Repellency of Silver-Gray Plastic Film on Megalurothrips usitatus (Thysanoptera: Thripidae) in Cowpea (Vigna ungiculata)
Simple Summary
Abstract
1. Introduction
2. Materials and Methods
2.1. Repellency Efficiency of Silver-Gray Plastic Film on M. usitatus
2.2. Insect
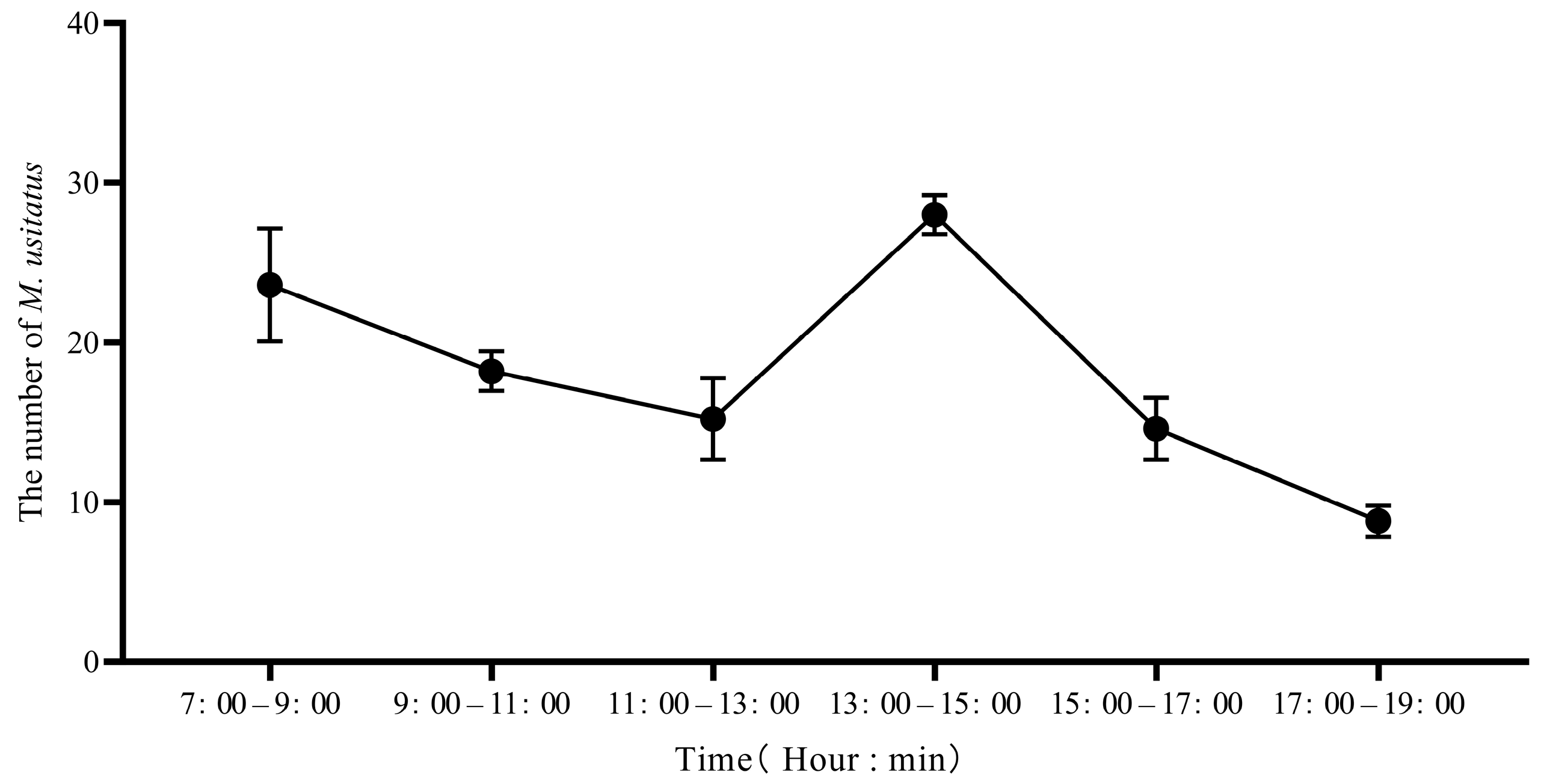
2.3. Investigation of the Daily Occurrence of Thrips
2.4. Field Trials
3. Results
3.1. Repellency Efficacy of Silver-Gray Plastic Film Against Megalurothrips usitatus
3.2. Daily Occurrence of Thrips
3.3. Field Trials
4. Discussion
Author Contributions
Funding
Data Availability Statement
Acknowledgments
Conflicts of Interest
References
- Cannon, R.J.C.; Matthews, L.; Collins, D.W.; Agallou, E.; Bartlett, P.W.; Walyers, K.F.A.; Macleod, A.; Slawson, D.D.; Gaunt, A. Eradication of an invasive alien pest, Thrips palmi. Crop Prot. 2007, 26, 1303–1314. [Google Scholar] [CrossRef]
- Diaz-Montano, J.; Fuchs, M.; Nault, B.A.; Fail, J.; Shelton, A.M. Onion thrips (Thysanoptera: Thripidae): A global pest of increasing concern in onion. J. Econ. Entomol. 2011, 104, 1–13. [Google Scholar] [CrossRef]
- Mouden, S.; Sarmiento, K.F.; Klinkhamer, P.G.; Leiss, K.A. Integrated pest management in western flower thrips: Past, present and future. Pest Manag. Sci. 2017, 73, 813–822. [Google Scholar] [CrossRef] [PubMed]
- Cloyd, R.A. Western flower thrips (Frankliniella occidentalis) management on ornamental crops grown in greenhouses: Have we reached an impasse? Pest Technol. 2009, 3, 1–9. [Google Scholar]
- Stuart, R.R.; Gao, Y.L.; Lei, Z.R. Thrips: Pests of concern to China and the United States. Agric. Sci. China 2011, 10, 867–892. [Google Scholar] [CrossRef]
- Tang, L.D.; Han, Y.; Wu, J.H.; Li, P.; Fu, B.L.; Qiu, H.Y.; Liu, K. Preference of Megalurothrips usitatus (Thysanoptera: Thripidae) to different colors and light-waves in lab. Plant Prot. 2015, 41, 169–172. [Google Scholar]
- Liu, P.P.; Qin, Z.F.; Feng, M.Y.; Zhang, L.; Shi, W.P. The male-produced aggregation pheromone of the bean flower thrips Megalurothrips usitatus in China: Identification and attraction of conspecifics in the laboratory and field. Pest Manag. Sci. 2020, 76, 2986–2993. [Google Scholar] [CrossRef]
- Tang, Q.H.; Li, W.L.; Wang, J.P.; Li, X.J.; Li, D.; Cao, Z.; Huang, Q.; Li, J.L.; Zhang, J.; Wang, Z.W.; et al. Effects of spinetoram and glyphosate on physiological biomarkers and gut microbes in Bombus terrestris. Front. Physiol. 2022, 13, 1054742. [Google Scholar] [CrossRef]
- Jensen, S.E. Insecticide resistance in the western flower thrips Frankliniella occidentalis. Integr. Pest Manag. Rev. 2000, 5, 131–146. [Google Scholar] [CrossRef]
- Reitz, S.R.; Gao, Y.; Kirk, W.D.J.; Hoddle, M.S.; Leiss, K.A.; Funderburk, J.E. Invasion biology, ecology, and management of western flower thrips. Annu. Rev. Entomol. 2019, 65, 17–37. [Google Scholar] [CrossRef]
- Akoto, O.; Andoh, H.; Darko, G.; Eshun, K.; Osei-Fosu, P. Health risk assessment of pesticides residue in maize and cowpea from Ejura, Ghana. Chemosphere 2013, 92, 67–73. [Google Scholar] [CrossRef] [PubMed]
- Abtew, A.; Niassy, S.; Affognon, H.; Subramanian, S.; Kreiter, S.; Garzia, G.T.; Martin, T. Farmers’ knowledge and perception of grain legume pests and their management in the eastern province of Kenya. Crop Prot. 2016, 87, 90–97. [Google Scholar] [CrossRef]
- Wang, Z.H.; Gong, Y.J.; Jin, G.H.; Li, B.Y.; Chen, J.C.; Kang, Z.J.; Zhu, L.; Gao, Y.L.; Reitz, S.; Wei, S.J. Field-evolved resistance to insecticides in the invasive western flower thrips Frankliniella occidentalis (Pergande) (Thysanoptera: Thripidae) in China. Pest Manag. Sci. 2016, 72, 1440–1444. [Google Scholar] [CrossRef]
- Kirk, W.D.J. The aggregation pheromones of thrips (Thysanoptera) and their potential for pest management. Int. J. Trop. Insect Sci. 2017, 37, 41–49. [Google Scholar] [CrossRef]
- Han, Z.J. General Theory of Plant Protection; Higher Education Publishing: Beijing, China, 2012; pp. 201–203. [Google Scholar]
- Sang, W.; Gao, Q.; Zhang, C.; Huang, Q.Y.; Lei, C.L.; Wang, X.P. Researches and applications of physical control of agricultural insect pests in China. J. Plant Prot. 2022, 49, 173–183. [Google Scholar] [CrossRef]
- Kasirajan, S.; Ngouajio, M. Polyethylene and biodegradable mulches for agricultural applications: A review. Agron. Sustain. Dev. 2012, 32, 501–529. [Google Scholar] [CrossRef]
- Steinmetz, Z.; Claudia, W.; Miriam, S.; Christian, B.; Jan, D.; Josephine, T.; Katherine, M.; Oliver, F.; Gabriele, E.S. Plastic mulching in agriculture. Trading short-term agronomic benefits for long-term soil degradation? Sci. Total Environ. 2016, 550, 690–705. [Google Scholar] [CrossRef]
- Quesada, P.C.P.; Schausberger, P. Prenatal Chemosensory Learning by the Predatory Mite Neoseiulus californicus. PLoS ONE 2012, 7, e53229. [Google Scholar] [CrossRef]
- Shibuya, K.; Onodera, S.; Hori, M. Toxic wavelength of blue light changes as insects grow. PLoS ONE 2018, 13, e0199266. [Google Scholar] [CrossRef]
- Kim, K.N.; Huang, Q.Y.; Lei, C.L. Advances in insect phototaxis and application to pest management: A review. Pest Manag. Sci. 2019, 75, 3135–3143. [Google Scholar] [CrossRef]
- Wang, C.Y.; Qiu, Y.X.; Li, Z.P.; Zhao, H.P.; Wang, Y.; Xue, M. Effect of different color plastic film on occurrence of Bradysia Odoriphaga in garlic field. North. Hortic. 2021, 7, 14–19. [Google Scholar]
- Li, Z.P. Effects of Colored Film Mulching on the Occurrence to Two Species Tetranychus and Peanut Growth. Master’s Thesis, Shan Dong Agricultural University, Taian, China, 2020. [Google Scholar]
- Greer, L.; Dole, J.M. Aluminum foil, aluminium-painted, plastic, and degradable mulches increase yields and decrease insect-vectored viral diseases of vegetables. Horttechnology 2003, 13, 276–284. [Google Scholar] [CrossRef]
- Sang, W.; Huang, Q.Y.; Wang, X.P.; Guo, S.H.; Lei, C.L. Progress in research on insect phototaxis and future prospects for pest light-trap technology in China. Chin. J. Appl. Entomol. 2019, 56, 907–916. [Google Scholar] [CrossRef]
- Jin, H.F.; Lu, R.C.; Gong, X.Y.; Li, F.; Yang, L.; Wu, S.Y. Effects of different wavelengths of light on growth and development of Asian bean thrips Megalurothrips usitatus. J. Plant Prot. 2022, 49, 1809–1810. [Google Scholar] [CrossRef]
- Camara, I.; Cao, K.L.; Sangbaramou, R.; Wu, P.; Shi, W.P.; Tan, S.Q. Screening of Beauveria bassiana (Bals.) (Hypocreales: Cordycipitaceae) strains against Megalurothrips usitatus (Bagnall) (Thysanoptera: Thripidae) and conditions for large-scale production. Egypt. J. Biol. Pest Control. 2022, 32, 1–8. [Google Scholar] [CrossRef]
- Chi, Y.M.; Yu, C.; Feng, M.Y.; Shu, K.; Zhu, Y.L.; Shi, W.P. Effects of field releases of Neoseiulus barkeri on Megalurothrips usitatus abundance and arthropod diversity. Sci. Rep. 2024, 14, 14247. [Google Scholar] [CrossRef]





Disclaimer/Publisher’s Note: The statements, opinions and data contained in all publications are solely those of the individual author(s) and contributor(s) and not of MDPI and/or the editor(s). MDPI and/or the editor(s) disclaim responsibility for any injury to people or property resulting from any ideas, methods, instructions or products referred to in the content. |
© 2025 by the authors. Licensee MDPI, Basel, Switzerland. This article is an open access article distributed under the terms and conditions of the Creative Commons Attribution (CC BY) license (https://creativecommons.org/licenses/by/4.0/).
Share and Cite
Chi, Y.; Zhu, Y.; Nong, N.; Zhao, Z.; Feng, M.; Cui, X.; Li, M.; Chen, Y.; Shi, W. Repellency of Silver-Gray Plastic Film on Megalurothrips usitatus (Thysanoptera: Thripidae) in Cowpea (Vigna ungiculata). Insects 2025, 16, 1069. https://doi.org/10.3390/insects16101069
Chi Y, Zhu Y, Nong N, Zhao Z, Feng M, Cui X, Li M, Chen Y, Shi W. Repellency of Silver-Gray Plastic Film on Megalurothrips usitatus (Thysanoptera: Thripidae) in Cowpea (Vigna ungiculata). Insects. 2025; 16(10):1069. https://doi.org/10.3390/insects16101069
Chicago/Turabian StyleChi, Yuanming, Yilin Zhu, Ning Nong, Zihan Zhao, Mingyue Feng, Xueyuan Cui, Maoqing Li, Yanyu Chen, and Wangpeng Shi. 2025. "Repellency of Silver-Gray Plastic Film on Megalurothrips usitatus (Thysanoptera: Thripidae) in Cowpea (Vigna ungiculata)" Insects 16, no. 10: 1069. https://doi.org/10.3390/insects16101069
APA StyleChi, Y., Zhu, Y., Nong, N., Zhao, Z., Feng, M., Cui, X., Li, M., Chen, Y., & Shi, W. (2025). Repellency of Silver-Gray Plastic Film on Megalurothrips usitatus (Thysanoptera: Thripidae) in Cowpea (Vigna ungiculata). Insects, 16(10), 1069. https://doi.org/10.3390/insects16101069

