Explosive Growth of the Jorō Spider (Trichonephila clavata (L. Koch): Araneae: Araneidae) and Concurrent Decline of Native Orbweaving Spiders in Atlanta, Georgia Forests at the Forefront of the Jorō Spider’s Invasive Spread
Simple Summary
Abstract
1. Introduction
1.1. Established Non-Native Spiders
1.2. Jorō Spider Introduction to North America
2. Materials and Methods
2.1. Study Sites and Data Collection
2.2. Statistical Analysis
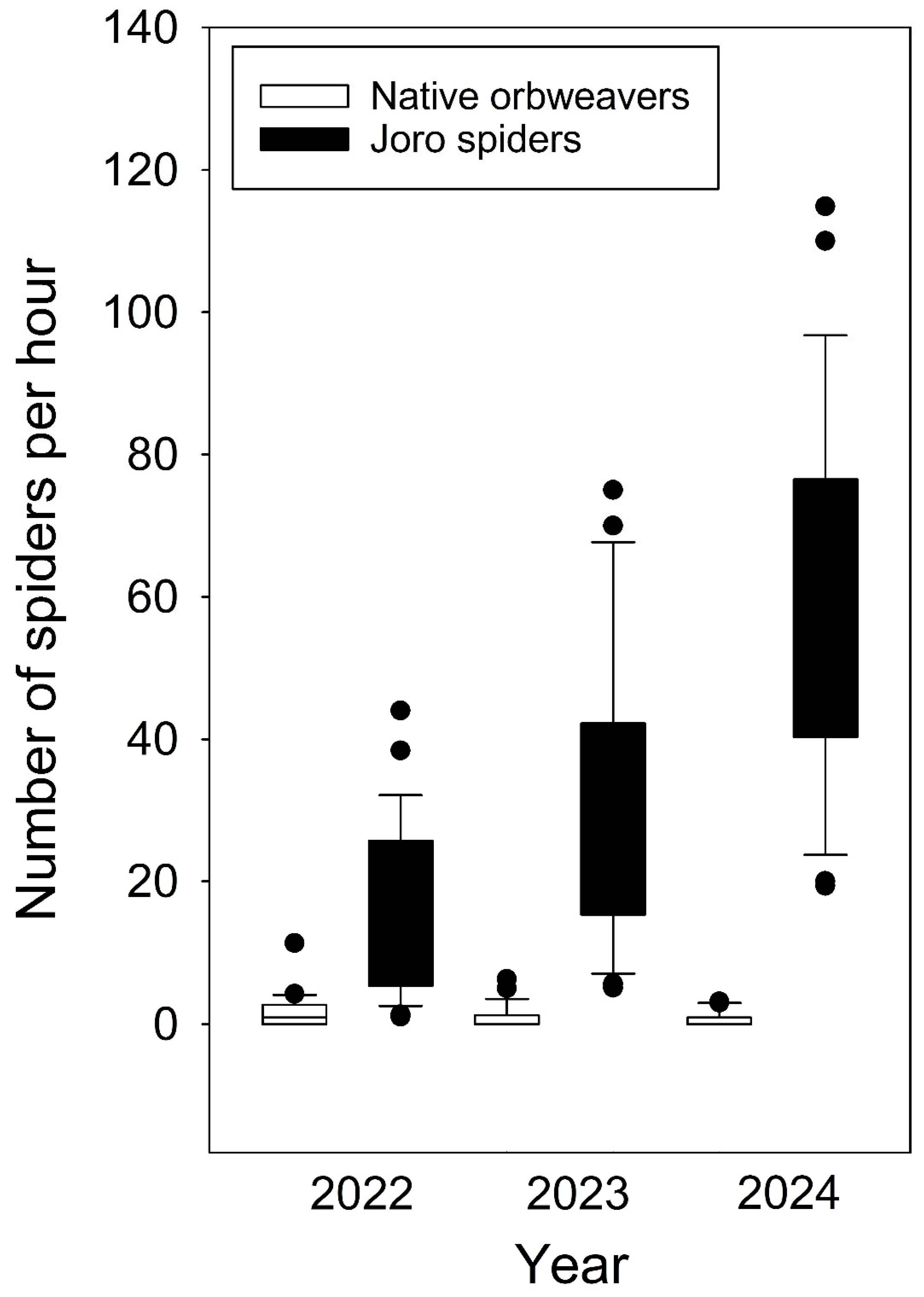
3. Results
3.1. Jorō Spider Presence and Abundance
3.2. Native Orbweaver Presence and Abundance
3.3. Jorō Spider Versus Native Orbweaver Abundance
4. Discussion
4.1. The Findings
4.2. Finding Compared to the Prior Study
4.3. Potential Impacts of the Jorō Spider
4.3.1. On Native Orbweavers
4.3.2. On Native Insects
4.4. Documented Impacts of Other Established Non-Native Spiders on Native Spiders and Insects
4.5. Jorō Spider Natural Enemies
Supplementary Materials
Funding
Data Availability Statement
Acknowledgments
Conflicts of Interest
References
- Van Jarrsveld, A. Millennium Ecosystem Assessment Ecosystems and Human Well-Being: Biodiversity Synthesis; World Resources Institute: Washington, DC, USA, 2005. [Google Scholar]
- Mollot, G.; Pantel, J.H.; Romanuk, T.N. The effects of invasive species on the decline in species richness: A global meta-analysis. Adv. Ecol. Res. 2017, 56, 61–83. [Google Scholar]
- Pyšek, P.; Richardson, D.M. Invasive species, environmental change and management, and health. Annu. Rev. Environ. Resour. 2010, 35, 25–55. [Google Scholar] [CrossRef]
- Pyšek, P.; Hulme, P.E.; Simberloff, D.; Bacher, S.; Blackburn, T.M.; Carlton, J.T.; Richardson, D.M. Scientists’ warning on invasive aliens species. Biol. Rev. 2020, 95, 1511–1534. [Google Scholar] [CrossRef]
- Hulme, P. Handbook of Alien Species in Europe; Springer: Dordrecht, Germany, 2009. [Google Scholar]
- Nentwig, W. Introduction, establishment rate, pathways and impact of spiders alien to Europe. Biol. Invas. 2015, 17, 2757–2778. [Google Scholar] [CrossRef]
- Liu, D.; Semenchuk, P.; Essl, F.; Lenzner, B.; Moser, D.; Blackburn, T.M.; Dullinger, S. The impact of land use on non-native species incidence and number in local assemblages worldwide. Nat. Commun. 2023, 14, 2090. [Google Scholar] [CrossRef]
- Brockerhoff, E.G.; Liebhold, A.M. Ecology of forest insect invasions. Biol. Invasions 2017, 19, 3141–3159. [Google Scholar] [CrossRef]
- Forster, L.M. The Australian redback spider (Latrodectus hasselti): Its introduction and potential for establishment and distribution in New Zealand. In Commerce and the Spread of Pests and Disease Vectors; Laird, M., Ed.; Praeger: New York, NY, USA, 1984; pp. 278–289. [Google Scholar]
- Kobelt, M.; Nentwig, W. Alien spider introductions to Europe supported by global trade. Divers. Distrib. 2008, 14, 273–280. [Google Scholar] [CrossRef]
- Nedvěd, O.; Pekár, S.; Bezděčka, P.; Líznarová, E.; Řezáč, M.; Schmitt, M.; Sentenská, L. Ecology of Arachnida alien to Europe. BioControl 2011, 56, 539–550. [Google Scholar] [CrossRef]
- Hoebeke, E.R.; Huffmaster, W.; Freeman, B.J. Nephila clavata L. Koch, the Jorō Spider of East Asia, newly recorded from North America (Araneae: Nephilidae). PeerJ 2015, 3, e763. [Google Scholar] [CrossRef]
- Chuang, A.; Deitsch, J.F.; Nelsen, D.R.; Sitvarin, M.I.; Coyle, D. The Jorō spider (Trichonephila clavata) in the southeastern U.S.: An opportunity for research and a call for reasonable journalism. Biol. Invasions 2023, 25, 17–26. [Google Scholar] [CrossRef]
- Nelsen, D.R.; Corbit, A.G.; Chuang, A.; Deitsch, J.F.; Sitvarin, M.I.; Coyle, D.R. Veni, vidi, vici? Future spread and ecological impacts of a rapidly expanding invasive predator population. Ecol. Evol. 2023, 13, e10728. [Google Scholar] [CrossRef]
- INaturalist. Available online: https://www.inaturalist.org/observations (accessed on 14 December 2024).
- Davis, A.K.; Frick, B.L. Physiological evaluation of newly invasive Jorō spiders (Trichonephila clavata) in the southeastern USA compared to their naturalized cousin, Trichonephila clavipes. Physiol. Entomol. 2022, 47, 170–175. [Google Scholar] [CrossRef]
- Giulian, J.; Jones, T.C.; Moore, D. Assessing the potential invasive range of Trichonephila clavata using species distribution models. J. Asia-Pac. Biodivers. 2024, 17, 490–496. [Google Scholar] [CrossRef]
- Liebhold, A.M.; Tobin, P.C. Population ecology of insect invasions and their management. Annu. Rev. Entomol. 2008, 53, 387–408. [Google Scholar] [CrossRef]
- Grabarczyk, E.E.; Querejeta, M.; Tillman, P.G.; Wallace, R.D.; Barnes, B.F.; Meinecke, C.D.; Villari, C.; Gandhi, K.J.K.; LaForest, J.; Elliott, M.; et al. DNA metabarcoding analysis of three material types to reveal Jorō spider (Trichonephila clavata) trophic interactions and web capture. Front. Ecol. Evol. 2023, 11, 1177446. [Google Scholar] [CrossRef]
- Grabarczyk, E.E.; Tillman, P.G.; Querejeta, M.; Schmidt, J.M. Honey, What’s for dinner? Dietary overlap and size dimorphism between female and male Joro Spiders (Trichonephila clavata). Integr. Zool. 2025. [Google Scholar] [CrossRef] [PubMed]
- Davis, A.K.; Stewart, K.; Phelan, C.; Schultz, A. How urban-tolerant are they? Testing prey–capture behavior of introduced Jorō spiders (Trichonephila clavata) next to busy roads. Arthropoda 2024, 2, 55–65. [Google Scholar] [CrossRef]
- iNaturalist. Available online: https://www.inaturalist.org/observations (accessed on 3 March 2025).
- Lubin, Y.D. Seasonal abundance and diversity of web-building spiders in relation to habitat structure on Barro Colorado Island, Panama. J. Arachnol. 1978, 6, 31–51. [Google Scholar]
- Miyashita, T. Feeding rate may affect dispersal in the orb-web spider Nephila clavata. Oecologia 1992, 92, 339–342. [Google Scholar] [CrossRef]
- Bradley, R.A. Common Spiders of North America; University of California Press: Berkeley, CA, USA, 2013. [Google Scholar]
- Rose, S. Spiders of North America; Princeton University Press: Princeton, NJ, USA, 2022. [Google Scholar]
- SAS/STAT 9. 4, Users Guide; SAS Institute, Inc.: Gary, NC, USA, 2004. [Google Scholar]
- Pemberton, R.W. Cardinal predation of the invasive Jorō Spider Trichonephila clavata (Araneae: Nephilidae) in Georgia. Fla. Entomol. 2025, 108, 20240068. [Google Scholar] [CrossRef]
- Xavier, G.M.; Quero, A.; Moura, R.; Curti, C.V.; Meira, F.A.; Gonzaga, M. Influence of web traits, height, and daily periods of exposition on prey captured by orb-weaver spiders. Behav. Process. 2021, 193, 104536. [Google Scholar] [CrossRef]
- Horton, C.C.; Wise, D.H. The experimental analysis of competition between two syntopic species of orb-web spiders (Araneae: Araneidae). Ecology 1983, 64, 929–944. [Google Scholar] [CrossRef]
- Richardson, M.L.; Hanks, L.M. Partitioning of niches among four species of orb-weaving spiders in a grassland habitat. Environ. Entomol. 2009, 38, 651–656. [Google Scholar] [CrossRef] [PubMed]
- Novak, T.; Kuntner, M.; Amett, A.E.; Delakorda, S.L.; Perc, M.; Janžekovič, F. Niche partitioning in orbweaving spiders Meta menardi and Metellina merianae (Tetragnathidae). Acta Oecol. 2010, 36, 522–529. [Google Scholar] [CrossRef]
- Davis, A.K.; Morris, W.T.; Hobbs, E.; Blakely, E. Do invasive Jorō spiders (Trichonephila clavata) from Asia avoid eating unpalatable Monarch butterflies (Danaus plexippus) in North America? Insects 2024, 15, 309. [Google Scholar] [CrossRef]
- Jakob, E.M.; Porter, A.H.; Ginsberg, H.; Bednarski, J.V.; Houser, J. A 4-year study of invasive and native spider populations in Maine. Can. J. Zool. 2011, 89, 668–677. [Google Scholar] [CrossRef]
- Houser, J.D.; Ginsberg, H.; Jakob, E.M. Competition between introduced and native spiders (Araneae: Linyphiidae). Biol. Invasions 2014, 16, 2479–2488. [Google Scholar] [CrossRef]
- Bednarski, J.; Ginsberg, H.; Jakob, E.M. Competitive interactions between a native spider (Frontinella communis, Araneae: Linyphiidae) and an invasive spider (Linyphia triangularis, Araneae: Linyphiidae). Biol. Invasions 2010, 12, 905–912. [Google Scholar] [CrossRef]
- Scott, C.E.; McCann, S. They mostly come at night: Predation on sleeping insects by introduced candy-striped spiders in North America. Ecology 2023, 104, e4025. [Google Scholar] [CrossRef]
- Bryan, S.A.; van Heezik, Y.; Vink, C.J.; Seddon, P.J.; Phillips, C.B.; Barratt, B.I.P. Invasive redback spiders (Latrodectus hasseltii) threaten an endangered, endemic New Zealand beetle (Prodontria lewisii). J. Insect Conserv. 2015, 19, 1021–1027. [Google Scholar] [CrossRef]
- Wagner, D. Insect declines in the Anthropocene. Annu. Rev. Entomol. 2020, 65, 457–480. [Google Scholar] [CrossRef] [PubMed]
- Liu, H.; Stiling, P. Testing the enemy release hypothesis: A review and meta-analysis. Biol. Invasions 2006, 8, 1535–1545. [Google Scholar] [CrossRef]
- Mowery, M.A.; Arabesky, V.; Lubin, Y.; Segoli, M. Differential parasitism of native and invasive widow spider egg sacs. Behav. Ecol. 2022, 33, 565–572. [Google Scholar] [CrossRef]
- Higgins, L.E. Time budget and prey of Nephila clavipes (Linnaeus) (Araneae, Araneidae) in southern Texas. J. Arachnol. 1987, 15, 401–417. [Google Scholar]
- Takasuka, K. The northernmost record of Eriostethus rufus (Uchida, 1932) (Hymenoptera, Ichneumonidae) with an indication of new host, Trichonephila clavata (Koch, 1878) (Araneae, Araneidae) and its web manipulation. Entomol. Commun. 2021, 3, ec03015. [Google Scholar] [CrossRef]
- Schronce, A.; Davis, A.K. Novel observation: Northern cardinal (Cardinalis cardinalis) perches on an invasive Jorō spider (Trichonephila clavata) web and steals food. Insects 2022, 13, 1049. [Google Scholar] [CrossRef]
- Horton, C.C. Predators of two orb-web spiders (Araneae, Araneidae). J. Arachnol. 1982, 11, 447–449. [Google Scholar]
- Jones, G.A.; Sieving, K.E.; Jacobson, S.K. Avian Diversity and Functional Insectivory on North-Central Florida Farmlands. Conserv. Biol. 2005, 19, 1234–1245. [Google Scholar] [CrossRef]
- Lester, P.J.; Gruber, M.A.M. Booms, busts and population collapses in invasive ants. Biol. Invasions 2004, 18, 3091–3310. [Google Scholar] [CrossRef]
- Simberloff, D.; Gibbons, L. Now you see them, now you don’t!—Population crashes of established introduced species. Biol. Invasions 2004, 6, 161–172. [Google Scholar] [CrossRef]
- Van Driesche, R.G.; Carruthers, R.I.; Center, T.; Hoddle, M.S.; Hough-Goldstein, J.; Morin, L.; Smith, L.; Wagner, D.L.; Blossey, B.; Brancatini, V.; et al. Classical biological control for the protection of natural ecosystems. Biol. Control 2010, 54, 2–33. [Google Scholar] [CrossRef]



| . | 2022 | 2023 | 2024 | |||||||||||||||
|---|---|---|---|---|---|---|---|---|---|---|---|---|---|---|---|---|---|---|
| D = Dekalb, F = Fulton, | Date | Time | Jorō | Native | Jorō | Native OW 1 | Date | Time | Jorō | Native | Jorō | Native OW 1 | Date | Time | Jorō | Native | Jorō | Native OW 1 |
| G = Gwinnett | OW 1 | per hour | per hour | OW 1 | per hour | per hour | OW 1 | per hour | per hour | |||||||||
| Residence (D) | 25-September | 50 | 32 | 2 | 38.4 | 2.4 | 25-September | 60 | 25 | 1 | 25 | 1 | 24-September | 60 | 84 | 1 | 84 | 1 |
| Parkland (D) | 23-September | 60 | 44 | 1 | 44 | 1 | 25-September | 68 | 75 | 0 | 66 | 0 | 25-September | 70 | 134 | 1 | 114.85 | 0.86 |
| Deepdene (D) | 24-September | 60 | 11 | 4 | 11 | 4 | 25-September | 60 | 15 | 5 | 15 | 5 | 25-September | 60 | 76 | 3 | 76 | 3 |
| Legacy (D) | 25-September | 45 | 1 | 0 | 1.33 | 0 | 26-September | 53 | 5 | 0 | 5.66 | 0 | 25-September | 64 | 38 | 0 | 35.62 | 0 |
| Daniel Johnson (D) | 26-September | 85 | 18 | 6 | 12.7 | 4.3 | 27-September | 89 | 12 | 2 | 8.09 | 1.35 | 29-September | 95 | 53 | 5 | 33.47 | 3.15 |
| Lullwater Garden (D) | 26-September | 60 | 17 | 3 | 17 | 3 | 28-September | 60 | 42 | 1 | 42 | 1 | 27-September | 60 | 110 | 0 | 110 | 0 |
| Frazer Forest (D) | 26-September | 35 | 15 | 2 | 25.71 | 3.43 | 27-September | 47 | 18 | 2 | 22.97 | 2.55 | 27-September | 47 | 62 | 0 | 79.14 | 0 |
| Kirkwood Forest (D) | 27-September | 95 | 43 | 18 | 27.15 | 11.37 | 29-September | 95 | 37 | 10 | 23.36 | 6.31 | 30-September | 101 | 148 | 5 | 87.9. | 3 |
| Panola (D) | 14-October | 60 | 4 | 4 | 4 | 4 | 15-October | 60 | 10 | 2 | 10 | 2 | 14-October | 60 | 48 | 1 | 48 | 1 |
| Woodland (D) | 14-October | 68 | 16 | 0 | 14.11 | 0 | 15-October | 65 | 30 | 0 | 27.69 | 0 | 14-October | 60 | 63 | 0 | 63 | 0 |
| Little Mulberry (G) | 15-October | 110 | 27 | 1 | 14.72 | 0.545 | 14-October | 123 | 38 | 0 | 18.53 | 0 | 15-October | 120 | 40 | 0 | 20 | 0 |
| WD Thompson (D) | 16-October | 120 | 18 | 1 | 9 | 0.5 | 16-October | 120 | 51 | 0 | 25.5 | 0 | 18-October | 120 | 110 | 0 | 55 | 0 |
| Lullwater Emory (D) | 16-October | 100 | 8 | 1 | 4.8 | 0.6 | 17-October | 100 | 38 | 0 | 22.8 | 0 | 16-October | 60 | 69 | 1 | 69 | 1 |
| Chattahoochee (F) | 17-October | 60 | 24 | 2 | 24 | 2 | 18-October | 60 | 75 | 0 | 75 | 0 | 17-October | 60 | 71 | 0 | 71 | 0 |
| Clyde Shepard (D) | 18-October | 60 | 17 | 1 | 17 | 1 | 19-October | 60 | 70 | 0 | 70 | 0 | 18-October | 80 | 63 | 0 | 47.3 | 0 |
| Mason Mill (D) | 22-October | 102 | 19 | 0 | 11.17 | 0 | 22-October | 85 | 45 | 0 | 31.76 | 0 | 22-October | 88 | 93 | 0 | 63.4 | 0 |
| Ira Melton (D) | 23-October | 60 | 19 | 2 | 19 | 2 | 23-October | 50 | 42 | 0 | 50.4 | 0 | 23-October | 52 | 59 | 0 | 68.1 | 0 |
| Constitution Lakes (D) | 23-October | 72 | 7 | 1 | 5.83 | 0.83 | 24-October | 72 | 42 | 0 | 35 | 0 | 23-October | 82 | 85 | 1 | 62.19 | 0.73 |
| Dearborn (D) | 24-October | 65 | 19 | 1 | 17.54 | 0.92 | 24-October | 75 | 53 | 1 | 42.4 | 0.8 | 24-October | 74 | 95 | 0 | 77.02 | 0 |
| Blue Heron (F) | 26-October | 75 | 35 | 1 | 28 | 0.8 | 26-October | 80 | 38 | 6 | 28.5 | 2.5 | 25-October | 96 | 73 | 0 | 45.62 | 0 |
| Zonolite (D) | 27-October | 71 | 4 | 0 | 3.3 | 0 | 27-October | 71 | 6 | 1 | 5.07 | 0.84 | 26-October | 64 | 28 | 0 | 26.3 | 0 |
| Mary Scott (D) | 27-October | 36 | 3 | 0 | 5 | 0 | 27-October | 38 | 10 | 0 | 15.79 | 0 | 26-October | 36 | 17 | 0 | 28.33 | 0 |
| Morningside (F) | 28-October | 60 | 1 | 0 | 1 | 0 | 28-October | 60 | 10 | 0 | 10 | 0 | 29-October | 62 | 20 | 0 | 19.4 | 0 |
| Glen Creek (D) | 28-October | 49 | 21 | 1 | 25.71 | 1.22 | 28-October | 53 | 35 | 1 | 39.62 | 1.13 | 30-October | 43 | 35 | 0 | 48.83 | 0 |
| Hidden Cove (D) | 29-October | 47 | 21 | 0 | 26.81 | 0 | 29-October | 47 | 37 | 0 | 47.23 | 0 | 29-October | 52 | 39 | 0 | 45 | 0 |
| Totals | 1705 | 444 | 52 | 408.38 | 43.92 | 1751 | 859 | 32 | 763.57 | 26.48 | 1766 | 1713 | 18 | 1478.47 | 13.74 | |||
| Average | 68.2 | 17.8/site | 1.96/site | 16.34/h | 1.76/h | 70.04 | 34.36/site | 1.28/site | 30.54/h | 1.06/h | 70.02 | 68.52/site | 0.72/site | 59.14/h | 0.55/h | |||
| Mean | 68.2 | 17.76 | 2.08 | 16.34/h | 1.72 | 70.04 | 34.36 | 1.16 | 30.54/h | 1.06/h | 70.64 | 68.52 | 0.72 | 61.23 | 0.56 | |||
| SD | 22.4 | 11.91 | 3.64 | 11.44 | 2.44 | 21.74 | 20.65 | 2.21 | 19.70 | 1.76 | 25.51 | 33.66 | 1.46 | 26.22 | 1.01 |
| 2022 | 2023 | 2024 | |
|---|---|---|---|
| 1. Trichonephila clavata (Jorō spider) (11–32 mm 1), diurnal and nocturnal 1 | 444 at 25 sites | 859 at 25 sites | 1752 at 25 sites |
| 2. Trichonephila clavipes (Golden silk orbweaver) (19–34 mm), diurnal and nocturnal | 4 at 3 sites | None | None |
| 3. Araneus marmoreus (Marbled orbweaver) (9–18 mm), nocturnal | 1 at 1 site | 10 at 5 sites | 3 at 3 sites |
| 4. Gasteracantha cancriformis (Spinybacked orbweaver) (5.8–8.6 mm), diurnal | 19 at 5 sites | 11 at 3 sites | 3 at 1 site |
| 5. Neoscona crucifera (Cross orbweaver) (8.5–19.7 mm), nocturnal | 9 at 6 sites | 2 at 2 sites | 1 at 1 site |
| 6. Micrathena gracilis (Spined micrathena) (7–11 mm), diurnal | None | 1/1 site | 2 at 1 site |
| 7. Verrucosa arenata (Triangulate orbweaver) (5–9.5 mm), nocturnal | 5 at 3 sites | 8 at 5 sites | 2 at 2 sites |
| Total number of individuals | 52 | 32 | 18 |
| Number of sites | 18 | 11 | 8 |
| Number of species | 6 | 6 | 6 |
Disclaimer/Publisher’s Note: The statements, opinions and data contained in all publications are solely those of the individual author(s) and contributor(s) and not of MDPI and/or the editor(s). MDPI and/or the editor(s) disclaim responsibility for any injury to people or property resulting from any ideas, methods, instructions or products referred to in the content. |
© 2025 by the author. Licensee MDPI, Basel, Switzerland. This article is an open access article distributed under the terms and conditions of the Creative Commons Attribution (CC BY) license (https://creativecommons.org/licenses/by/4.0/).
Share and Cite
Pemberton, R.W. Explosive Growth of the Jorō Spider (Trichonephila clavata (L. Koch): Araneae: Araneidae) and Concurrent Decline of Native Orbweaving Spiders in Atlanta, Georgia Forests at the Forefront of the Jorō Spider’s Invasive Spread. Insects 2025, 16, 443. https://doi.org/10.3390/insects16050443
Pemberton RW. Explosive Growth of the Jorō Spider (Trichonephila clavata (L. Koch): Araneae: Araneidae) and Concurrent Decline of Native Orbweaving Spiders in Atlanta, Georgia Forests at the Forefront of the Jorō Spider’s Invasive Spread. Insects. 2025; 16(5):443. https://doi.org/10.3390/insects16050443
Chicago/Turabian StylePemberton, Robert W. 2025. "Explosive Growth of the Jorō Spider (Trichonephila clavata (L. Koch): Araneae: Araneidae) and Concurrent Decline of Native Orbweaving Spiders in Atlanta, Georgia Forests at the Forefront of the Jorō Spider’s Invasive Spread" Insects 16, no. 5: 443. https://doi.org/10.3390/insects16050443
APA StylePemberton, R. W. (2025). Explosive Growth of the Jorō Spider (Trichonephila clavata (L. Koch): Araneae: Araneidae) and Concurrent Decline of Native Orbweaving Spiders in Atlanta, Georgia Forests at the Forefront of the Jorō Spider’s Invasive Spread. Insects, 16(5), 443. https://doi.org/10.3390/insects16050443
