreviations
| BOLD | Barcode of Life Data Systems |
| BSA | Bovine Serum Albumin |
| COI | Cytochrome Oxidase I |
| IANZ | International Accreditation New Zealand |
| ISO | International Organization for Standardization |
| MPI | Ministry for Primary Industries |
| NCBI | National Center for Biotechnology Information |
| PCR | Polymerase Chain Reaction |
| PHEL | Plant Health and Environment Laboratory |
| RFLP | Restriction Fragment Length Polymorphism |
| 18S rRNA | 18S ribosomal RNA |
Appendix A


Appendix B
| Sl. No. | Species ID | Accession Number | Country | Mean Cq (±S.D.) (FAM) | PCR Result |
|---|---|---|---|---|---|
| 1 | Z. cucurbitae | BC_005 | Unknown | 16.15 (±0.287) | ✓ |
| 2 | Z. cucurbitae | BC_009 | Malaysia | 16.21 (±0.211) | ✓ |
| Non-target species | |||||
| 1 | Z. chorista | Not applicable | Synthetic 1 × 108 copies/µL | 0 | × |
| 2 | Z. chorista | Not applicable | Synthetic 1 × 107 copies/µL | 0 | × |
| 3 | B. dorsalis | T18_3481A | Philippines | 0 | × |
| 4 | Z. synnephes | Not applicable | Synthetic 1 × 108 copies/µL | 0 | × |
| 5 | Z. synnephes | Not applicable | Synthetic 1 × 107 copies/µL | 0 | × |
| 6 | B. dorsalis | T18_2947 | India | 0 | × |
| 7 | Z. cucumis | BS_010 | Australia | 0 | × |
| 8 | B. melanotus | BS_012 | Cook Island | 0 | × |
| 9 | Z. cucumis | Not applicable | Plasmid 1 × 109 copies/µL | 0 | × |
| 10 | Z. cucumis | Not applicable | Plasmid 1 × 108 copies/µL | 0 | × |
| 11 | Z. cucumis | Not applicable | Plasmid 1 × 105 copies/µL | 0 | × |
| 12 | B. umbrosa | BS_001 | Malaysia | 0 | × |
| 13 | Z. tau | Not applicable | Plasmid 1 × 107 copies/µL | 0 | × |
| 14 | B. oleae | BS_002 | Greece | 0 | × |
| 15 | B. jarvisi | Not applicable | Plasmid 1 × 105 copies/µL | 0 | × |
| 16 | B. cacuminatus | BS_003 | Australia | 0 | × |
| 17 | B. psidii | BS_004 | Samoa | 0 | × |
| 18 | B. carambolae | BS_006 | Indonesia | 0 | × |
| 19 | B. silvicola | BS_008 | Australia | 0 | × |
| 20 | B. xanthodes | T19_2976 | Fiji | 0 | × |
| 21 | Z. scutellata | T18_2201 | China | 0 | × |
| Sl. No. | Species ID | Accession Number | Country | Mean Cq (±S.D.) (FAM) | Mean Cq (±S.D.) (VIC) | PCR Result |
|---|---|---|---|---|---|---|
| 1 | Z. cucurbitae | BC_009 | Malaysia | 16.12 (±0.240) | 20.42 (±0.269) | ✓ |
| 2 | Z. cucurbitae | BC_008 | USA | 15.02 (±0.520) | 21.42 (±0.025) | ✓ |
| 3 | Z. cucurbitae | BC_010 | Indonesia | 14.32 (±0.647) | 18.93 (±0.281) | ✓ |
| 4 | Z. cucurbitae | BC_006 | USA | 16.11 (±0.105) | 20.59 (±0.227) | ✓ |
| Non-target species | ||||||
| 1 | B. facialis | T19_00773 | Unknown | 0 | 22.51 (±0.094) | × |
| 2 | B. zonata | T19_00753 | Unknown | 0 | 20.27 (±0.747) | × |
| 3 | B. invadens | BQ_24 | Kenya | 0 | 19.89 (±0.477) | × |
| 4 | B. tryonii | T19_05386 | Unknown | 0 | 23.57 (±0.341) | × |
| 5 | B. tryonii | T19_00487 | Unknown | 0 | 22.39 (±0.482) | × |
| 6 | B. curvipennis | T15_6386 | New Caledonia | 0 | 22.75 (±0.362) | × |
| 7 | C. capitata | CQ_04 | USA | 0 | 28.2 (±0.002) | × |
| 8 | Anastrepha sp. | Ent_38, E6 | Peru | 0 | 28.15 (±0.131) | × |
| 9 | D. melanogaster | T19_3841 | New Zealand | 0 | 28.45 (±0.071) | × |
| 10 | Drosophila sp. | T19_5393 | Mexico | 0 | 21.74 (±0.196) | × |
| 11 | Drosophila sp. | T19_5388 | Mexico | 0 | 21.04 (±0.113) | × |
| 12 | D. suzukii | T19_5260 | Unknown | 0 | 25.06 (±0.095) | × |
| 13 | B. cucumis | BS_010 | Australia | 0 | 22.51 (±0.709) | × |
| 14 | B. passiflora | T19_229 | Fiji | 0 | 24.8 (±0.130) | × |
| 15 | B. jarvisi | T17_4198 | Australia | 0 | 23.21 (±0.178) | × |
| 16 | B. latifrons | T17_711 | Thailand | 0 | 21.12 (±0.019) | × |
| 17 | B. correcta | T15_7487C | Vietnam | 0 | 28.46 (±0.207) | × |
| 18 | C. capitata | DN11 | USA | 0 | 20.71 (±0.317) | × |
| 19 | D. subpulcherella | DD8 | Unknown | 0 | 22.1 (±0.198) | × |
| Sl. No. | Sample Info | Concentrations | Mean Cq (±S.D.) (FAM) | PCR Result |
|---|---|---|---|---|
| 1 | Synthetic template of Z. cucurbitae | 1 × 108 copies/µL | 13.76 (±1.252) | Positive |
| 2 | Synthetic template of Z. cucurbitae | 1 × 107 copies/µL | 18.37 (±0.028) | Positive |
| 3 | Synthetic template of Z. cucurbitae | 1 × 106 copies/µL | 22.10 (±0.221) | Positive |
| 4 | Synthetic template of Z. cucurbitae | 1 × 105 copies/µL | 25.73 (±0.014) | Positive |
| 5 | Synthetic template of Z. cucurbitae | 1 × 104 copies/µL | 29.45 (±0.147) | Positive |
| 6 | Synthetic template of Z. cucurbitae | 1 × 103 copies/µL | 33.29 (±0.131) | Positive |
| 7 | Synthetic template of Z. cucurbitae | 1 × 102 copies/µL | 36.09 (±0.225) | FTR * |
| 8 | Synthetic template of Z. cucurbitae | 10 copies/µL | 38.17 (±0.000) | FTR * |
| 9 | Water | NTC | 0 | Negative |
References
- Jacob, V.; Ramiaranjatovo, G.; Persyn, E.; Machara, A.; Kyjaková, P.; Atiama-Nurbel, T.; Pompeiano, A.; Benelli, G.; De Meyer, M.; Vaníčková, L. Female melon fruit flies, Zeugodacus cucurbitae, are attracted to a synthetic chemical blend based on male epicuticular components. J. Pest Sci. 2024, 97, 1395–1415. [Google Scholar] [CrossRef]
- Stark, J.D.; Vargas, R.I. Comparison of sampling methods to estimate the number of oriental fruit fly and melon fly (Diptera: Tephritidae) captured in traps. J. Econ. Entomol. 1990, 83, 2274. [Google Scholar] [CrossRef]
- Ekesi, S.; Samira, A.-E.W. Mass rearing and quality control parameters for tephritid fruit flies of economic importance in Africa. In Insecticides—Pest Engineering; Perveen, F.K., Ed.; InTech: Rijeka, Croatia, 2011. [Google Scholar] [CrossRef]
- Sumathi, E.; Manimaran, R.; Devi, M.N.; Ilamaran, M.; Agila, R. Population dynamics and management of mango fruit fly Bactrocera dorsalis (Hendel) (Diptera: Tephritidae). Int. J. Curr. Microbiol. Appl. Sci. 2019, 8, 2705–2710. [Google Scholar] [CrossRef]
- White, I.M.; Elson-Harris, M.M. Fruit Flies of Economic Significance: Their Identification and Bionomics; CAB International: Wallingford, UK, 1992. [Google Scholar]
- Dhillon, M.K.; Singh, R.; Naresh, J.S.; Sharma, H.C. The melon fruit fly, Bactrocera cucurbitae: A review of its biology and management. J. Insect Sci. 2005, 5, 40–46. [Google Scholar] [CrossRef]
- De Meyer, M.; Delatte, H.; Mwatawala, M.; Virgilio, M.; De Villiers, M.; Khamis, F.M.; Ekesi, S. A review of the current knowledge on Zeugodacus cucurbitae (Coquillett) (Diptera, Tephritidae) in Africa, with a list of species included in Zeugodacus. Zookeys 2015, 540, 539–557. [Google Scholar] [CrossRef]
- Halder, J.; Sardana, H.R.; Pandey, M.K.; Nagendran, K.; Bhat, M.N. Synthesis and validation IPM technology and its economic analysis for bottle gourd (Lagenaria siceraria). Indian J. Agric. Sci. 2020, 90, 341–345. [Google Scholar] [CrossRef]
- Rai, A.B.; Halder, J.; Kodandaram, M.H. Emerging insect pest problems in vegetable crops and their management in India: An appraisal. Pest Manag. Hortic. Ecosyst. 2014, 20, 113–122. [Google Scholar]
- Virgilio, M.; Delatte, H.; Backeljau, T.; De Meyer, M. Macrogeographic population structuring in the cosmopolitan agricultural pest Bactrocera cucurbitae (Diptera: Tephritidae). Mol. Ecol. 2010, 19, 2713–2724. [Google Scholar] [CrossRef] [PubMed]
- Doharey, K.L. Bionomics of fruit flies (Dacus spp.) on some fruits. Indian J. Entomol. 1983, 45, 406–413. [Google Scholar]
- Vijay, R.; Keshavareddy, G. Record of melon fruit fly, Zeugodacus cucurbitae (Coquillett) (Diptera: Tephritidae) on tomato: A case of host range expansion. Pest Manag. Hortic. Ecosyst. 2021, 27, 31–36. [Google Scholar] [CrossRef]
- Halder, J.; Rai, A.B.; Deb, D. Distribution and abundance of cucurbit fruit fly Zeugodacus (Bactrocera) cucurbitae in relation to weather parameters. J. Agrometeorol. 2022, 24, 220–222. [Google Scholar] [CrossRef]
- Mehta, S.V.; Haight, R.G.; Homans, F.R.; Polasky, S.; Venette, R.C. Optimal detection and control strategies for invasive species management. Ecol. Econ. 2007, 61, 237–245. [Google Scholar] [CrossRef]
- Hebert, P.D.N.; Ratnasingham, S.; deWaard, J.R. Barcoding animal life: Cytochrome c oxidase subunit 1 divergences among closely related species. Proc. R. Soc. B 2003, 270 (Suppl. S1), 96–99. [Google Scholar] [CrossRef] [PubMed]
- Buckwalter, J.D.; Angermeier, P.L.; Argentina, J.E.; Wolf, S.L.; Floyd, S.P.; Hallerman, E.M. Drift of larval darters (Family Percidae) in the Upper Roanoke River Basin, USA, characterized using phenotypic and DNA barcoding markers. Fishes 2019, 4, 59. [Google Scholar] [CrossRef]
- Caterino, M.S.; Cho, S.; Sperling, F.A.H. The current state of insect molecular systematics: A thriving tower of Babel. Annu. Rev. Entomol. 2000, 45, 1–54. [Google Scholar] [CrossRef] [PubMed]
- Rebijith, K.B.; Asokan, R.; Krishna, V.; Ranjitha, H.H.; Kumar, N.K.K.; Ramamurthy, V.V. DNA barcoding and elucidation of cryptic diversity in thrips (Thysanoptera). Fla. Entomol. 2014, 97, 1328–1347. [Google Scholar] [CrossRef]
- Asokan, R.; Rebijith, K.B.; Singh, S.K.; Sidhu, A.S.; Siddharthan, S.; Subramanian, S.; Ramamurthy, V. Molecular identification and phylogeny of Bactrocera species (Diptera: Tephritidae). Fla. Entomol. 2011, 94, 1026–1035. [Google Scholar] [CrossRef]
- Burg, T.M.; Catry, P.; Ryan, P.G.; Phillips, R.A. Genetic population structure of Black-browed and Campbell albatrosses, and implications for assigning provenance of birds killed in fisheries. Aquat. Conserv. 2017, 27, 1156–1163. [Google Scholar] [CrossRef]
- Hajibabaei, M.; Janzen, D.H.; Burns, J.M.; Hallwachs, W.; Hebert, P.D.N. DNA barcodes distinguish species of tropical Lepidoptera. Proc. Natl. Acad. Sci. USA 2007, 103, 968–971. [Google Scholar] [CrossRef]
- Rebijith, K.B.; Asokan, R.; Kumar, N.K.; Krishna, V.; Chaitanya, B.N.; Ramamurthy, V.V. DNA barcoding and elucidation of cryptic aphid species (Hemiptera: Aphididae) in India. Bull. Entomol. Res. 2013, 103, 601–610. [Google Scholar] [CrossRef]
- Cebrián-Camisón, S.; la Puente, J.M.; Figuerola, J. A literature review of host feeding patterns of invasive Aedes mosquitoes in Europe. Insects 2020, 11, 848. [Google Scholar] [CrossRef] [PubMed]
- Armstrong, K.F.; Cameron, C.M.; Frampton, E.R.; Suckling, D.M. Aliens at the border and cadavers in the field: A molecular technique for species identification. Proc. N. Z. Plant Prot. Conf. 1997, 50, 316–321. [Google Scholar] [CrossRef]
- Li, D.; Waite, D.W.; Gunawardana, D.N.; McCarthy, B.; Anderson, D.; Flynn, A.; George, S. DNA barcoding and real-time PCR detection of Bactrocera xanthodes (Tephritidae: Diptera) complex. Bull. Entomol. Res. 2018, 108, 1–9. [Google Scholar]
- Koohkanzade, M.; Zakiaghl, M.; Dhami, M.K.; Fekrat, L.; Namaghi, H.S. Rapid identification of Bactrocera zonata (Dip.: Tephritidae) using TaqMan real-time PCR assay. PLoS ONE 2018, 13, e0205136. [Google Scholar] [CrossRef]
- Plant Health Australia. The Australian Handbook for Identification of Fruit Flies; Version 3; Plant Health Australia: Canberra, ACT, Australia, 2018. [Google Scholar]
- Folmer, O.; Black, M.; Hoeh, W.; Lutz, R.; Vrijenhoek, R. DNA primers for amplification of mitochondrial cytochrome c oxidase subunit I from diverse metazoan invertebrates. Mol. Mar. Biol. Biotechnol. 1994, 3, 294–299. [Google Scholar]
- Kearse, M.; Moir, R.; Wilson, A.; Stones-Havas, S.; Cheung, M.; Sturrock, S.; Buxton, S.; Cooper, A.; Markowitz, S.; Duran, C.; et al. Geneious Basic: An integrated and extendable desktop software platform for the organization and analysis of sequence data. Bioinformatics 2012, 28, 1647–1649. [Google Scholar] [CrossRef]
- Barr, N.B.; Islam, M.S.; De Meyer, M.; McPheron, B.A. Molecular identification of Ceratitis capitata (Diptera: Tephritidae) using DNA sequences of the COI barcode region. Ann. Entomol. Soc. Am. 2012, 105, 339–350. [Google Scholar] [CrossRef]
- Blacket, M.; Semeraro, L.; Malipatil, M. Barcoding Queensland fruit flies (Bactrocera tryoni): Impediments and improvements. Mol. Ecol. Resour. 2012, 12, 428–436. [Google Scholar] [CrossRef]
- Hulme, P.E. Trade, transport and trouble: Managing invasive species pathways in an era of globalization. J. Appl. Ecol. 2009, 46, 10–18. [Google Scholar] [CrossRef]
- Dhami, M.K.; Kumarasinghe, L. A HRM real-time PCR assay for rapid and specific identification of the emerging pest spotted-wing Drosophila (Drosophila suzukii). PLoS ONE 2014, 9, e98934. [Google Scholar] [CrossRef] [PubMed]
- Armstrong, K.F.; Ball, S.L. DNA barcodes for biosecurity: Invasive species identification. Philos. Trans. R. Soc. Lond. B Biol. Sci. 2005, 360, 1813–1823. [Google Scholar] [CrossRef]
- Chua, T.H.; Chong, Y.V.; Lim, S.H. Species determination of Malaysian Bactrocera pests using PCR-RFLP analyses (Diptera: Tephritidae). Pest Manag. Sci. 2009, 66, 379–384. [Google Scholar] [CrossRef]
- Walsh, K.; Boonham, N.; Barker, I.; Collins, D.W. Development of a sequence-specific real-time PCR to the melon thrips, Thrips palmi (Thysanoptera: Thripidae). J. Appl. Entomol. 2005, 129, 272–279. [Google Scholar] [CrossRef]
- Barr, N.B.; Ledezma, L.A.; Farris, R.E.; Epstein, M.E.; Gilligan, T.M. A multiplex real-time polymerase chain reaction assay to diagnose Epiphyas postvittana (Lepidoptera: Tortricidae). J. Econ. Entomol. 2011, 104, 1706–1719. [Google Scholar] [CrossRef] [PubMed]
- Naaum, A.M.; Foottit, R.G.; Maw, H.E.L.; Hanner, R. Real-time PCR for identification of the soybean aphid, Aphis glycines Matsumura. J. Appl. Entomol. 2014, 138, 485–489. [Google Scholar] [CrossRef]
- Hebert, P.D.N.; Stoeckle, M.Y.; Zemlak, T.S.; Francis, C.M. Identification of birds through DNA barcodes. PLoS Biol. 2004, 2, e312. [Google Scholar] [CrossRef]
- Kar, O.; Mukherjee, A.; Ghosh, D.; Mukherjee, K.; Pramanik, D.; Naskar, A.; Banerjee, D. DNA barcoding of economically important fruit flies (Diptera: Tephritidae) from the Lower Gangetic Plains of Eastern India. J. Adv. Biol. Biotechnol. 2024, 27, 587–604. [Google Scholar] [CrossRef]
- Doorenweerd, C.; San Jose, M.; Leblanc, L.; Barr, N.; Geib, S.M.; Chung, A.Y.; Dupuis, J.R.; Ekayanti, A.; Flegalan, E.; Hemachandra, K.S.; et al. DNA barcodes and reliable molecular identifications in a diverse group of invasive pests: Lessons from Bactrocera fruit flies on variation across the COI gene, introgression, and standardization. bioRxiv 2020. [Google Scholar] [CrossRef]
- Ko, H.-L.; Wang, Y.-T.; Chiu, T.; Lee, M.; Leu, M.; Chang, K.-Z.; Chen, W.; Shao, K. Evaluating the accuracy of morphological identification of larval fishes by applying DNA barcoding. PLoS ONE 2013, 8, e53451. [Google Scholar] [CrossRef]
- Becker, S.; Hanner, R.; Steinke, D. Five years of FISH-BOL: Brief status report. Mitochondrial DNA 2011, 22, 3–9. [Google Scholar] [CrossRef]
- Ahmed, S.; Ibrahim, M.; Nantasenamat, C.; Nisar, M.; Malik, A.A.; Waheed, R.; Ahmed, M.Z.; Ojha, S.C.; Alam, M.K. Pragmatic applications and universality of DNA barcoding for substantial organisms at species level: A review to explore a way forward. BioMed Res. Int. 2022, 2022, 1846485. [Google Scholar] [CrossRef] [PubMed]
- Hubert, N.; Hanner, R.; Holm, E.; Mandrak, N.E.; Taylor, E.B.; Burridge, M.; Watkinson, D.A.; Dumont, P.; Curry, R.A.; Bentzen, P.; et al. Identifying Canadian freshwater fishes through DNA barcodes. PLoS ONE 2008, 3, e2490. [Google Scholar] [CrossRef] [PubMed]
- Chandrashekhar, V.; Arya, V.; David, K.J.; Narayana, S. Diagnosis, taxonomic keys, DNA barcoding and molecular phylogeny of economically important fruit fly species (Diptera: Tephritidae). Int. J. Trop. Insect Sci. 2024, 44, 3021–3035. [Google Scholar] [CrossRef]
- Bustin, S.A.; Benes, V.; Garson, J.A.; Hellemans, J.; Huggett, J.; Kubista, M.; Mueller, R.; Nolan, T.; Pfaffl, M.W.; Shipley, G.L.; et al. The MIQE guidelines: Minimum information for publication of quantitative real-time PCR experiments. Clin. Chem. 2009, 55, 611–622. [Google Scholar] [CrossRef]
- Dhami, M.K.; Gunawardana, D.N.; Voice, D.; Kumarasinghe, L. A real-time PCR toolbox for accurate identification of invasive fruit fly species. J. Appl. Entomol. 2016, 140, 536–552. [Google Scholar] [CrossRef]
- Doorenweerd, C.; Jose, M.S.; Barr, N.; Rubinoff, D.; Geib, S. Genomic data reveal new species and the limits of mtDNA barcode diagnostics to contain a global pest species complex (Diptera: Tephritidae: Dacinae). Syst. Entomol. 2023, 48, e12616. [Google Scholar] [CrossRef]
- Schutze, M.K.; Aketarawong, N.; Amornsak, W.; Armstrong, K.F.; Augustinos, A.A.; Barr, N.; Bo, W.; Bourtzis, K.; Boykin, L.M.; Cáceres, C. Synonymization of key pest species within the Bactrocera dorsalis species complex (Diptera: Tephritidae): Taxonomic changes based on a review of 20 years of integrative morphological, molecular, cytogenetic, behavioural and chemoecological data. Syst. Entomol. 2015, 40, 456–471. [Google Scholar] [CrossRef]
- Nugnes, F.; Russo, E.; Viggiani, G.; Bernardo, U. First record of an invasive fruit fly belonging to Bactrocera dorsalis complex (Diptera: Tephritidae) in Europe. Insects 2018, 9, 182. [Google Scholar] [CrossRef]
- Cardenas-Cadena, S.A.; Castañeda-Lopez, M.E.; Mollinedo-Montaño, F.E.; Vazquez-Reyes, S.; Lara-Arias, J.; Marino-Martinez, I.A.; Rodriguez-Sanchez, I.P.; Garza-Veloz, I.; Martinez-Fierro, M.L. Tick-borne pathogens screening using a multiplex real-time polymerase chain reaction-based method. Acta Parasitol. 2023, 68, 705–710. [Google Scholar] [CrossRef]
- Tang, M.; Tan, M.; Meng, G.; Yang, S.; Su, X.; Liu, S.; Song, W.; Li, Y.; Wu, Q.; Zhang, A.; et al. Multiplex sequencing of pooled mitochondrial genomes—A crucial step toward biodiversity analysis using mito-metagenomics. Nucleic Acids Res. 2014, 42, e166. [Google Scholar] [CrossRef]
- Yu, D.; Zhang, G.M.; Chen, Z.L.; Zhang, R.J.; Yin, W.Y. Rapid identification of Bactrocera latifrons (Dipt., Tephritidae) by real-time PCR using SYBR Green chemistry. J. Appl. Entomol. 2004, 128, 670–676. [Google Scholar] [CrossRef]
- Yu, D.; Chen, Z.; Zhang, R.; Yin, W. Real-time qualitative PCR for the inspection and identification of Bactrocera phillippinensis and Bactrocera occipitalis (Diptera: Tephritidae) using SYBR green assay. Raffles Bull. Zool. 2005, 53, 73–78. [Google Scholar]
- Rizzo, D.; Zubieta, C.G.; Sacchetti, P.; Marrucci, A.; Miele, F.; Ascolese, R.; Nugnes, F.; Bernardo, U. Diagnostic tool for the identification of Bactrocera dorsalis (Hendel) (Diptera: Tephritidae) using real-time PCR. Insects 2024, 15, 44. [Google Scholar] [CrossRef]
- Asokan, R.; Rebijith, K.B.; Singh, S.K.; Ramamurthy, V. Life stage independent identification of fruit flies (Diptera: Tephritidae) using 28s rDNA sequences. Bioscan 2013, 8, 253–256. [Google Scholar]
- ISO/IEC 17025:2017; General Requirements for the Competence of Testing and Calibration Laboratories. International Organization for Standardization (ISO): Geneva, Switzerland, 2017.


| Sl No | Species ID | Accession No. | Description |
|---|---|---|---|
| Target species | |||
| 1 | Zeugodacus cucurbitae | BC_001 | USA, adult, lab colony |
| 2 | Zeugodacus cucurbitae | BC_002 | Unknown, adult |
| 3 | Zeugodacus cucurbitae | BC_003 | Unknown, pupae |
| 4 | Zeugodacus cucurbitae | BC_004 | USA, adult, lab colony |
| 5 | Zeugodacus cucurbitae | BC_005 | Unknown, 3rd instar larvae |
| 6 | Zeugodacus cucurbitae | BC_006 | USA, 2nd instar larvae |
| 7 | Zeugodacus cucurbitae | BC_007 | USA, adult, lab colony |
| 8 | Zeugodacus cucurbitae | BC_008 | USA, adult, lab colony |
| 9 | Zeugodacus cucurbitae | BC_009 | Malaysia, adult, long bean |
| 10 | Zeugodacus cucurbitae | BC_010 | Indonesia, adult, cue lure trap |
| 11 | Zeugodacus cucurbitae | BC_011 | India, larvae, Canna edulis |
| 12 | Zeugodacus cucurbitae | BC_012 | USA, adult, lab colony |
| 13 | Zeugodacus cucurbitae | T17_02945 | India, adult, chilli |
| 14 | Zeugodacus cucurbitae | T15_7487B | Vietnam, adult |
| Non-target species | |||
| 1 | Anastrepha sp. | Ent_38, E6 | Peru, mango, larvae |
| 2 | Bactrocera barringtoniae | BS_009 | Unknown, larvae |
| 3 | Bactrocera cacuminatus | BS_003 | Australia, adult, bait trap |
| 4 | Bactrocera carambolae | BS_006 | Indonesia, adult, trap |
| 5 | Zeugodacus chorista | Not applicable | Synthetic template |
| 6 | Bactrocera correcta | T15_7487C | Vietnam, adult |
| 7 | Zeugodacus cucumis | BS_010 | Australia, adult, zucchini |
| 8 | Zeugodacus cucumis | Not applicable | Plasmid |
| 9 | Zeugodacus cucumis | Not applicable | Plasmid |
| 10 | Zeugodacus cucumis | Not applicable | Plasmid |
| 11 | Bactrocera curvipennis | T15_6386 | New Caledonia, adult |
| 12 | Bactrocera dorsalis | T18_3481A | Philippines, egg, paw paw |
| 13 | Bactrocera dorsalis | T18_2947 | India, larva, guava |
| 14 | Bactrocera facialis | T19_00773 | Unknown, adult |
| 15 | Bactrocera invadens | BQ_24 | Kenya, adult |
| 16 | Bactrocera invadens | T18_2685 | India, larvae, mango |
| 17 | Bactrocera jarvisi | Not applicable | Plasmid |
| 18 | Bactrocera jarvisi | T17_4198 | Australia, pupae, mango |
| 19 | Bactrocera latifrons | T17_711 | Thailand, larvae, chilli |
| 20 | Bactrocera melanotus | BS_012 | Cook island, pupae, mango |
| 21 | Bactrocera nigra | BS_011 | Unknown, adult |
| 22 | Zeugodacus strigifinis | BS_007 | Australia, adult, trap |
| 23 | Bactrocera oleae | BS_002 | Greece, adult, lab colony |
| 24 | Bactrocera passiflora | T19_229 | Fiji, Larvae, chilli |
| 25 | Bactrocera psidii | BS_004 | Samoa, adult, Syzygium spp. |
| 26 | Bactrocera psidii | BS_005 | Samoa, adult, Syzygium spp. |
| 27 | Zeugodacus scutellata | T18_2201 | China, adult, trap |
| 28 | Bactrocera silvicola | BS_008 | Australia, adult, trap |
| 29 | Zeugodacus synnephes | Not applicable | Synthetic template |
| 30 | Zeugodacus tau | Not applicable | Plasmid |
| 31 | Zeugodacus tau | T16_0199 | Unknown, adult, trap |
| 32 | Bactrocera tryonii | T19_05386 | Unknown, adult, trap |
| 33 | Bactrocera tryonii | T19_00487 | Unknown, adult, trap |
| 34 | Bactrocera tryonii | T19_2213 | New Zealand, Trap |
| 35 | Bactrocera umbrosa | BS_001 | Malaysia, adult, M.E. trap |
| 36 | Bactrocera xanthodes | T19_2976 | Fiji, larvae, breadfruit |
| 37 | Bactrocera zonata | T19_00753 | Unknown, larvae |
| 38 | Ceratitis capitata | CQ_4 | USA, adult |
| 39 | Ceratitis capitata | DN11 | USA |
| 40 | Drosophila melanogaster | T19_3841 | Chile, sea container |
| 41 | Drosophila sp. | T19_5393 | Mexico, egg, grape |
| 42 | Drosophila sp. | T19_5388 | Mexico, egg, grape |
| 43 | Drosophila subpulcherella | DD8 | Unknown |
| 44 | Drosophila suzukii | T19_5260 | Unknown, larvae, blue berry |
| Target Gene | Primer/Probe Name | Sequence (5′–3′) | Product Size | Reference |
|---|---|---|---|---|
| Primers to amplify mitochondrial genome regions in Z. cucurbitae | ||||
| COI | LCO 1490 | GGTCAACAAATCATAAAGATATTGG | 710 bp | [28] |
| HCO 2198 | TAAACTTCAGGGTGACCAAAAAATCA | [28] | ||
| Z. cucurbitae-specific real-time PCR assays | ||||
| COI | Bcuc1_F | AATGTCATCGTAACAGCTCAT | 134 bp | Current study |
| Bcuc1_R | TTATTCATTCGAGGGAATGCTATAT | Current study | ||
| Bcuc1_P1 | FAM-AGTATTAGGGGTACTAGTCAATTTCCAA-BHQ1 | Current study | ||
| Sl. No. | Species ID | Accession No. | Country | Mean Cq (±S.D.) (FAM) | Mean Cq (±S.D.) (VIC) | Result |
|---|---|---|---|---|---|---|
| 1 | B. psidii | BS_004 | Samoa | 0 | 24.23 (±0.232) | × |
| 2 | B. psidii | BS_005 | Samoa | 0 | 24.34 (±0.033) | × |
| 3 | B. cucurbitae | T17_02945 | India | 15.36 (±0.202) | 19.74 (±0.203) | ✓ |
| 4 | B. psidii | BS_013 | Samoa | 0 | 24.32 (±0.004) | × |
| 5 | B. cucurbitae | T15_7487B | Vietnam | 17.02 (±0.064) | 21.39 (±0.028) | ✓ |
| 6 | B. barringtoniae | BS_009 | PNG * | 0 | 24.23 (±0.049) | × |
| 7 | B. barringtoniae | BS_014 | PNG * | 0 | 24.1 (±0.061) | × |
| 8 | B. barringtoniae | BS_017 | PNG * | 0 | 24.38 (±0.017) | × |
| 9 | B. umbrosa | BS_001 | Malaysia | 0 | 20.03 (±0.164) | × |
| 10 | B. cucurbitae | BC_005 | Unknown | 16.07 (±1.159) | 20.33 (±1.667) | ✓ |
| 11 | B. nigra | BS_011 | Unknown | 0 | 20.19 (±0.055) | × |
| 12 | B. nigra | BS_019 | Unknown | 0 | 20.17 (±0.210) | × |
| 13 | B. melanotus | BS_012 | Cook island | 0 | 19.97 (±0.179) | × |
| 14 | B. tau | T16_0199 | Unknown | 0 | 20.14 (±0.021) | × |
| 15 | B. zonata | T19_0753 | Unknown | 0 | 20.01 (±0.158) | × |
| 16 | B. oleae | BS_002 | Greece | 0 | 20.13 (±0.106) | × |
| 17 | B. carambolae | BS_006 | Indonesia | 0 | 25.34 (±0.042) | × |
| 18 | B.nr strigifinis | BS_007 | Australia | 0 | 25.27 (±0.021) | × |
| 19 | B. tryonii | T19_2213 | New Zealand | 0 | 25.33 (±0.066) | × |
| 20 | B. cucurbitae | BC_010 | Australia | 14.92 (±1.163) | 22.23 (±0.137) | ✓ |
| 21 | C. capitata | ERIH#1D1 | Hawaii | 0 | 25.38 (±0.084) | × |
| 22 | B. invadens | T18_2685 | India | 0 | 25.15 (±0.276) | × |
| 23 | B. cucumis | BS_010 | Australia | 0 | 25.24 (±0.057) | × |
| 24 | B. cucumis | BS_020 | Australia | 0 | 25.26 (±0.057) | × |
| 25 | B. cucurbitae | A | Unknown | 23.75 (±0.090) | 29.43 (±0.029) | ✓ |
| 26 | B. dorsalis | B | Unknown | 0 | 23.1 (±0.082) | × |
| 27 | B. tryonii | C | Unknown | 0 | 29.46 (±0.287) | × |
| 28 | B. cucurbitae | D | Unknown | 18.1 (±0.069) | 28.99 (±0.187) | ✓ |
| 29 | B. facialis | E | Unknown | 0 | 29.37 (±0.096) | × |
| 30 | B. psidii | F | Unknown | 0 | 29.48 (±0.138) | × |
| 31 | B. cucurbitae | G | Unknown | 15.8 (±0.190) | 18.29 (±0.174) | ✓ |
| 32 | B. cucumis | H | Unknown | 0 | 19.14 (±0.249) | × |
| 33 | B. passiflorae | I | Unknown | 0 | 19.93 (±0.023) | × |
| 34 | B. umbrosa | J | Unknown | 0 | 24.57 (±0.028) | × |
Disclaimer/Publisher’s Note: The statements, opinions and data contained in all publications are solely those of the individual author(s) and contributor(s) and not of MDPI and/or the editor(s). MDPI and/or the editor(s) disclaim responsibility for any injury to people or property resulting from any ideas, methods, instructions or products referred to in the content. |
© 2025 by the authors. Licensee MDPI, Basel, Switzerland. This article is an open access article distributed under the terms and conditions of the Creative Commons Attribution (CC BY) license (https://creativecommons.org/licenses/by/4.0/).
Share and Cite
Kayattukandy Balan, R.; George, S.; Pines, G.; Li, D.; Gunawardana, D.; Puthigae, S. Species-Specific Real-Time PCR Assay for Rapid Identification of Zeugodacus cucurbitae Coquillet (Diptera: Tephritidae) from Other Closely Related Fruit Fly Species. Insects 2025, 16, 818. https://doi.org/10.3390/insects16080818
Kayattukandy Balan R, George S, Pines G, Li D, Gunawardana D, Puthigae S. Species-Specific Real-Time PCR Assay for Rapid Identification of Zeugodacus cucurbitae Coquillet (Diptera: Tephritidae) from Other Closely Related Fruit Fly Species. Insects. 2025; 16(8):818. https://doi.org/10.3390/insects16080818
Chicago/Turabian StyleKayattukandy Balan, Rebijith, Sherly George, Gur Pines, Dongmei Li, Disna Gunawardana, and Sathish Puthigae. 2025. "Species-Specific Real-Time PCR Assay for Rapid Identification of Zeugodacus cucurbitae Coquillet (Diptera: Tephritidae) from Other Closely Related Fruit Fly Species" Insects 16, no. 8: 818. https://doi.org/10.3390/insects16080818
APA StyleKayattukandy Balan, R., George, S., Pines, G., Li, D., Gunawardana, D., & Puthigae, S. (2025). Species-Specific Real-Time PCR Assay for Rapid Identification of Zeugodacus cucurbitae Coquillet (Diptera: Tephritidae) from Other Closely Related Fruit Fly Species. Insects, 16(8), 818. https://doi.org/10.3390/insects16080818

