The Effect of Social Norms on Residential Insecticide Use
Abstract
Simple Summary
Abstract
1. Introduction
2. Materials and Methods
2.1. Sample Characteristics
2.2. Data Collection and Procedure
2.2.1. Aversion Test
2.2.2. Questionnaire
2.2.3. Household Density
2.3. Data Analysis
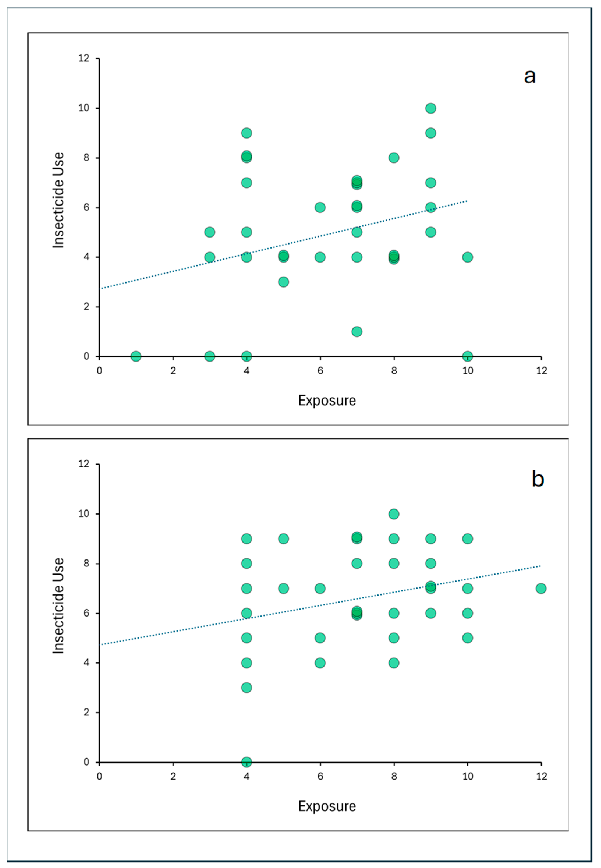
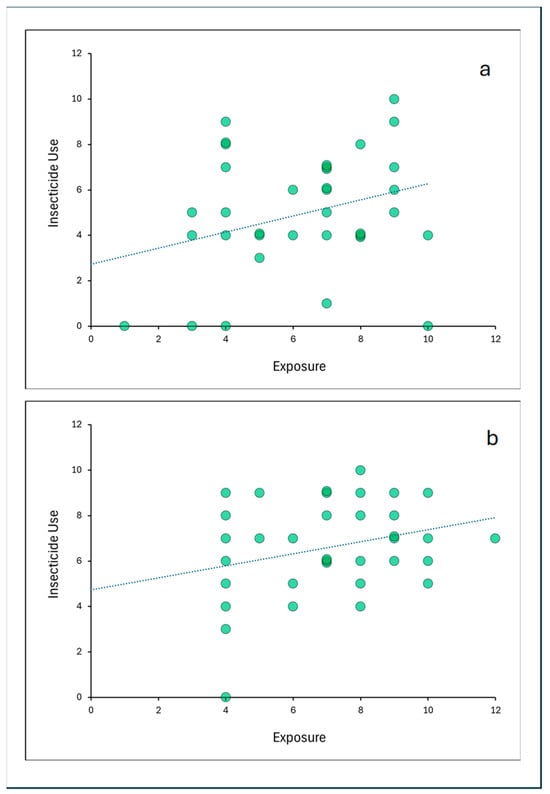
3. Results
4. Discussion
Funding
Institutional Review Board Statement
Informed Consent Statement
Data Availability Statement
Acknowledgments
Conflicts of Interest
References
- Deziel, N.C.; Colt, J.S.; Kent, E.E.; Gunier, R.B.; Reynolds, P.; Booth, B.; Metayer, C.; Ward, M.H. Associations between Self-Reported Pest Treatments and Pesticide Concentrations in Carpet Dust. Environ. Health 2015, 14, 27. [Google Scholar] [CrossRef]
- Guha, N.; Ward, M.H.; Gunier, R.; Colt, J.S.; Lea, C.S.; Buffler, P.A.; Metayer, C. Characterization of Residential Pesticide Use and Chemical Formulations through Self-Report and Household Inventory: The Northern California Childhood Leukemia Study. Environ. Health Perspect. 2013, 121, 276–282. [Google Scholar] [CrossRef] [PubMed]
- Dingha, B.; Jackai, L.; Monteverdi, R.H.; Ibrahim, J. Pest Control Practices for the German Cockroach (Blattodea: Blattellidae): A Survey of Rural Residents in North Carolina. Fla. Entomol. 2013, 96, 1009–1015. [Google Scholar] [CrossRef]
- Atwood, D.; Paisley-Jones, C. Pesticides Industry Sales and Usage: 2008–2012 Market Estimates. Available online: https://www.epa.gov/sites/default/files/2017-01/documents/pesticides-industry-sales-usage-2016_0.pdf (accessed on 28 March 2024).
- Trunnelle, K.J.; Bennett, D.H.; Tulve, N.S.; Clifton, M.S.; Davis, M.D.; Calafat, A.M.; Moran, R.; Tancredi, D.J.; Hertz-Picciotto, I. Urinary Pyrethroid and Chlorpyrifos Metabolite Concentrations in Northern California Families and Their Relationship to Indoor Residential Insecticide Levels, Part of the Study of Use of Products and Exposure Related Behavior (SUPERB). Environ. Sci. Technol. 2014, 48, 1931–1939. [Google Scholar] [CrossRef] [PubMed]
- Yoshida, T.; Mimura, M.; Sakon, N. Estimating Household Exposure to Pyrethroids and the Relative Contribution of Inhalation Pathway in a Sample of Japanese Children. Environ. Sci. Pollut. Res. 2021, 28, 19310–19324. [Google Scholar] [CrossRef] [PubMed]
- Cognez, N.; Warembourg, C.; Zaros, C.; Metten, M.-A.; Bouvier, G.; Garlantézec, R.; Charles, M.-A.; Béranger, R.; Chevrier, C. Residential Sources of Pesticide Exposure during Pregnancy and the Risks of Hypospadias and Cryptorchidism: The French ELFE Birth Cohort. Occup. Environ. Med. 2019, 76, 672–679. [Google Scholar] [CrossRef] [PubMed]
- Galdiano, L.L.d.S.; Baltar, V.T.; Polidoro, S.; Gallo, V. Household Pesticide Exposure: An Online Survey and Shelf Research in the Metropolitan Region of Rio de Janeiro, Brazil. Cad. Saude Publica 2021, 37, e00099420. [Google Scholar] [CrossRef] [PubMed]
- Werthmann, D.W.; Rabito, F.A.; Stout, D.M.; Tulve, N.S.; Adamkiewicz, G.; Calafat, A.M.; Ospina, M.; Chew, G.L. Pyrethroid Exposure among Children Residing in Green versus Non-Green Multi-Family, Low-Income Housing. J. Expo. Sci. Environ. Epidemiol. 2021, 31, 549–559. [Google Scholar] [CrossRef] [PubMed]
- Andersen, H.R.; David, A.; Freire, C.; Fernández, M.F.; D’Cruz, S.C.; Reina-Pérez, I.; Fini, J.-B.; Blaha, L. Pyrethroids and Developmental Neurotoxicity—A Critical Review of Epidemiological Studies and Supporting Mechanistic Evidence. Environ. Res. 2022, 214, 113935. [Google Scholar] [CrossRef]
- Tang, W.; Wang, D.; Wang, J.; Wu, Z.; Li, L.; Huang, M.; Xu, S.; Yan, D. Pyrethroid Pesticide Residues in the Global Environment: An Overview. Chemosphere 2018, 191, 990–1007. [Google Scholar] [CrossRef]
- Navarrete-Meneses, M.d.P.; Pérez-Vera, P. Pyrethroid Pesticide Exposure and Hematological Cancer: Epidemiological, Biological and Molecular Evidence. Rev. Environ. Health 2019, 34, 197–210. [Google Scholar] [CrossRef] [PubMed]
- Bao, W.; Liu, B.; Simonsen, D.W.; Lehmler, H.-J. Association between Exposure to Pyrethroid Insecticides and Risk of All-Cause and Cause-Specific Mortality in the General US Adult Population. JAMA Intern. Med. 2020, 180, 367–374. [Google Scholar] [CrossRef]
- Demeneix, B.; Leemans, M.; Couderq, S. Pyrethroid Exposure: Not so Harmless after All. Lancet Diabetes Endocrinol. 2020, 8, 266–268. [Google Scholar] [CrossRef] [PubMed]
- ATSDR. Public Health Statement for Pyrethrins and Pyrethroids. Available online: https://wwwn.cdc.gov/TSP/PHS/PHS.aspx?phsid=785&toxid=153 (accessed on 10 March 2024).
- NYC. Health Pest and Pesticide Laws for Building Owners and Managers—NYC Health. Available online: https://www.nyc.gov/site/doh/health/health-topics/pests-and-pesticides-laws.page (accessed on 11 March 2024).
- US EPA. Regulatory and Guidance Information by Topic: Pesticides. Available online: https://www.epa.gov/regulatory-information-topic/regulatory-and-guidance-information-topic-pesticides (accessed on 11 March 2024).
- Michie, S.; van Stralen, M.M.; West, R. The Behaviour Change Wheel: A New Method for Characterising and Designing Behaviour Change Interventions. Implement. Sci. 2011, 6, 42. [Google Scholar] [CrossRef] [PubMed]
- Saillenfait, A.M.; Ndiaye, D.; Sabaté, J.P. Pyrethroids: Exposure and Health Effects—An Update. Int. J. Hyg. Environ. Health 2015, 218, 281–292. [Google Scholar] [CrossRef] [PubMed]
- Gibson Miller, J.; Hartman, T.K.; Levita, L.; Martinez, A.P.; Mason, L.; McBride, O.; McKay, R.; Murphy, J.; Shevlin, M.; Stocks, T.V.A.; et al. Capability, Opportunity, and Motivation to Enact Hygienic Practices in the Early Stages of the COVID-19 Outbreak in the United Kingdom. Br. J. Health Psychol. 2020, 25, 856–864. [Google Scholar] [CrossRef] [PubMed]
- Keyworth, C.; Epton, T.; Goldthorpe, J.; Calam, R.; Armitage, C.J. Acceptability, Reliability, and Validity of a Brief Measure of Capabilities, Opportunities, and Motivations (“COM-B”). Br. J. Health Psychol. 2020, 25, 474–501. [Google Scholar] [CrossRef] [PubMed]
- Shafir, M.; Yagur-Kroll, A. Religion and Self-Definition of Extent of Religiosity: Selected Data from the Society in Israel Report No. 10; The Central Bureau of Statistics of the State of Israel: Jerusalem, Israel, 2018. Available online: https://www.cbs.gov.il/he/mediarelease/DocLib/2018/195/32_18_195b.pdf (accessed on 15 April 2024). (In Hebrew)
- Regenstein, J.M. Kosher and Halal: How They Affect Muslim and Jewish Dietary Practices. In Handbook of Eating and Drinking; Meiselman, H.L., Ed.; Springer International Publishing: Cham, Switzerland, 2020; pp. 593–614. ISBN 978-3-030-14504-0. [Google Scholar]
- Regenstein, J.M.; Chaudry, M.M.; Regenstein, C.E. The Kosher and Halal Food Laws. Compr. Rev. Food Sci. Food Saf. 2003, 2, 111–127. [Google Scholar] [CrossRef] [PubMed]
- Orthodox Union OU. Manual for Checking Fruits and Vegetables, 5th ed.; Orthodox Union: New York, NY, USA, 2020. [Google Scholar]
- Enkin, A. Playing with Non-Kosher Toys. Available online: https://outorah.org/p/100132/ (accessed on 10 March 2024).
- Fridman, I.; Shaul-Mena, N.; Fogel, N.; Romanov, D.; Amedi, D.; Feldman, M.; Schayek, R.; Schifris, G.; Portnoy, H. Measurement and Estimates of the Population of Ultra-Orthodox Jews; The Central Bureau of Statistics of the State of Israel: Jerusalem, Israel, 2011. Available online: https://www.cbs.gov.il/he/publications/DocLib/tec/tec25/tec25.pdf (accessed on 15 April 2024). (In Hebrew)
- Ribiat, D. The Halachos of Yichud; Feldheim Publishers: Nanuet, NY, USA, 1996; ISBN 978-0873067577. [Google Scholar]
- Pierce, K.A.; Kirkpatrick, D.R. Do Men Lie on Fear Surveys? Behav. Res. Ther. 1992, 30, 415–418. [Google Scholar] [CrossRef]
- Skolnick, A.J.; Bascom, K.L.; Wilson, D.T. Gender Role Expectations of Disgust: Men Are Low and Women Are High. Sex Roles 2013, 69, 72–88. [Google Scholar] [CrossRef]
- Sutton, R.M.; Farrall, S. Gender, Socially Desirable Responding and the Fear of Crime: Are Women Really More Anxious about Crime? Br. J. Criminol. 2005, 45, 212–224. [Google Scholar] [CrossRef]
- Pentamwa, P.; Kanaratanadilok, N.; Oanh, N.T.K. Indoor Pesticide Application Practices and Levels in Homes of Bangkok Metropolitan Region. Environ. Monit. Assess. 2011, 181, 363–372. [Google Scholar] [CrossRef]
- Gish, M.; Hisano, M.; Soga, M. Does Aversion to Insects Affect Insecticide Use? An Elusive Answer Calls for Improved Methods in Biophobia Research. People Nat. 2024, 00, 1–14. [Google Scholar] [CrossRef]
- Kreitchmann, R.S.; Abad, F.J.; Ponsoda, V.; Nieto, M.D.; Morillo, D. Controlling for Response Biases in Self-Report Scales: Forced-Choice vs. Psychometric Modeling of Likert Items. Front. Psychol. 2019, 10, 2309. [Google Scholar] [CrossRef]
- Leibovich-Raveh, T.; Gish, M. Does Insect Aversion Lead to Increased Household Pesticide Use? Insects 2022, 13, 555. [Google Scholar] [CrossRef]
- Schoelitsz, B.; Meerburg, B.G.; Takken, W. Influence of the Public’s Perception, Attitudes, and Knowledge on the Implementation of Integrated Pest Management for Household Insect Pests. Entomol. Exp. Appl. 2019, 167, 14–26. [Google Scholar] [CrossRef]
- Abbar, S.; Cooper, R.; Ranabhat, S.; Pan, X.; Sked, S.; Wang, C. Prevalence of Cockroaches, Bed Bugs, and House Mice in Low-Income Housing and Evaluation of Baits for Monitoring House Mouse Infestations. J. Med. Entomol. 2022, 59, 940–948. [Google Scholar] [CrossRef]
- Wang, C.; Abbar, S.; Pan, X.; Ranabhat, S.; Cooper, R. Diversity and Prevalence of Nuisance Arthropods Detected by Sticky Traps in Apartments in New Jersey. J. Econ. Entomol. 2023, 116, 1317–1320. [Google Scholar] [CrossRef]
- Wang, C.; Bischoff, E.; Eiden, A.L.; Zha, C.; Cooper, R.; Graber, J.M. Residents Attitudes and Home Sanitation Predict Presence of German Cockroaches (Blattodea: Ectobiidae) in Apartments for Low-Income Senior Residents. J. Econ. Entomol. 2019, 112, 284–289. [Google Scholar] [CrossRef]
- Leaderer, B.P.; Belanger, K.; Triche, E.; Holford, T.; Gold, D.R.; Kim, Y.; Jankun, T.; Ren, P.; McSharry Je, J.; Platts-Mills, T.A.E.; et al. Dust Mite, Cockroach, Cat, and Dog Allergen Concentrations in Homes of Asthmatic Children in the Northeastern United States: Impact of Socioeconomic Factors and Population Density. Environ. Health Perspect. 2002, 110, 419–425. [Google Scholar] [CrossRef]
- Lu, C.; Adamkiewicz, G.; Attfield, K.R.; Kapp, M.; Spengler, J.D.; Tao, L.; Xie, S.H. Household Pesticide Contamination from Indoor Pest Control Applications in Urban Low-Income Public Housing Dwellings: A Community-Based Participatory Research. Environ. Sci. Technol. 2013, 47, 2018–2025. [Google Scholar] [CrossRef] [PubMed]
- Bartl, H.; Keller, H.; Zohar, N.; Wahle, N. Many Children, Many Risks? Listening to the Voices of Families with Many Children from the Ultra-Orthodox (Haredi) Community in Israel. In Context-Informed Perspectives of Child Risk and Protection in Israel; Roer-Strier, D., Nadan, Y., Eds.; Springer International Publishing: Cham, Switzerland, 2020; Volume 10, pp. 105–129. ISBN 978-3-030-44278-1. [Google Scholar]
- CBS. Family Day 2024 – Families and Households in Israel 2024; The Central Bureau of Statistics of the State of Israel: Jerusalem, Israel, 2024. Available online: https://www.cbs.gov.il/he/mediarelease/DocLib/2024/043/11_24_043e.docx (accessed on 15 April 2024).
- Keesing, R.; Gemara, N.; Pollak, M. Parental and Professional Perspectives of Child Risk and Protection in Israel’s Ultra-Orthodox Community. In Context-Informed Perspectives of Child Risk and Protection in Israel; Roer-Strier, D., Nadan, Y., Eds.; Springer International Publishing: Cham, Switzerland, 2020; Volume 10, pp. 81–104. ISBN 978-3-030-44278-1. [Google Scholar]
- Sprenger, J.; Weinberger, N. Simpson’s Paradox. In The Stanford Encyclopedia of Philosophy; Zalta, E.N., Ed.; Metaphysics Research Lab, Stanford University: Stanford, CA, USA, 2021. [Google Scholar]
- JASP Team. JASP, 2024 (Version 0.18.3) [Computer Software]. Available online: https://jasp-stats.org/download/ (accessed on 15 April 2024).
- Bradman, A.; Chevrier, J.; Tager, I.; Lipsett, M.; Sedgwick, J.; Macher, J.; Vargas, A.B.; Cabrera, E.B.; Camacho, J.M.; Weldon, R.; et al. Association of Housing Disrepair Indicators with Cockroach and Rodent Infestations in a Cohort of Pregnant Latina Women and Their Children. Environ. Health Perspect. 2005, 113, 1795–1801. [Google Scholar] [CrossRef] [PubMed]
- Keller, A.; Groot, J.; Matta, J.; Bu, F.; El Aarbaoui, T.; Melchior, M.; Fancourt, D.; Zins, M.; Goldberg, M.; Nybo Andersen, A.-M.; et al. Housing Environment and Mental Health of Europeans during the COVID-19 Pandemic: A Cross-Country Comparison. Sci. Rep. 2022, 12, 5612. [Google Scholar] [CrossRef] [PubMed]
- Kasir Kaliner, N.; Romanov, D. Quality of Life Among Israel’s Population Groups: Comparative Study; The Haredi Institute for Public Affairs: Jerusalem, Israel, 2018; Available online: https://machon.org.il/wp-content/uploads/2019/07/quality-of-life-among-israels-population-groups.pdf (accessed on 15 April 2024).
- Fukano, Y.; Soga, M. Evolutionary Psychology of Entomophobia and Its Implications for Insect Conservation. Curr. Opin. Insect Sci. 2023, 59, 101100. [Google Scholar] [CrossRef] [PubMed]
- Lorenz, A.R.; Libarkin, J.C.; Ording, G.J. Disgust in Response to Some Arthropods Aligns with Disgust Provoked by Pathogens. Glob. Ecol. Conserv. 2014, 2, 248–254. [Google Scholar] [CrossRef]
- Matchett, G.; Davey, G.C.L. A Test of a Disease-Avoidance Model of Animal Phobias. Behav. Res. Ther. 1991, 29, 91–94. [Google Scholar] [CrossRef] [PubMed]
- Rozin, P.; Ruby, M.B. Bugs Are Blech, Butterflies Are Beautiful, but Both Are Bad to Bite: Admired Animals Are Disgusting to Eat but Are Themselves Neither Disgusting nor Contaminating. Emotion 2020, 20, 854–865. [Google Scholar] [CrossRef] [PubMed]
- Fukano, Y.; Soga, M. Why Do so Many Modern People Hate Insects? The Urbanization–Disgust Hypothesis. Sci. Total Environ. 2021, 777, 146229. [Google Scholar] [CrossRef]
- Lockwood, J. The Infested Mind: Why Humans Fear, Loathe, and Love Insects; Oxford University Press: New York, NY, USA, 2013; ISBN 0199374937. [Google Scholar]
- Davey, G.C.L.; McDonald, A.S.; Hirisave, U.; Prabhu, G.G.; Iwawaki, S.; Jim, C.I.; Merckelbach, H.; de Jong, P.J.; Leung, P.W.L.; Reimann, B.C. A Cross-Cultural Study of Animal Fears. Behav. Res. Ther. 1998, 36, 735–750. [Google Scholar] [CrossRef] [PubMed]
- Shipley, N.J.; Bixler, R.D. Beautiful Bugs, Bothersome Bugs, and FUN Bugs: Examining Human Interactions with Insects and Other Arthropods. Anthrozoos 2017, 30, 357–372. [Google Scholar] [CrossRef]
- Tybur, J.M.; Lieberman, D.; Kurzban, R.; DeScioli, P. Disgust: Evolved Function and Structure. Psychol. Rev. 2013, 120, 65–84. [Google Scholar] [CrossRef] [PubMed]
- Cepon-Robins, T.J.; Blackwell, A.D.; Gildner, T.E.; Liebert, M.A.; Urlacher, S.S.; Madimenos, F.C.; Eick, G.N.; Snodgrass, J.J.; Sugiyama, L.S. Pathogen Disgust Sensitivity Protects against Infection in a High Pathogen Environment. Proc. Natl. Acad. Sci. USA 2021, 118, e2018552118. [Google Scholar] [CrossRef] [PubMed]
- Curtis, V.; de Barra, M.; Aunger, R. Disgust as an Adaptive System for Disease Avoidance Behaviour. Philos Trans. R. Soc. Lond. B Biol. Sci. 2011, 366, 389–401. [Google Scholar] [CrossRef]
- Oaten, M.; Stevenson, R.J.; Case, T.I. Disgust as a Disease-Avoidance Mechanism. Psychol. Bull. 2009, 135, 303–321. [Google Scholar] [CrossRef]
- Rozin, P.; Haidt, J.; McCauley, C.R. Disgust. In Handbook of Emotions; Lewis, M., Haviland-Jones, J.M., Feldman Barrett, L., Eds.; Guilford Publications: New York, NY, USA, 2008; pp. 757–776. [Google Scholar]
- Mesquita, B. Emotions as Dynamic Cultural Phenomena. In Handbook of Affective Sciences; Davidson, R.J., Scherer, K.R., Goldsmith, H.H., Eds.; Oxford University Press: New York, NY, USA, 2003; pp. 871–890. [Google Scholar]
- Rottman, J.; DeJesus, J.M.; Gerdin, E. The Social Origins of Disgust. In The Moral Psychology of Disgust; Strohminger, N., Kumar, V., Eds.; Rowman & Littlefield International: London, UK, 2018; pp. 27–52. [Google Scholar]
- Rottman, J.; DeJesus, J.; Greenebaum, H. Developing Disgust: Theory, Measurement, and Application. In Handbook of Emotional Development; LoBue, V., Pérez-Edgar, K., Buss, K.A., Eds.; Springer International Publishing: Cham, Switzerland, 2019; pp. 283–309. ISBN 978-3-030-17332-6. [Google Scholar]
- Chapman, H.A.; Anderson, A.K. Things Rank and Gross in Nature: A Review and Synthesis of Moral Disgust. Psychol. Bull. 2013, 139, 300–327. [Google Scholar] [CrossRef] [PubMed]
- Bettache, K.; Hamamura, T.; Amrani Idrissi, J.; Amenyogbo, R.G.J.; Chiu, C. Monitoring Moral Virtue: When the Moral Transgressions of in-Group Members Are Judged More Severely. J. Cross Cult. Psychol. 2019, 50, 268–284. [Google Scholar] [CrossRef]
- Ritter, R.S.; Preston, J.L. Gross Gods and Icky Atheism: Disgust Responses to Rejected Religious Beliefs. J. Exp. Soc. Psychol. 2011, 47, 1225–1230. [Google Scholar] [CrossRef]
- Ritter, R.S.; Preston, J.L.; Salomon, E.; Relihan-Johnson, D. Imagine No Religion: Heretical Disgust, Anger and the Symbolic Purity of Mind. Cogn. Emot. 2016, 30, 778–796. [Google Scholar] [CrossRef] [PubMed]
- Yu, Z.; Bali, P.; Tsikandilakis, M.; Tong, E.M.W. ‘Look Not at What Is Contrary to Propriety’: A Meta-Analytic Exploration of the Association between Religiosity and Sensitivity to Disgust. Br. J. Soc. Psychol. 2022, 61, 276–299. [Google Scholar] [CrossRef]
- Horberg, E.J.; Oveis, C.; Keltner, D.; Cohen, A.B. Disgust and the Moralization of Purity. J. Pers. Soc. Psychol. 2009, 97, 963–976. [Google Scholar] [CrossRef]
- Aznar, A.; Tenenbaum, H.R.; Russell, P.S. Is Moral Disgust Socially Learned? Emotion 2023, 23, 289–301. [Google Scholar] [CrossRef] [PubMed]
- Luppino, O.I.; Tenore, K.; Mancini, F.; Mancini, A. The Role of Childhood Experiences in the Development of Disgust Sensitivity: A Preliminary Study on Early Moral Memories. Clin. Neuropsychiatry 2023, 20, 109–121. [Google Scholar] [CrossRef] [PubMed]
- Rubenstein, J.L. The Role of Disgust in Rabbinic Ethics. In Strength to Strength: Essays in Honor of Shaye J. D. Cohen; Satlow, M.L., Ed.; Brown Judaic Studies: Providence, Rhod Island, 2018; pp. 421–436. ISBN 9781946527127. [Google Scholar]
- Rozin, P.; Fallon, A. The Psychological Categorization of Foods and Non-Foods: A Preliminary Taxonomy of Food Rejections. Appetite 1980, 1, 193–201. [Google Scholar] [CrossRef]
- Tybur, J.M.; Lieberman, D.; Griskevicius, V. Microbes, Mating, and Morality: Individual Differences in Three Functional Domains of Disgust. J. Pers. Soc. Psychol. 2009, 97, 103–122. [Google Scholar] [CrossRef] [PubMed]
- Batson, C.D.; Schoenrade, P.; Ventis, W.L. Religion and the Individual: A Social-Psychological Perspective; Oxford University Press: New York, NY, USA, 1993. [Google Scholar]
- Sablosky, R. Does Religion Foster Generosity? Soc. Sci. J. 2014, 51, 545–555. [Google Scholar] [CrossRef]
- Eriksson, K.; Funcke, A. Humble Self-Enhancement: Religiosity and the Better-than-Average Effect. Soc. Psychol. Personal. Sci. 2013, 5, 76–83. [Google Scholar] [CrossRef]
- Sedikides, C.; Gebauer, J.E. Religiosity as Self-Enhancement: A Meta-Analysis of the Relation between Socially Desirable Responding and Religiosity. Pers. Soc. Psychol. Rev. 2009, 14, 17–36. [Google Scholar] [CrossRef]



| Explanatory Variable | B | t | p |
|---|---|---|---|
| Constant (intercept) | 3.323 | 3.833 | <0.001 |
| Religion | 1.377 | 2.434 | 0.018 |
| Exposure | 0.269 | 2.171 | 0.033 |
| Number of observations | 70 | ||
| R2 | 0.162 | ||
| F | 6.493 | 0.003 |
Disclaimer/Publisher’s Note: The statements, opinions and data contained in all publications are solely those of the individual author(s) and contributor(s) and not of MDPI and/or the editor(s). MDPI and/or the editor(s) disclaim responsibility for any injury to people or property resulting from any ideas, methods, instructions or products referred to in the content. |
© 2024 by the author. Licensee MDPI, Basel, Switzerland. This article is an open access article distributed under the terms and conditions of the Creative Commons Attribution (CC BY) license (https://creativecommons.org/licenses/by/4.0/).
Share and Cite
Gish, M. The Effect of Social Norms on Residential Insecticide Use. Insects 2024, 15, 286. https://doi.org/10.3390/insects15040286
Gish M. The Effect of Social Norms on Residential Insecticide Use. Insects. 2024; 15(4):286. https://doi.org/10.3390/insects15040286
Chicago/Turabian StyleGish, Moshe. 2024. "The Effect of Social Norms on Residential Insecticide Use" Insects 15, no. 4: 286. https://doi.org/10.3390/insects15040286
APA StyleGish, M. (2024). The Effect of Social Norms on Residential Insecticide Use. Insects, 15(4), 286. https://doi.org/10.3390/insects15040286

