Susceptibility of Spodoptera frugiperda to Commercial Entomopathogenic Fungi Formulations in South Africa
Simple Summary
Abstract
1. Introduction
2. Materials and Methods
2.1. Rearing of Spodoptera frugiperda
2.2. Entomopathogenic Fungi Formulations Used in This Study
2.3. Fungal Viability Assessment
2.4. Susceptibility of Second- and Sixth-Instar Spodoptera frugiperda Larvae to Bioinsecticides
2.5. Effect of Bioinsecticides on Spodoptera frugiperda Adult Emergence
2.6. Susceptibility of Spodoptera frugiperda Prepupae to Bioinsecticides
2.7. Effect of Bioinsecticides on Fecundity and Longevity of Spodoptera frugiperda
2.8. Data Analysis
3. Results
3.1. Viability Assessment
3.2. Susceptibility of Second- and Sixth-Instar Larvae to Biopesticides
3.3. Effect of Biopesticides on Spodoptera frugiperda Adult Emergence
3.4. Susceptibility of Spodoptera frugiperda Prepupae to Bioinsecticides
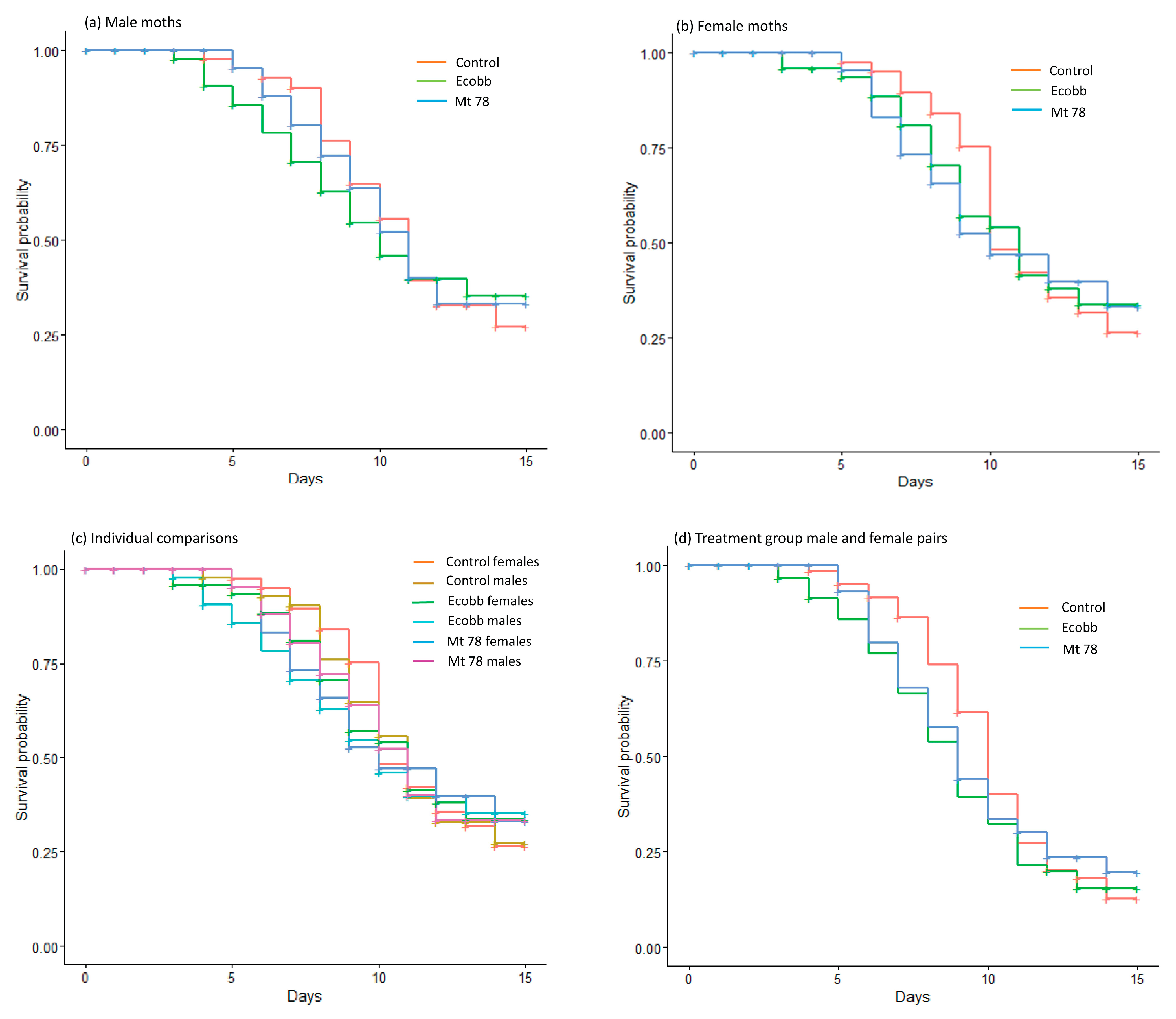
3.5. Effect of Biopesticides on Fecundity and Longevity of Spodoptera frugiperda
4. Discussion
5. Conclusions
Author Contributions
Funding
Data Availability Statement
Conflicts of Interest
Abbreviations
| ES | Emulsifiable oil |
| EPF | Entomopathogenic fungi |
| FAW | Fall armyworm |
| SSA | Sub-Saharan Africa |
| WP | Wettable powder |
References
- Huesing, J.E.; Prasanna, B.M.; McGrath, D.; Chinwada, P.; Jepson, P.; Capinera, J.L. Integrated pest management of fall armyworm in Africa: An introduction. In Fall Armyworm in Africa: A Guide for Integrated Pest Management; Prasanna, B.M., Huesing, J.E., Eddy, R., Peschke, V.M., Eds.; CIMMYT: Mexico City, Mexico, 2018; pp. 1–10. [Google Scholar]
- Stokstad, E. New Crop Pest Takes Africa at Lightning Speed. Science 2017, 356, 473–474. [Google Scholar] [CrossRef] [PubMed]
- Kansiime, M.K.; Rwomushana, I.; Mugambi, I. Fall Armyworm Invasion in Sub-Saharan Africa and Impacts on Community Sustainability in the Wake of Coronavirus Disease 2019: Reviewing the Evidence. Curr. Opin. Environ. Sustain. 2023, 62, 101279. [Google Scholar] [CrossRef]
- Nyamutukwa, S.; Mvumi, B.M.; Chinwada, P. Sustainable Management of Fall Armyworm, Spodoptera frugiperda (J.E. Smith): Challenges and Proposed Solutions from an African Perspective. Int. J. Pest Manag. 2024, 70, 676–694. [Google Scholar] [CrossRef]
- Kumela, T.; Simiyu, J.; Sisay, B.; Likhayo, P.; Mendesil, E.; Gohole, L.; Tefera, T. Farmers’ Knowledge, Perceptions, and Management Practices of the New Invasive Pest, Fall Armyworm (Spodoptera frugiperda) in Ethiopia and Kenya. Int. J. Pest Manag. 2019, 65, 1–9. [Google Scholar] [CrossRef]
- Kansiime, M.K.; Mugambi, I.; Rwomushana, I.; Nunda, W.; Lamontagne-Godwin, J.; Rware, H.; Phiri, N.A.; Chipabika, G.; Ndlovu, M.; Day, R. Farmer Perception of Fall Armyworm (Spodoptera frugiderda J.E. Smith) and Farm-level Management Practices in Zambia. Pest Manage. Sci. 2019, 75, 2840–2850. [Google Scholar] [CrossRef] [PubMed]
- Tambo, J.A.; Kansiime, M.K.; Mugambi, I.; Rwomushana, I.; Kenis, M.; Day, R.K.; Lamontagne-Godwin, J. Understanding Smallholders’ Responses to Fall Armyworm (Spodoptera frugiperda) Invasion: Evidence from Five African Countries. Sci. Total Environ. 2020, 740, 140015. [Google Scholar] [CrossRef] [PubMed]
- Sanou, M.R.; Compaoré, I.; Sanon, A. Emergency Response to the Spodoptera frugiperda Invasion in Africa: What Do Maize Producers in Burkina Faso Think and Do? Afr. J. Agric. Res. 2023, 19, 101–112. [Google Scholar]
- Young, J.R.; McMillian, W.W. Differential Feeding by Two Strains of Fall Armyworm Larvae on Carbaryl Treated Surfaces. J. Econ. Entomol. 1979, 72, 202–203. [Google Scholar] [CrossRef]
- Yu, S.J.; Nguyen, S.N.; Abo-Elghar, G.E. Biochemical Characteristics of Insecticide Resistance in the Fall Armyworm, Spodoptera frugiperda (JE Smith). Pestic. Biochem. Physiol. 2003, 77, 1–11. [Google Scholar] [CrossRef]
- Gutiérrez-Moreno, R.; Mota-Sanchez, D.; Blanco, C.A.; Whalon, M.E.; Terán-Santofimio, H.; Rodriguez-Maciel, J.C.; DiFonzo, C. Field-Evolved Resistance of the Fall Armyworm (Lepidoptera: Noctuidae) to Synthetic Insecticides in Puerto Rico and Mexico. J. Econ. Entomol. 2019, 112, 792–802. [Google Scholar] [CrossRef]
- Ahissou, B.R.; Sawadogo, W.M.; Bokonon-Ganta, A.H.; Somda, I.; Kestemont, M.-P.; Verheggen, F.J. Baseline Toxicity Data of Different Insecticides against the Fall Armyworm Spodoptera frugiperda (J.E. Smith) (Lepidoptera: Noctuidae) and Control Failure Likelihood Estimation in Burkina Faso. Afr. Entomol. 2021, 29, 435–444. [Google Scholar] [CrossRef]
- Van den Berg, J.; du Plessis, H. Chemical Control and Insecticide Resistance in Spodoptera frugiperda (Lepidoptera: Noctuidae). J. Econ. Entomol. 2022, 115, 1761–1771. [Google Scholar] [CrossRef] [PubMed]
- Chen, H.-L.; Hasnain, A.; Cheng, Q.-H.; Xia, L.-J.; Cai, Y.-H.; Hu, R.; Gong, C.-W.; Liu, X.-M.; Pu, J.; Zhang, L. Resistance Monitoring and Mechanism in the Fall Armyworm Spodoptera frugiperda (Lepidoptera: Noctuidae) for Chlorantraniliprole from Sichuan Province, China. Front. Physiol. 2023, 14, 1180655. [Google Scholar] [CrossRef]
- Cruz-Avalos, A.M.; de los Ángeles Bivián-Hernández, M.; Ibarra, J.E.; Del Rincón-Castro, M.C. High Virulence of Mexican Entomopathogenic Fungi against Fall Armyworm (Lepidoptera: Noctuidae). J. Econ. Entomol. 2019, 112, 99–107. [Google Scholar] [CrossRef] [PubMed]
- Akutse, K.S.; Kimemia, J.W.; Ekesi, S.; Khamis, F.M.; Ombura, O.L.; Subramanian, S. Ovicidal Effects of Entomopathogenic Fungal Isolates on the Invasive Fall Armyworm Spodoptera frugiperda (Lepidoptera: Noctuidae). J. Appl. Entomol. 2019, 143, 626–634. [Google Scholar] [CrossRef]
- Fakeer, M.; Hammam, G.H.; Joo, J.H.; Hussein, K.A. Applicability of Entomopathogenic Fungi and Essential Oils against the Fall Armyworm Spodoptera frugiperda (Lepidoptera: Noctuidae). Int. J. Trop. Insect Sci. 2024, 44, 53–61. [Google Scholar] [CrossRef]
- Jeon, I.; Kim, J.S. Soil Treatment with Beauveria and Metarhizium to Control Fall Armyworm, Spodoptera frugiperda, during the Soil-Dwelling Stage. J. Asia-Pac. Entomol. 2024, 27, 102193. [Google Scholar] [CrossRef]
- Islam, M.T.; Castle, S.J.; Ren, S. Compatibility of the Insect Pathogenic Fungus Beauveria bassiana with Neem against Sweetpotato Whitefly, Bemisia tabaci, on Eggplant. Entomol. Exp. Appl. 2010, 134, 28–34. [Google Scholar] [CrossRef]
- Kidanu, S.; Hagos, L. Research and Application of Entomopathogenic Fungi as Pest Management Option: A Review. J. Environ. Earth Sci. 2020, 10, 31–39. [Google Scholar]
- Strasser, H.; Vey, A.; Butt, T.M. Are There Any Risks in Using Entomopathogenic Fungi for Pest Control, with Particular Reference to the Bioactive Metabolites of Metarhizium, Tolypocladium and Beauveria Species? Biocontrol Sci. Technol. 2000, 10, 717–735. [Google Scholar] [CrossRef]
- Irsad; Shahid, M.; Haq, E.; Mohamed, A.; Rizvi, P.Q.; Kolanthasamy, E. Entomopathogen-Based Biopesticides: Insights into Unraveling Their Potential in Insect Pest Management. Front. Microbiol. 2023, 14, 1208237. [Google Scholar] [CrossRef] [PubMed]
- Mannino, M.C.; Huarte-Bonnet, C.; Davyt-Colo, B.; Pedrini, N. Is the Insect Cuticle the Only Entry Gate for Fungal Infection? Insights into Alternative Modes of Action of Entomopathogenic Fungi. J. Fungi 2019, 5, 33. [Google Scholar] [CrossRef] [PubMed]
- Reddy, K.R.K.; Praveen Kumar, D.; Reddy, K.R.N. Entomopathogenic Fungi: A Potential Bioinsecticide. Kavaka 2013, 41, 23–32. [Google Scholar]
- Rumbos, C.I.; Athanassiou, C.G. Use of Entomopathogenic Fungi for the Control of Stored-Product Insects: Can Fungi Protect Durable Commodities? J. Pest Sci. 2017, 90, 839–854. [Google Scholar] [CrossRef]
- Lacey, L.A.; Grzywacz, D.; Shapiro-Ilan, D.I.; Frutos, R.; Brownbridge, M.; Goettel, M.S. Insect Pathogens as Biological Control Agents: Back to the Future. J. Invertebr. Pathol. 2015, 132, 1–41. [Google Scholar] [CrossRef]
- Rajula, J.; Rahman, A.; Krutmuang, P. Entomopathogenic Fungi in Southeast Asia and Africa and Their Possible Adoption in biological control. Bio. Control 2020, 151, 104399. [Google Scholar] [CrossRef]
- Samish, M.; Gindin, G.; Alekseev, E.; Glazer, I. Pathogenicity of Entomopathogenic Fungi to Different Developmental Stages of Rhipicephalus sanguineus (Acari: Ixodidae). J. Parasitol. 2001, 87, 1355–1359. [Google Scholar] [CrossRef]
- Vega, F.E.; Meyling, N.V.; Luangsa-ard, J.J.; Blackwell, M. Fungal Entomopathogens. Insect Pathol. 2012, 2, 171–220. [Google Scholar]
- Bugeme, D.M.; Maniania, N.K.; Knapp, M.; Boga, H.I. Effect of Temperature on Virulence of Beauveria bassiana and Metarhizium anisopliae Isolates to Tetranychus evansi. In Diseases of Mites and Ticks; Bruin, J., Van Der Geest, L.P.S., Eds.; Springer: Dordrecht, The Netherlands, 2008; pp. 275–285. ISBN 978-1-4020-9694-5. [Google Scholar]
- Cafarchia, C.; Pellegrino, R.; Romano, V.; Friuli, M.; Demitri, C.; Pombi, M.; Benelli, G.; Otranto, D. Delivery and Effectiveness of Entomopathogenic Fungi for Mosquito and Tick Control: Current Knowledge and Research Challenges. Acta Trop. 2022, 234, 106627. [Google Scholar] [CrossRef]
- Quesada-Moraga, E.; González-Mas, N.; Yousef-Yousef, M.; Garrido-Jurado, I.; Fernández-Bravo, M. Key Role of Environmental Competence in Successful Use of Entomopathogenic Fungi in Microbial Pest Control. J Pest Sci. 2024, 97, 1–15. [Google Scholar] [CrossRef]
- Montecalvo, M.P.; Navasero, M.M. Comparative Virulence of Beauveria bassiana (Bals.) Vuill. and Metarhizium anisopliae (Metchnikoff) Sorokin to Spodoptera frugiperda (J.E. Smith) (Lepidoptera: Noctuidae). J. ISSAAS 2021, 27, 15–26. [Google Scholar]
- Jackson, M.A.; Dunlap, C.A.; Jaronski, S.T. Ecological Considerations in Producing and Formulating Fungal Entomopathogens for Use in Insect Biocontrol. BioControl 2010, 55, 129–145. [Google Scholar] [CrossRef]
- Prior, C.; Jollands, P.; Le Patourel, G. Infectivity of Oil and Water Formulations of Beauveria bassiana (Deuteromycotina: Hyphomycetes) to the Cocoa Weevil Pest Pantorhytes plutus (Coleoptera: Curculionidae). J. Invertebr. Pathol. 1988, 52, 66–72. [Google Scholar] [CrossRef]
- Bateman, R.P.; Carey, M.; Moore, D.; Prior, C. The Enhanced Infectivity of Metarhizium flavoviride in Oil Formulations to Desert Locusts at Low Humidities. Ann. Appl. Biol. 1993, 122, 145–152. [Google Scholar] [CrossRef]
- Wraight, S.P.; Filotas, M.J.; Sanderson, J.P. Comparative Efficacy of Emulsifiable-Oil, Wettable-Powder, and Unformulated-Powder Preparations of Beauveria bassiana against the Melon Aphid Aphis gossypii. Biocontrol Sci. Technol. 2016, 26, 894–914. [Google Scholar] [CrossRef]
- Ndolo, D.; Njuguna, E.; Adetunji, C.O.; Harbor, C.; Rowe, A.; Den Breeyen, A.; Sangeetha, J.; Singh, G.; Szewczyk, B.; Anjorin, T.S.; et al. Research and Development of Biopesticides: Challenges and Prospects. Outlooks Pest Manag. 2019, 30, 267–276. [Google Scholar] [CrossRef]
- Agri-Intel-Agriculture Intelligence. Available online: https://www.agri-intel.com/ (accessed on 15 May 2025).
- Lei, C.J.; Halim, N.A.; Asib, N.; Zakaria, A.; Azmi, W.A. Conidial Emulsion Formulation and Thermal Storability of Metarhizium anisopliae against Red Palm Weevil, Rhynchophorus ferrugineus Olivier (Coleoptera: Dryophthoridae). Microorganisms 2022, 10, 1460. [Google Scholar] [CrossRef]
- Erasmus, R.; van den Berg, J.; du Plessis, H. Susceptibility of Tuta absoluta (Lepidoptera: Gelechiidae) Pupae to Soil Applied Entomopathogenic Fungal Biopesticides. Insects 2021, 12, 515. [Google Scholar] [CrossRef]
- Krutmuang, P.; Sanchatthai, M.; Rajula, J.; Jing, L.W.; Wan, P.; Mekchay, S.; Perumal, V. A Comparison of the Reproductive Systems: A Virgin and Mated Female Spodoptera frugiperda (Lepidoptera: Noctuidae). Int. J. Trop. Insect Sci. 2024, 44, 637–645. [Google Scholar] [CrossRef]
- R Core Team. R: A Language and Environment for Statistical Computing; R Foundation for Statistical Computing: Vienna, Austria, 2024; Available online: https://www.R-project.org/ (accessed on 25 April 2025).
- Idrees, A.; Qadir, Z.A.; Akutse, K.S.; Afzal, A.; Hussain, M.; Islam, W.; Waqas, M.S.; Bamisile, B.S.; Li, J. Effectiveness of Entomopathogenic Fungi on Immature Stages and Feeding Performance of Fall Armyworm, Spodoptera frugiperda (Lepidoptera: Noctuidae) Larvae. Insects 2021, 12, 1044. [Google Scholar] [CrossRef]
- Idrees, A.; Afzal, A.; Qadir, Z.A.; Li, J. Bioassays of Beauveria Bassiana Isolates against the Fall Armyworm, Spodoptera frugiperda. J. Fungi 2022, 8, 717. [Google Scholar] [CrossRef]
- Idrees, A.; Afzal, A.; Qadir, Z.A.; Li, J. Virulence of Entomopathogenic Fungi against Fall Armyworm, Spodoptera frugiperda (Lepidoptera: Noctuidae) under Laboratory Conditions. Front. Physiol. 2023, 14, 1107434. [Google Scholar] [CrossRef] [PubMed]
- Abbas, M.S.T. Biological Control of Spodoptera frugiperda (Nixon) (Lepidoptera: Noctuidae) in New Invaded Countries Using Insect Pathogens. Egypt. J. Biol. Pest Control 2024, 34, 36. [Google Scholar] [CrossRef]
- Mekonnen, M.A.; Emirie, G.A.; Mitiku, S.Y.; Hailemariam, B.N.; Mekonnen, M.B.; Mengistu, A.A. Occurrence and Pathogenicity of Indigenous Entomopathogenic Fungi Isolates to Fall Armyworm (Spodoptera frugiperda J. E. Smith) in Western Amhara, Ethiopia. Pyche J. Entomol. 2024, 2024, 7444094. [Google Scholar] [CrossRef]
- Perumal, V.; Kannan, S.; Alford, L.; Pittarate, S.; Krutmuang, P. Study on the Virulence of Metarhizium anisopliae against Spodoptera frugiperda (J. E. Smith, 1797). J. Basic Microbiol. 2024, 64, 2300599. [Google Scholar] [CrossRef] [PubMed]
- Guo, J.; Wu, S.; Zhang, F.; Huang, C.; He, K.; Babendreier, D.; Wang, Z. Prospects for Microbial Control of the Fall Armyworm Spodoptera frugiperda: A Review. BioControl 2020, 65, 647–662. [Google Scholar] [CrossRef]
- Ullah, S.; Raza, A.B.M.; Alkafafy, M.; Sayed, S.; Hamid, M.I.; Majeed, M.Z.; Riaz, M.A.; Gaber, N.M.; Asim, M. Isolation, Identification and Virulence of Indigenous Entomopathogenic Fungal Strains against the Peach-Potato Aphid, Myzus persicae Sulzer (Hemiptera: Aphididae), and the Fall Armyworm, Spodoptera frugiperda (J.E. Smith) (Lepidoptera: Noctuidae). Egypt. J. Biol. Pest Control 2022, 32, 2. [Google Scholar] [CrossRef]
- Valero-Jiménez, C.A.; Wiegers, H.; Zwaan, B.J.; Koenraadt, C.J.M.; van Kan, J.A.L. Genes Involved in Virulence of the Entomopathogenic Fungus Beauveria bassiana. J. Invertebr. Pathol. 2016, 133, 41–49. [Google Scholar] [CrossRef]
- Vidhate, R.P.; Dawkar, V.V.; Punekar, S.A.; Giri, A.P. Genomic Determinants of Entomopathogenic Fungi and Their Involvement in Pathogenesis. Microb. Ecol. 2023, 85, 49–60. [Google Scholar] [CrossRef]
- Oberti, H.; Sessa, L.; van Roosmalen, E.; de Bekker, C.; Seidl, M.F.; Sanchez-Vallet, A.; Abreo, E. From Omics to Enhanced Fungal Virulence: Overexpression of a Putative Secreted Protein Improves Beauveria bassiana Biocontrol Potential against the Insect Pests Piezodorus guildinii and Tenebrio molitor. bioRxiv 2025. [Google Scholar] [CrossRef]
- Maistrou, S.; Natsopoulou, M.E.; Jensen, A.B.; Meyling, N.V. Virulence Traits within a Community of the Fungal Entomopathogen Beauveria: Associations with Abundance and Distribution. Fungal Ecol. 2020, 48, 100992. [Google Scholar] [CrossRef]
- Rohrlich, C.; Merle, I.; Mze Hassani, I.; Verger, M.; Zuin, M.; Besse, S.; Robene, I.; Nibouche, S.; Costet, L. Variation in Physiological Host Range in Three Strains of Two Species of the Entomopathogenic Fungus Beauveria. PLoS ONE 2018, 13, e0199199. [Google Scholar] [CrossRef]
- Vinayaga Moorthi, P.; Balasubramanian, C.; Selvarani, S.; Radha, A. Efficacy of Sub Lethal Concentration of Entomopathogenic Fungi on the Feeding and Reproduction of Spodoptera litura. SpringerPlus 2015, 4, 681. [Google Scholar] [CrossRef]
- Quesada-Moraga, E.; Carrasco-Díaz, J.-A.; Santiago-Álvarez, C. Insecticidal and Antifeedant Activities of Proteins Secreted by Entomopathogenic Fungi against Spodoptera littoralis (Lep., Noctuidae). J. Appl. Entomol. 2006, 130, 442–452. [Google Scholar] [CrossRef]
- Pérez-González, V.H.; Guzmán-Franco, A.W.; Alatorre-Rosas, R.; Hernández-López, J.; Hernández-López, A.; Carrillo-Benítez, M.G.; Baverstock, J. Specific Diversity of the Entomopathogenic Fungi Beauveria and Metarhizium in Mexican Agricultural Soils. J. Invertebr. Pathol. 2014, 119, 54–61. [Google Scholar] [CrossRef] [PubMed]
- Hajek, A.E.; St Leger, R.J. Interactions between Fungal Pathogens and Insect Hosts. Annu. Rev. Entomol. 1994, 39, 293–322. [Google Scholar] [CrossRef]
- McGuire, A.V.; Northfield, T.D. Tropical Occurrence and Agricultural Importance of Beauveria bassiana and Metarhizium anisopliae. Front. Sustain. Food Syst. 2020, 4, 6. [Google Scholar] [CrossRef]
- Prasad, A.; Veerwal, B. Biotoxicity of Entomopathogenic Fungus Beauveria bassiana (Balsamo) Vuillemin, against Early Larval Instars of Anopheline Mosquitoes. J. Herb. Med. Toxicol. 2010, 4, 181–188. [Google Scholar]
- Garrido-Jurado, I.; Resquín-Romero, G.; Yousef-Naef, M.; Ríos-Moreno, A.; Quesada-Moraga, E. Soil Drenching with Entomopathogenic Fungi for Control of the Soil-Dwelling Life Stages and Adults of the Same Generation of Spodoptera littoralis (Boisd.) (Lepidoptera: Noctuidae). Bull. Entomol. Res. 2020, 110, 242–248. [Google Scholar] [CrossRef]
- Kalvnadi, E.; Mirmoayedi, A.; Alizadeh, M.; Pourian, H.-R. Sub-Lethal Concentrations of the Entomopathogenic Fungus, Beauveria bassiana Increase Fitness Costs of Helicoverpa armigera (Lepidoptera: Noctuidae) Offspring. J. Invertebr. Pathol. 2018, 158, 32–42. [Google Scholar] [CrossRef]
- Vivekanandhan, P.; Kamaraj, C.; Alharbi, S.A.; Ansari, M.J. Novel Report on Soil Infection with Metarhizium rileyi against Soil-dwelling Life Stages of Insect Pests. J. Basic Microbiol. 2024, 64, e2400159. [Google Scholar] [CrossRef] [PubMed]
- Goble, T.A.; Dames, J.F.; Hill, M.P.; Moore, S.D. Investigation of Native Isolates of Entomopathogenic Fungi for the Biological Control of Three Citrus Pests. Biocontrol Sci. Technol. 2011, 21, 1193–1211. [Google Scholar] [CrossRef]

| Commercial Name and Manufacturer | Active Ingredient | Experimental Code | Application Rate/ha | Batch Concentration | Working Concentration |
|---|---|---|---|---|---|
| Broadband®, BASF SA (Pty) Ltd.©) (Midrand, South Africa) | Beauveria bassiana PPRI 5339 | Bband | 1000 mL | 4 × 109 cfu/mL | 1.33 × 107 * cfu/mL |
| Eco-Bb®, Andermatt PHP (Pty) Ltd.©) (uMngeni, Nottingham Road, South Africa) | Beauveria bassiana R444 | Ecobb | 1000 g | 2 × 109 spores/g | 3.5 × 106 spores/mL |
| Real Metarhizium 69®, Real IPM SA (Pty) Ltd.©) (Grabouw, South Africa) | Metarhizium anisopliae ICIPE 69 | Mt 69 | 400 mL | 1 × 109 cfu/mL | 1.33 × 106 cfu/mL |
| Real Metarhizium 78®, Real IPM SA (Pty) Ltd.©) (Grabouw, South Africa) | Metarhizium anisopliae ICIPE 78 | Mt 78 | 400 mL | 1 × 109 cfu/mL | 1.33 × 106 cfu/mL |
| L2 Larvae | L6 Larvae | |||
|---|---|---|---|---|
| Treatment | % Mortality (±SE) | % Mycosis (±SE) | % Mortality (±SE) | % Mycosis (±SE) |
| Bband | 11.1 ± 4.84 a* | 100 ± 0.0 d | 4.44 ± 1.11 a | 33.3 ± 33.3 a |
| Ecobb | 10.0 ± 5.09 a | 72.2 ± 14.7 c | 8.89 ± 1.11 a | 77.8 ± 11.1 ab |
| Mt 69 | 10.0 ± 1.92 a | 36.1 ± 7.35 a | 5.55 ± 2.22 a | 0 ± 0.0 a |
| Mt 78 | 13.3 ± 3.33 a | 22.2 ± 11.1 ab | 5.55 ± 4.01 a | 25.0 ± 25.0 a |
| χ2 | 0.66 | 8.64 | 1.65 | 10.1 |
| p | >0.05 | <0.001 | >0.05 | =0.01 |
| Treatment | % Emergence (±SE) | % Malformation (±SE) |
|---|---|---|
| Control | 80.0 ± 3.85 a* | 8.37 ± 0.40 ab |
| Bband | 66.7 ± 6.67 a | 21.3 ± 7.23 c |
| Ecobb | 75.6 ± 11.1 a | 20.2 ± 8.94 c |
| Mt 69 | 75.6 ± 8.01 a | 2.78 ± 2.78 a |
| Mt 78 | 75.6 ± 2.22 a | 3.03 ± 3.03 a |
| χ2 | 2.20 | 9.83 |
| p | >0.05 | =0.04 |
| Treatment | Mean Mortality ± SE (%) | Mean Mycosis ± SE (%) |
|---|---|---|
| Control | 18.3 ± 6.01 a* | – |
| Bband | 28.3 ± 4.41 ab | 33.3 ± 33.3 a |
| Ecobb | 23.3 ± 4.41 ab | 23.3 ± 14.5 a |
| Mt 69 | 41.7 ± 6.01 bc | 27.8 ± 20.0 a |
| Mt 78 | 56.7 ± 6.01 c | 38.3 ± 10.5 a |
| χ2 | 25.78 | 1.41 |
| p | <0.001 | >0.05 |
Disclaimer/Publisher’s Note: The statements, opinions and data contained in all publications are solely those of the individual author(s) and contributor(s) and not of MDPI and/or the editor(s). MDPI and/or the editor(s) disclaim responsibility for any injury to people or property resulting from any ideas, methods, instructions or products referred to in the content. |
© 2025 by the authors. Licensee MDPI, Basel, Switzerland. This article is an open access article distributed under the terms and conditions of the Creative Commons Attribution (CC BY) license (https://creativecommons.org/licenses/by/4.0/).
Share and Cite
Louw, S.; Paradza, V.M.; van den Berg, J.; du Plessis, H. Susceptibility of Spodoptera frugiperda to Commercial Entomopathogenic Fungi Formulations in South Africa. Insects 2025, 16, 656. https://doi.org/10.3390/insects16070656
Louw S, Paradza VM, van den Berg J, du Plessis H. Susceptibility of Spodoptera frugiperda to Commercial Entomopathogenic Fungi Formulations in South Africa. Insects. 2025; 16(7):656. https://doi.org/10.3390/insects16070656
Chicago/Turabian StyleLouw, Simoné, Vongai M. Paradza, Johnnie van den Berg, and Hannalene du Plessis. 2025. "Susceptibility of Spodoptera frugiperda to Commercial Entomopathogenic Fungi Formulations in South Africa" Insects 16, no. 7: 656. https://doi.org/10.3390/insects16070656
APA StyleLouw, S., Paradza, V. M., van den Berg, J., & du Plessis, H. (2025). Susceptibility of Spodoptera frugiperda to Commercial Entomopathogenic Fungi Formulations in South Africa. Insects, 16(7), 656. https://doi.org/10.3390/insects16070656

