A Microsurgical Technique for Removing the Spermatheca of Bumblebee Females and Its Application
Simple Summary
Abstract
1. Introduction
2. Materials and Methods
2.1. Sampling Bumblebees for Trials
2.2. The Procedure for Removing the Spermatheca of Bumblebees
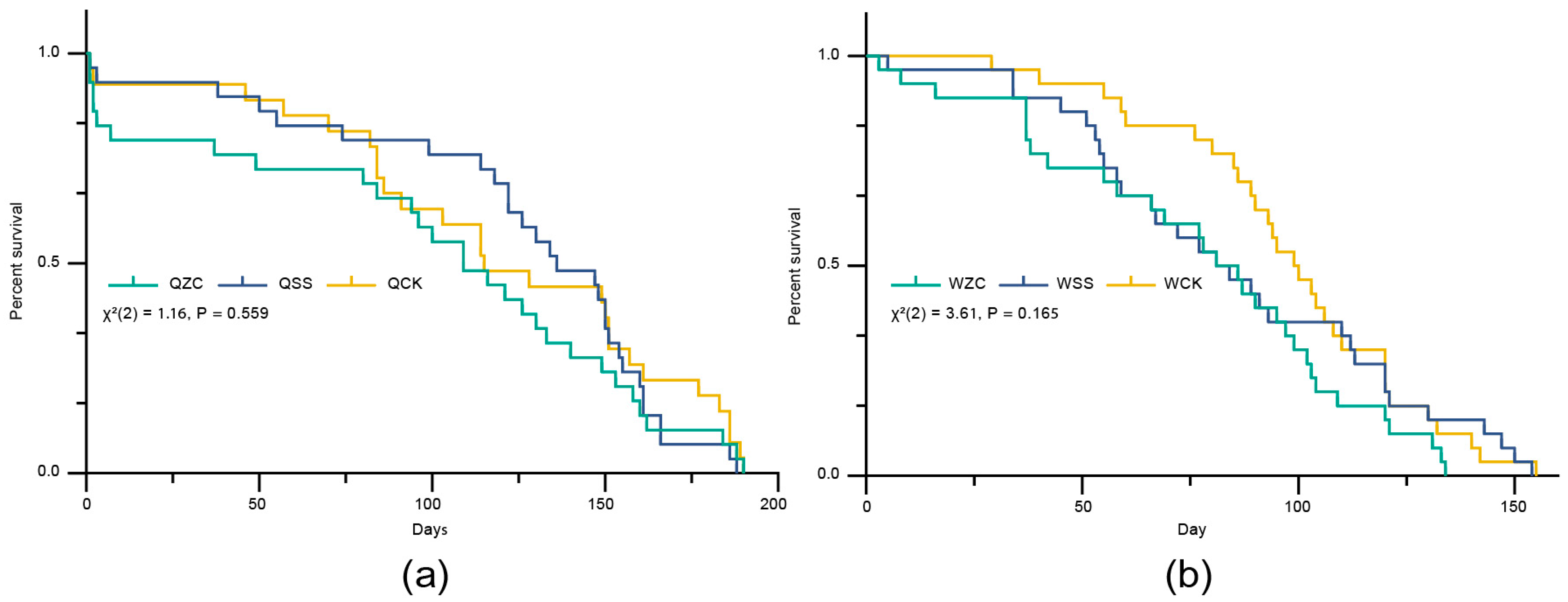
2.3. Effects of the Removal of the Spermatheca on Female’s Longevity
2.4. Effects of the Removal of the Spermatheca on Female’s Mating Behavior
2.5. Effects of the Removal of the Spermatheca on Female’s Overwintering
2.6. Effects of the Removal of Spermatheca on Female’s Oviposition
2.7. Statistical Analysis
3. Results
3.1. Morphological Changes in the Sting Chamber of Bumblebee After Removing the Spermatheca
3.2. Effects of the Removal of the Spermatheca on Female’s Longevity
3.3. Effects of the Removal of the Spermatheca on Female’s Mating Behavior
3.4. Effects of the Removal of the Spermatheca on Female’s Overwintering
3.5. Effects of the Removal of the Spermatheca on Female’s Oviposition
4. Discussion
5. Conclusions
Supplementary Materials
Author Contributions
Funding
Data Availability Statement
Acknowledgments
Conflicts of Interest
References
- Sullivan, J.P.; Jassim, O.; Fahrbach, S.E.; Robinson, G.E. Juvenile hormone paces behavioral development in the adult worker honey bee. Horm. Behavior. 2000, 37, 1–14. [Google Scholar] [CrossRef] [PubMed]
- Sullivan, J.P.; Fahrbach, S.E.; Harrison, J.F.; Capaldi, E.A.; Fewell, J.H.; Robinson, G.E. Juvenile hormone and division of labor in honey bee colonies: Effects of allatectomy on flight behavior and metabolism. J. Exp. Biol. 2003, 206, 2287–2296. [Google Scholar] [CrossRef] [PubMed]
- Schroeder, T.B.; Houghtaling, J.; Wilts, B.D.; Mayer, M. It‘s not a bug, it‘s a feature: Functional materials in insects. Adv. Mater. 2018, 30, 1705322. [Google Scholar] [CrossRef] [PubMed]
- Strauß, J. The scolopidial accessory organs and Nebenorgans in orthopteroid insects: Comparative neuroanatomy, mechanosensory function, and evolutionary origin. Arthropod Struct. Dev. 2017, 46, 765–776. [Google Scholar] [CrossRef] [PubMed]
- Koyama, T.; Saeed, U.; Rewitz, K.; Halberg, K.V. The Integrative Physiology of Hormone Signaling: Insights from Insect models. Physiology 2025, 40, 343–362. [Google Scholar] [CrossRef] [PubMed]
- Kopec, S. Studies on the necessity of the brain for the inception of insect metamorphosis. Biol. Bull. 1922, 42, 323–342. [Google Scholar] [CrossRef]
- Couillaud, F. Influence of sexual organs on corpora allata biosynthetic activity in Locusta migratoria. Physiol. Entomol. 1986, 11, 397–403. [Google Scholar] [CrossRef]
- Franco, M.; Fassler, R.; Goldberg, T.S.; Chole, H.; Herz, Y.; Woodard, S.H.; Reichmann, D.; Bloch, G. Substances in the mandibular glands mediate queen effects on larval development and colony organization in an annual bumble bee. Proc. Natl. Acad. Sci. USA 2023, 120, e2302071120. [Google Scholar] [CrossRef] [PubMed]
- Ahmed, I.; Gillott, C. The spermatheca of Melanoplus sanguinipes (Fabr.). I. Morphology, histology, and histochemistry. Int. J. Invertebr. Reprod. 1981, 4, 281–295. [Google Scholar] [CrossRef]
- Krueger, S.; Martins de, S.; e Silva, J.; Santos de Oliveira, C.; Moritz, G. Investigation of the spermathecal morphology, reproductive strategy and fate of stored spermatozoa in three important thysanopteran species. Sci. Rep. 2022, 12, 18517. [Google Scholar] [CrossRef] [PubMed]
- Pascini, T.V.; Ramalho-Ortigäo, J.M.; Martins, G.F. The fine structure of the spermatheca in Anopheles aquasalis (Diptera: Culicidae). Ann. Entomol. Soc. Am. 2013, 106, 857–867. [Google Scholar] [CrossRef]
- Winnick, C.G.; Holwell, G.I.; Herberstein, M.E. Internal reproductive anatomy of the praying mantid Ciulfina klassi (Mantodea: Liturgusidae). Arthropod Struct. Dev. 2009, 38, 60–69. [Google Scholar] [CrossRef] [PubMed]
- Dallai, R.; Mercati, D.; Gottardo, M.; Machida, R.; Mashimo, Y.; Beutel, R.G. The fine structure of the female reproductive system of Zorotypus caudelli Karny (Zoraptera). Arthropod Struct. Dev. 2012, 41, 51–63. [Google Scholar] [CrossRef] [PubMed]
- da Silva, I.B.; Costa-Leonardo, A.M. Mating mediates morphophysiological changes in the spermathecae of Coptotermes gestroi queens. Entomol. Exp. Appl. 2023, 171, 361–373. [Google Scholar] [CrossRef]
- Schoeters, E.; Billen, J. The importance of the spermathecal duct in bumblebees. J. Insect Physiol. 2000, 46, 1303–1312. [Google Scholar] [CrossRef] [PubMed]
- Adams, I.; Tariq, M. An Overview of Reproduction in Insects. Asian J. Adv. Agric. Res. 2024, 24, 133–147. [Google Scholar] [CrossRef]
- Evans, E.; Burns, I.; Spivak, M. Befriending Bumble Bees: A Practical Guide to Raising Local Bumble Bees; University of Minnesota Extension Service: St. Paul, MN, USA, 2007. [Google Scholar]
- Zhuang, M.; Colgan, T.J.; Guo, Y.; Zhang, Z.; Liu, F.; Xia, Z.; Dai, X.; Zhang, Z.; Li, Y.; Wang, L.; et al. Unexpected worker mating and colony-founding in a superorganism. Nat. Commun. 2023, 14, 5499. [Google Scholar] [CrossRef] [PubMed]
- Zhang, H.; Zhou, Z.; Huang, J.; Yuan, X.; Ding, G.; An, J. Queen traits and colony size of four bumblebee species of China. Insectes Sociaux 2018, 65, 537–547. [Google Scholar] [CrossRef]
- Zhuang, M.; Li, J. A microsurgical Knife and Its Preparation Method for Spermatheca Removal in Bumblebees. Chinese Patent ZL202411634155.0, 15 November 2024. [Google Scholar]
- Tasei, J. Effect of different narcosis procedures on initiating oviposition of prediapausing Bombus terrestris queens. Entomol. Exp. Appl. 1994, 72, 273–279. [Google Scholar] [CrossRef]
- Villavaso, E.J. Functions of the spermathecal muscle of the boll weevil, Anthonomus grandis. J. Insect Physiol. 1975, 21, 1275–1278. [Google Scholar] [CrossRef]
- Krautz, R.; Arefin, B.; Theopold, U. Damage signals in the insect immune response. Front. Plant Sci. 2014, 5, 342. [Google Scholar] [CrossRef] [PubMed]
- Carreck, N.L.; Andree, M.; Brent, C.S.; Cox-Foster, D.; Dade, H.A.; Ellis, J.D.; Hatjina, F.; Van Englesdorp, D. Standard methods for Apis mellifera anatomy and dissection. J. Apic. Res. 2013, 52, 1–40. [Google Scholar] [CrossRef]
- Pascini, T.V.; Martins, G.F. The insect spermatheca: An overview. Zoology 2017, 121, 56–71. [Google Scholar] [CrossRef] [PubMed]
- Verma, L.R. Honeybee spermatozoa and their survival in the queen‘s spermatheca. Bee World 1974, 55, 53–61. [Google Scholar] [CrossRef]
- Rhodes, J.W.; Lacey, M.J.; Harden, S. Changes with age in queen honey bee (Apis mellifera) head chemical constituents (Hymenoptera: Apidae). Sociobiology 2007, 50, 11–22. [Google Scholar]
- Baer, B.; Eubel, H.; Taylor, N.L.; O‘Toole, N.; Millar, A.H. Insights into female sperm storage from the spermathecal fluid proteome of the honeybee Apis mellifera. Genome Biol. 2009, 10, R67. [Google Scholar] [CrossRef] [PubMed]
- Al-Lawati, H.; Kamp, G.; Bienefeld, K. Characteristics of the spermathecal contents of old and young honeybee queens. J. Insect Physiol. 2009, 55, 117–122. [Google Scholar] [CrossRef] [PubMed]
- Farooqui, T.; Farooqui, A.A. Oxidative Stress in Vertebrates and Invertebrates: Molecular Aspects of Cell Signaling; John Wiley & Sons: Hoboken, NJ, USA, 2011. [Google Scholar]
- Gherlenda, A.N.; Haigh, A.M.; Moore, B.D.; Johnson, S.N.; Riegler, M. Climate change, nutrition and immunity: Effects of elevated CO2 and temperature on the immune function of an insect herbivore. J. Insect Physiol. 2016, 85, 57–64. [Google Scholar] [CrossRef] [PubMed]
- Amsalem, E.; Grozinger, C.M. Evaluating the molecular, physiological and behavioral impacts of CO2 narcosis in bumble bees (Bombus impatiens). J. Insect Physiol. 2017, 101, 57–65. [Google Scholar] [CrossRef] [PubMed]
- Treanore, E.D.; Amsalem, E. Examining the individual and additive effects of cold storage and CO2 narcosis on queen survival and reproduction in bumble bees. J. Insect Physiol. 2022, 139, 104394. [Google Scholar] [CrossRef] [PubMed]
- Baer, B.; Schmid-Hempel, P. The artificial insemination of bumblebee queens. Insectes Sociaux 2000, 47, 183–187. [Google Scholar] [CrossRef]
- Santos, C.G.; Humann, F.C.; Hartfelder, K. Juvenile hormone signaling in insect oogenesis. Curr. Opin. Insect Sci. 2019, 31, 43–48. [Google Scholar] [CrossRef] [PubMed]
- Lenaerts, C.; Monjon, E.; Van Lommel, J.; Verbakel, L.; Vanden Broeck, J. Peptides in insect oogenesis. Curr. Opin. Insect Sci. 2019, 31, 58–64. [Google Scholar] [CrossRef] [PubMed]
- Bourke, A.F. Worker reproduction in the higher eusocial Hymenoptera. Q. Rev. Biol. 1988, 63, 291–311. [Google Scholar] [CrossRef]
- Gotoh, A.; Billen, J.; Hashim, R.; Ito, F. Degeneration patterns of the worker spermatheca during morphogenesis in ants (Hymenoptera: Formicidae). Evol. Dev. 2016, 18, 96–104. [Google Scholar] [CrossRef] [PubMed]
- Strassmann, J.E.; Queller, D.C. Insect societies as divided organisms: The complexities of purpose and cross-purpose. Proc. Natl. Acad. Sci. USA 2007, 104, 8619–8626. [Google Scholar] [CrossRef] [PubMed]
- Ronai, I.; Vergoz, V.; Oldroyd, B. The mechanistic, genetic, and evolutionary basis of worker sterility in the social Hymenoptera. In Advances in the Study of Behavior; Elsevier: Amsterdam, The Netherlands, 2016; Volume 48, pp. 251–317. [Google Scholar]




Disclaimer/Publisher’s Note: The statements, opinions and data contained in all publications are solely those of the individual author(s) and contributor(s) and not of MDPI and/or the editor(s). MDPI and/or the editor(s) disclaim responsibility for any injury to people or property resulting from any ideas, methods, instructions or products referred to in the content. |
© 2025 by the authors. Licensee MDPI, Basel, Switzerland. This article is an open access article distributed under the terms and conditions of the Creative Commons Attribution (CC BY) license (https://creativecommons.org/licenses/by/4.0/).
Share and Cite
Zhuang, M.; Yang, F.; Xia, Z.; Fei, Y.; Liu, F.; Zhang, Z.; Zhang, Z.; Li, J. A Microsurgical Technique for Removing the Spermatheca of Bumblebee Females and Its Application. Insects 2025, 16, 734. https://doi.org/10.3390/insects16070734
Zhuang M, Yang F, Xia Z, Fei Y, Liu F, Zhang Z, Zhang Z, Li J. A Microsurgical Technique for Removing the Spermatheca of Bumblebee Females and Its Application. Insects. 2025; 16(7):734. https://doi.org/10.3390/insects16070734
Chicago/Turabian StyleZhuang, Mingsheng, Fan Yang, Zhongyan Xia, Yu Fei, Fugang Liu, Zhengyi Zhang, Zhihao Zhang, and Jilian Li. 2025. "A Microsurgical Technique for Removing the Spermatheca of Bumblebee Females and Its Application" Insects 16, no. 7: 734. https://doi.org/10.3390/insects16070734
APA StyleZhuang, M., Yang, F., Xia, Z., Fei, Y., Liu, F., Zhang, Z., Zhang, Z., & Li, J. (2025). A Microsurgical Technique for Removing the Spermatheca of Bumblebee Females and Its Application. Insects, 16(7), 734. https://doi.org/10.3390/insects16070734

