Monitoring Mosquito Abundance: Comparing an Optical Sensor with a Trapping Method
Abstract
Simple Summary
Abstract
1. Introduction
2. Materials and Methods
2.1. Entomological Bistatic Optical Sensor System (eBoss)
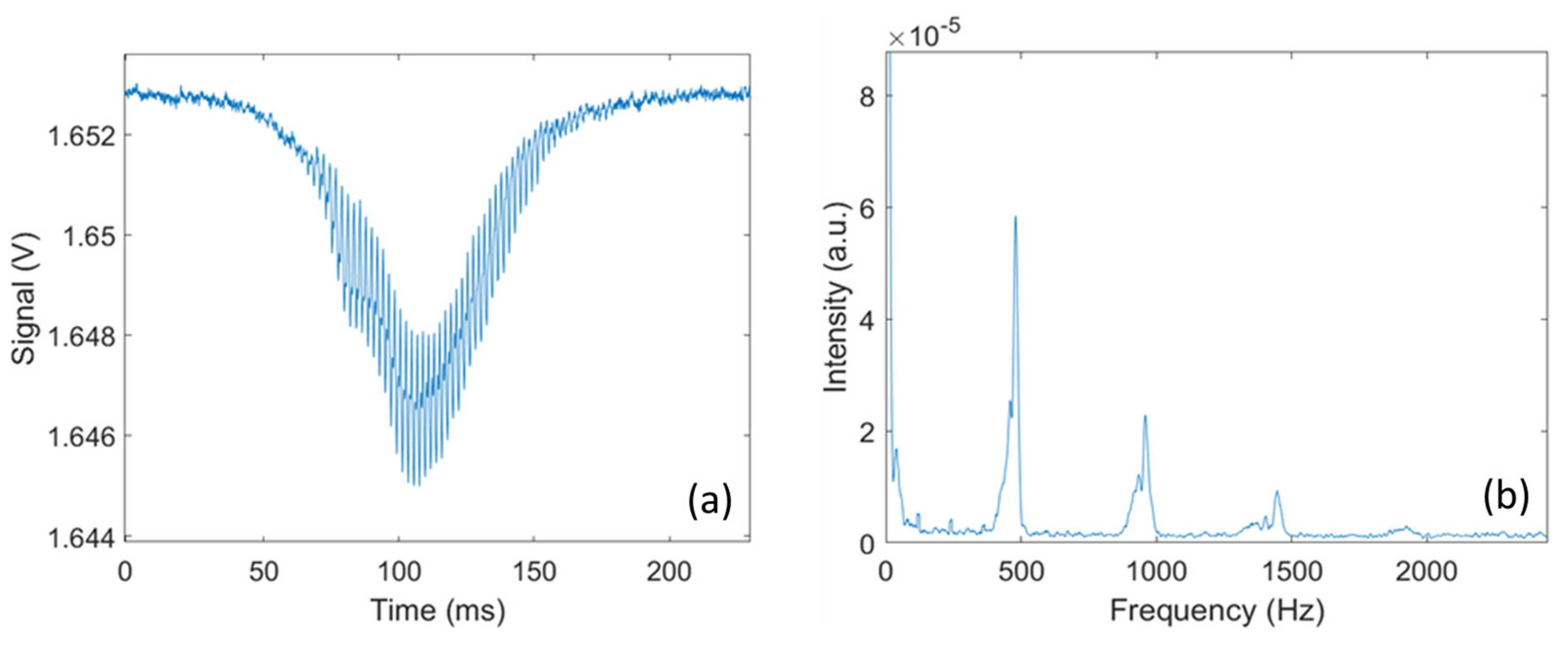
Data Analysis
2.2. Trap Data Collection Method
3. Results
4. Discussion and Conclusions
Author Contributions
Funding
Data Availability Statement
Conflicts of Interest
References
- Genoud, A.P.; Basistyy, R.; Williams, G.M.; Thomas, B.P. Optical Remote Sensing for Monitoring Flying Mosquitoes, Gender Identification and Discussion on Species Identification. Appl. Phys. B Lasers Opt. 2018, 124, 46. [Google Scholar] [CrossRef] [PubMed]
- Genoud, A.P.; Gao, Y.; Williams, G.M.; Thomas, B.P. Identification of Gravid Mosquitoes from Changes in Spectral and Polarimetric Backscatter Cross Sections. J. Biophotonics 2019, 12, e201900123. [Google Scholar] [CrossRef] [PubMed]
- Shaw, J.A.; Seldomridge, N.L.; Dunkle, D.L.; Nugent, P.W.; Spangler, L.H.; Churnside, J.H.; Wilson, J.W.; Bromenshenk, J.J.; Henderson, C.B. Polarization Lidar Measurements of Honeybees for Locating Buried Landmines. Polariz. Sci. Remote Sens. II 2005, 5888, 58880P. [Google Scholar]
- Li, Y.; Wang, K.; Quintero-Torres, R.; Brick, R.; Sokolov, A.V.; Scully, M.O. Insect Flight Velocity Measurement with a CW Near-IR Scheimpflug Lidar System. Opt. Express 2020, 28, 21891. [Google Scholar] [CrossRef] [PubMed]
- Zhu, S.; Malmqvist, E.; Li, W.; Jansson, S.; Li, Y.; Duan, Z.; Svanberg, K.; Feng, H.; Song, Z.; Zhao, G.; et al. Insect Abundance over Chinese Rice Fields in Relation to Environmental Parameters, Studied with a Polarization-Sensitive CW near-IR Lidar System. Appl. Phys. B Lasers Opt. 2017, 123, 211. [Google Scholar] [CrossRef]
- National Oceanic and Atmospheric Administration (NOAA) Coastal Services Center. Lidar 101: An Introduction to Lidar Technology, Data, and Applications; NOAA Coastal Services Center: North Charleston, SC, USA, 2012; p. 76. [Google Scholar]
- Genoud, A.P.; Torsiello, J.; Belson, M.; Thomas, B.P. Entomological Photonic Sensors: Estimating Insect Population Density, Its Uncertainty and Temporal Resolution from Transit Data. Ecol. Inform. 2021, 61, 101186. [Google Scholar] [CrossRef]
- Brydegaard, M.; Guan, Z.; Wellenreuther, M.; Svanberg, S. Insect Monitoring with Fluorescence Lidar Techniques: Feasibility Study. Appl. Opt. 2009, 48, 5668–5677. [Google Scholar] [CrossRef] [PubMed]
- Brydegaard, M.; Svanberg, S. Photonic Monitoring of Atmospheric and Aquatic Fauna. Laser Photonics Rev. 2018, 12, 1800135. [Google Scholar] [CrossRef]
- Kirkeby, C.; Wellenreuther, M.; Brydegaard, M. Observations of Movement Dynamics of Flying Insects Using High Resolution Lidar. Sci. Rep. 2016, 6, 29083. [Google Scholar] [CrossRef]
- Kirkeby, C.; Rydhmer, K.; Cook, S.M.; Strand, A.; Torrance, M.T.; Swain, J.L.; Prangsma, J.; Johnen, A.; Jensen, M.; Brydegaard, M.; et al. Advances in Automatic Identification of Flying Insects Using Optical Sensors and Machine Learning. Sci. Rep. 2021, 11, 1555. [Google Scholar] [CrossRef]
- Vannoy, T.C.; Sweeney, N.B.; Shaw, J.A.; Whitaker, B.M. Comparison of Supervised Learning and Changepoint Detection for Insect Detection in Lidar Data. Remote Sens. 2023, 15, 5634. [Google Scholar] [CrossRef]
- Fristrup, K.M.; Shaw, J.A.; Tauc, M.J. Development of a Wing-Beat-Modulation Scanning Lidar System for Insect Studies. Proc. SPIE 2017, 10406, 94–103. [Google Scholar]
- Rhodes, M.W.; Bennie, J.J.; Spalding, A.; Ffrench-Constant, R.H.; Maclean, I.M.D. Recent Advances in the Remote Sensing of Insects. Biol. Rev. 2022, 97, 343–360. [Google Scholar] [CrossRef] [PubMed]
- Genoud, A.P.; Saha, T.; Williams, G.M.; Thomas, B.P. Insect Biomass Density: Measurement of Seasonal and Daily Variations Using an Entomological Optical Sensor. Appl. Phys. B Lasers Opt. 2023, 129, 26. [Google Scholar] [CrossRef] [PubMed]
- Genoud, A.P.; Williams, G.M.; Thomas, B.P. Continuous Monitoring of Aerial Density and Circadian Rhythms of Flying Insects in a Semi-Urban Environment. PLoS ONE 2021, 16, e0260167. [Google Scholar] [CrossRef] [PubMed]
- Batista, G.E.A.P.A.; Hao, Y.; Keogh, E.; Mafra-Neto, A. Towards Automatic Classification on Flying Insects Using Inexpensive Sensors. In Proceedings of the 2011 10th International Conference on Machine Learning and Applications and Workshops, Honolulu, HI, USA, 18–21 December 2011; Volume 1, pp. 364–369. [Google Scholar]
- Moore, A.; Miller, R.H. Automated Identification of Optically Sensed Aphid (Homoptera: Aphidae) Wingbeat Waveforms. Ann. Entomol. Soc. Am. 2002, 95, 6–8. [Google Scholar] [CrossRef]
- Van Klink, R.; August, T.; Bas, Y.; Bodesheim, P.; Bonn, A.; Fossøy, F.; Høye, T.T.; Jongejans, E.; Menz, M.H.M.; Miraldo, A.; et al. Emerging Technologies Revolutionise Insect Ecology and Monitoring. Trends Ecol. Evol. 2022, 37, 872–885. [Google Scholar] [CrossRef] [PubMed]
- Wang, Y.; Zhao, C.; Dong, D.; Wang, K. Real-Time Monitoring of Insects Based on Laser Remote Sensing. Ecol. Indic. 2023, 151, 110302. [Google Scholar] [CrossRef]
- Rydhmer, K.; Jansson, S.; Still, L.; Beck, B.D.; Chatzaki, V.; Olsen, K.; Van Hoff, B.; Grønne, C.; Meier, J.K.; Montoro, M.; et al. Photonic Sensors Reflect Variation in Insect Abundance and Diversity across Habitats. Ecol. Indic. 2024, 158, 111483. [Google Scholar] [CrossRef]
- Evangelista, I.R.S.; Bandala, A.A.; Concepcion, R.S.; Dadios, E.P. Optical Detection of Winged Insects Utilizing Wireless Sensor Network with Ant Colony Optimizer. In Proceedings of the 2023 8th International Conference on Business and Industrial Research (ICBIR), Bangkok, Thailand, 18–19 May 2023; pp. 632–638. [Google Scholar]
- Naharki, K.; Huebner, C.D.; Park, Y.-L. The Detection of Tree of Heaven (Ailanthus altissima) Using Drones and Optical Sensors: Implications for the Management of Invasive Plants and Insects. Drones 2023, 8, 1. [Google Scholar] [CrossRef]
- Mullen, E.R.; Rutschman, P.; Pegram, N.; Patt, J.M.; Adamczyk, J.J.; Johanson, 3. Laser System for Identification, Tracking, and Control of Flying Insects. Opt. Express 2016, 24, 11828. [Google Scholar] [CrossRef] [PubMed]
- Hu, P.-S.; Chou, C.-C.; Huang, C.-G.; Tu, W.-C.; Wang, H.-Y.; Chan, M.-C. Knocking down Free-Flight Adult Mosquitoes via Dynamic Tracking. OSA Contin. 2019, 2, 2028. [Google Scholar] [CrossRef]
- Rigakis, I.; Potamitis, I.; Tatlas, N.A.; Livadaras, I.; Ntalampiras, S. A Multispectral Backscattered Light Recorder of Insects’ Wingbeats. Electronics 2019, 8, 277. [Google Scholar] [CrossRef]
- Zaidem, A.; Silva, L.; Ferreira, A.; Carvalho, M.; Ragni, M.; Abegão, L.; Pinheiro, P. New Biocompatible Technique Based on the Use of a Laser to Control the Whitefly Bemisia Tabaci. Photonics 2023, 10, 636. [Google Scholar] [CrossRef]
- Voloshin, V.; Kröner, C.; Seniya, C.; Murray, G.P.D.; Guy, A.; Towers, C.E.; McCall, P.J.; Towers, D.P. Diffuse Retro-Reflective Imaging for Improved Video Tracking of Mosquitoes at Human Baited Bednets. R. Soc. Open Sci. 2020, 7, 191951. [Google Scholar] [CrossRef]
- Patt, J.M.; Makagon, A.; Norton, B.; Marvit, M.; Rutschman, P.; Neligeorge, M.; Salesin, J. An Optical System to Detect, Surveil, and Kill Flying Insect Vectors of Human and Crop Pathogens. Sci. Rep. 2024, 14, 8174. [Google Scholar] [CrossRef]
- Parmezan, A.R.S.; Souza, V.M.A.; Žliobaitė, I.; Batista, G.E.A.P.A. Changes in the Wing-Beat Frequency of Bees and Wasps Depending on Environmental Conditions: A Study with Optical Sensors. Apidologie 2021, 52, 731–748. [Google Scholar] [CrossRef]
- Saha, T.; Genoud, A.P.; Williams, G.M.; Thomas, B.P. Monitoring the Abundance of Flying Insects and Atmospheric Conditions during a 9-Month Campaign Using an Entomological Optical Sensor. Sci. Rep. 2023, 13, 15606. [Google Scholar] [CrossRef] [PubMed]
- Saha, T.; Genoud, A.P.; Park, J.H.; Thomas, B.P. Temperature Dependency of Insect’s Wingbeat Frequencies: An Empirical Approach to Temperature Correction. Insects 2024, 15, 342. [Google Scholar] [CrossRef]
- Chatzaki, V.; Montoro, M.; El-Rashid, R.; Jensen, A.B.; Lecocq, A. A New Approach for Detecting Sublethal Effects of Neonicotinoids on Bumblebees Using Optical Sensor Technology. Insects 2023, 14, 713. [Google Scholar] [CrossRef]
- Boyes, D.H.; Evans, D.M.; Fox, R.; Parsons, M.S.; Pocock, M.J.O. Street Lighting Has Detrimental Impacts on Local Insect Populations. Sci. Adv. 2021, 7, eabi8322. [Google Scholar] [CrossRef]
- Welsh, G.T.; Anner, S.C.; Westwood, M.L.; Rockwell, V.; O’Toole, H.; Holiday, M.; Tinghitella, R.M. Consistent Traffic Noise Impacts Few Fitness-Related Traits in a Field Cricket. BMC Ecol. Evol. 2023, 23, 78. [Google Scholar] [CrossRef] [PubMed]
- Miffre, A.; David, G.; Thomas, B.; Chacra, M.A.; Rairoux, P. Interpretation of Accurate UV Polarization Lidar Measurements: Application to Volcanic Ash Number Concentration Retrieval. J. Atmos. Ocean. Technol. 2012, 29, 558–568. [Google Scholar] [CrossRef]
- Basistyy, R.; Genoud, A.; Thomas, B. Backscattering Properties of Topographic Targets in the Visible, Shortwave Infrared, and Mid-Infrared Spectral Ranges for Hard-Target Lidars. Appl. Opt. 2018, 57, 6990. [Google Scholar] [CrossRef] [PubMed]
- Diaz, A.; Thomas, B.; Castillo, P.; Gross, B.; Moshary, F. Active Standoff Detection of CH4 and N2O Leaks Using Hard-Target Backscattered Light Using an Open-Path Quantum Cascade Laser Sensor. Appl. Phys. B Lasers Opt. 2016, 122, 121. [Google Scholar] [CrossRef]
- Thomas, B.; David, G.; Anselmo, C.; Coillet, E.; Rieth, K.; Miffre, A.; Cariou, J.P.; Rairoux, P. Remote Sensing of Methane with Broadband Laser and Optical Correlation Spectroscopy on the Q-Branch of the 2ν3 Band. J. Mol. Spectrosc. 2013, 291, 3–8. [Google Scholar] [CrossRef]
- Mulhern, T.D. New Jersey Mechanical Trap for Mosquito Surveys. 1942. J. Am. Mosq. Control Assoc. 1985, 1, 411–418. [Google Scholar]
- Stojanovich, C.J. Illustrated Key to Common Mosquitoes of Northeastern North America; Library of Congress: Atlanta, GA, USA, 1961. [Google Scholar]
- González-Pérez, M.I.; Faulhaber, B.; Williams, M.; Brosa, J.; Aranda, C.; Pujol, N.; Verdún, M.; Villalonga, P.; Encarnação, J.; Busquets, N.; et al. A Novel Optical Sensor System for the Automatic Classification of Mosquitoes by Genus and Sex with High Levels of Accuracy. Parasites Vectors 2022, 15, 190. [Google Scholar] [CrossRef] [PubMed]
- Kim, D.; DeBriere, T.J.; Cherukumalli, S.; White, G.S.; Burkett-Cadena, N.D. Infrared Light Sensors Permit Rapid Recording of Wingbeat Frequency and Bioacoustic Species Identification of Mosquitoes. Sci. Rep. 2021, 11, 10042. [Google Scholar] [CrossRef]
- Joelianto, E.; Mandasari, M.I.; Marpaung, D.B.; Hafizhan, N.D.; Heryono, T.; Prasetyo, M.E.; Dani; Tjahjani, S.; Anggraeni, T.; Ahmad, I. Convolutional Neural Network-Based Real-Time Mosquito Genus Identification Using Wingbeat Frequency: A Binary and Multiclass Classification Approach. Ecol. Inform. 2024, 80, 102495. [Google Scholar] [CrossRef]
- Arthur, B.J.; Emr, K.S.; Wyttenbach, R.A.; Hoy, R.R. Mosquito (Aedes aegypti) Flight Tones: Frequency, Harmonicity, Spherical Spreading, and Phase Relationships. J. Acoust. Soc. Am. 2014, 135, 933–941. [Google Scholar] [CrossRef] [PubMed]
- Pennetier, C.; Warren, B.; Dabiré, K.R.; Russell, I.J.; Gibson, G. “Singing on the Wing” as a Mechanism for Species Recognition in the Malarial Mosquito Anopheles Gambiae. Curr. Biol. 2010, 20, 131–136. [Google Scholar] [CrossRef] [PubMed]
- Ndoen, E.; Wild, C.; Dale, P.; Sipe, N.; Dale, M. Dusk to Dawn Activity Patterns of Anopheline Mosquitoes in West Timor and Java, Indonesia. Southeast Asian J. Trop. Med. Public Health 2011, 42, 550–561. [Google Scholar] [PubMed]








| Field Data | Laboratory Data | |
|---|---|---|
| Male wingbeat frequency | 524 ± 65 Hz | 534 ± 176 Hz |
| Male wing-to-body ratio | 0.19 ± 0.05 | 0.11 ± 0.08 |
| Female wingbeat frequency | 300 ± 30 Hz | 345 ± 47 Hz |
| Female wing-to-body ratio | 0.27 ± 0.07 | 0.21 ± 0.15 |
Disclaimer/Publisher’s Note: The statements, opinions and data contained in all publications are solely those of the individual author(s) and contributor(s) and not of MDPI and/or the editor(s). MDPI and/or the editor(s) disclaim responsibility for any injury to people or property resulting from any ideas, methods, instructions or products referred to in the content. |
© 2024 by the authors. Licensee MDPI, Basel, Switzerland. This article is an open access article distributed under the terms and conditions of the Creative Commons Attribution (CC BY) license (https://creativecommons.org/licenses/by/4.0/).
Share and Cite
Saha, T.; Genoud, A.P.; Williams, G.M.; Russell, G.J.; Thomas, B.P. Monitoring Mosquito Abundance: Comparing an Optical Sensor with a Trapping Method. Insects 2024, 15, 584. https://doi.org/10.3390/insects15080584
Saha T, Genoud AP, Williams GM, Russell GJ, Thomas BP. Monitoring Mosquito Abundance: Comparing an Optical Sensor with a Trapping Method. Insects. 2024; 15(8):584. https://doi.org/10.3390/insects15080584
Chicago/Turabian StyleSaha, Topu, Adrien P. Genoud, Gregory M. Williams, Gareth J. Russell, and Benjamin P. Thomas. 2024. "Monitoring Mosquito Abundance: Comparing an Optical Sensor with a Trapping Method" Insects 15, no. 8: 584. https://doi.org/10.3390/insects15080584
APA StyleSaha, T., Genoud, A. P., Williams, G. M., Russell, G. J., & Thomas, B. P. (2024). Monitoring Mosquito Abundance: Comparing an Optical Sensor with a Trapping Method. Insects, 15(8), 584. https://doi.org/10.3390/insects15080584

