Upregulation of Insulin and Ecdysone Signaling in Relation to Diapause Termination in Bombyx mori Eggs Exposed to 5 °C
Simple Summary
Abstract
1. Introduction
2. Materials and Methods
2.1. Insects
2.2. Reagents, Antibodies, and Enzyme Immunoassay (EIA) for Ecdysteroid Measurements
2.3. RNA Extraction and Quantitative Real-Time Polymerase Chain Reaction (qRT-PCR)
2.4. Western Blot Analysis
2.5. Statistical Analysis
3. Results
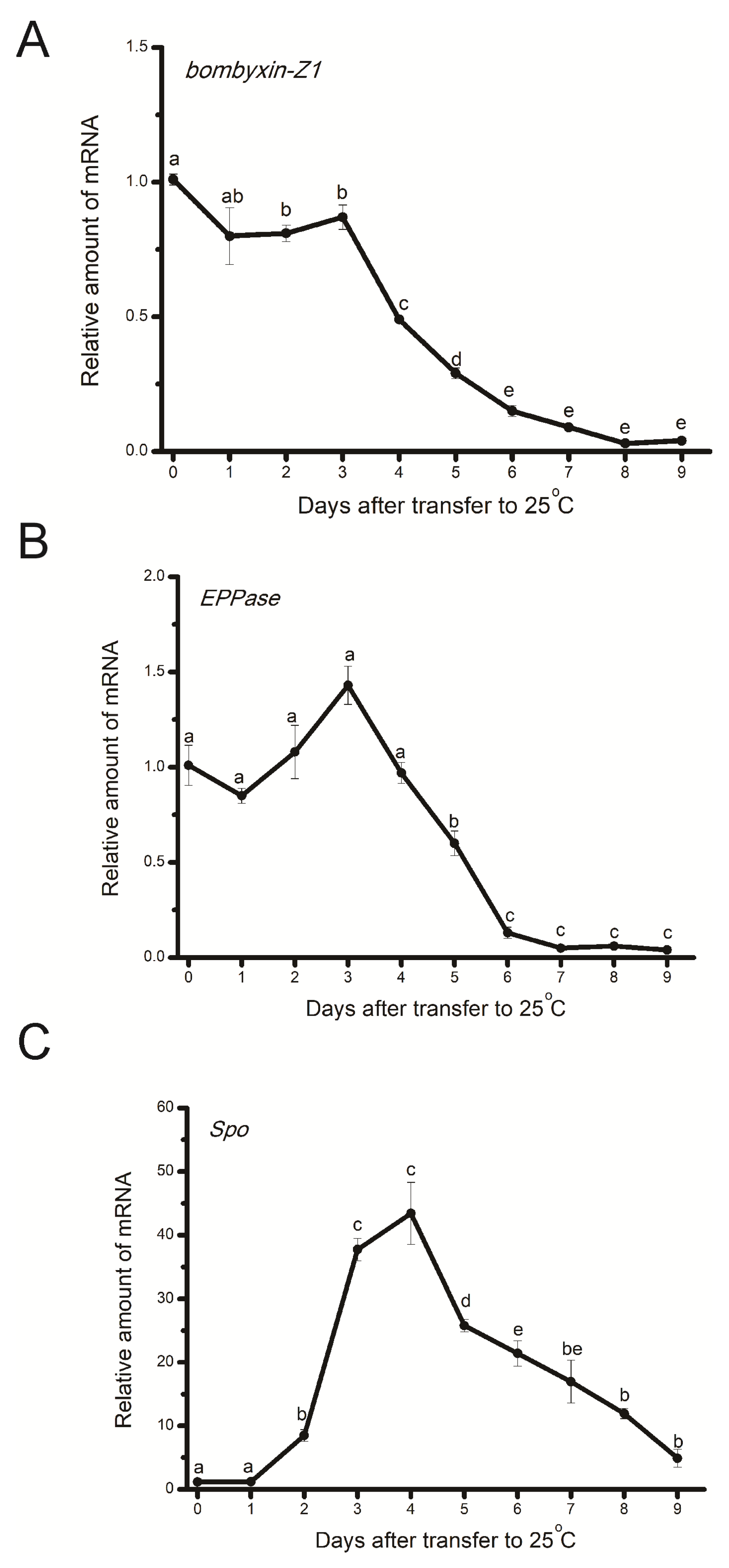
3.1. Temporal Changes in Gene Expression Levels of Bombyxin-Z1, EPPase, and Halloween (Spook (Spo)) After Chilled Eggs Were Transferred to 25 °C
3.2. Differential Temporal Changes in Gene Expression Levels Between Chilled Eggs and Eggs Kept at 25 °C
3.3. Effects of Chilling on Phosphorylation of GSK-3β
3.4. Effects of Chilling on Ecdysteroid Levels
4. Discussion
Supplementary Materials
Author Contributions
Funding
Data Availability Statement
Conflicts of Interest
References
- Hand, S.C.; Denlinger, D.L.; Podrabsky, J.E.; Roy, R. Mechanisms of animal diapause: Recent developments from nematodes, crustaceans, insects, and fish. Am. J. Physiol. Regul. Integr. Comp. Physiol. 2016, 310, R1193–R1211. [Google Scholar] [CrossRef] [PubMed]
- Denlinger, D.L. Insect Diapause; Cambridge University Press: Cambridge, UK, 2022. [Google Scholar]
- Denlinger, D.L. Insect diapause: From a rich history to an exciting future. J. Exp. Biol. 2023, 226, 245329. [Google Scholar] [CrossRef] [PubMed]
- Yamashita, O. Diapause hormone of the silkworm, Bombyx mori: Structure, gene expression and function. J. Insect Physiol. 1996, 42, 669–679. [Google Scholar] [CrossRef]
- Yamashita, O.; Yaginuma, T. Silkworm eggs at temperatures: Implications for sericulture. In Insects at Low Temperature; Lee, R.E.J., Denlinger, D.L., Eds.; Chapman & Hall: New York, NY, USA, 1991; pp. 424–445. [Google Scholar]
- Xu, W.H.; Sato, Y.; Ikeda, M.; Yamashita, O. Stage-dependent and temperature-controlled expression of the gene encoding the precursor protein of diapause hormone and pheromone biosynthesis activating neuropeptide in the silkworm, Bombyx mori. J. Biol. Chem. 1995, 270, 3804–3808. [Google Scholar] [CrossRef] [PubMed]
- Shiomi, K.; Takasu, Y.; Kunii, M.; Tsuchiya, R.; Mukaida, M.; Kobayashi, M.; Sezutsu, H.; Takahama, M.I.; Mizoguchi, A. Disruption of diapause induction by TALEN-based gene mutagenesis in relation to a unique neuropeptide signaling pathway in Bombyx. Sci. Rep. 2015, 5, 15566. [Google Scholar] [CrossRef]
- Tsuchiya, R.; Kaneshima, A.; Kobayashi, M.; Yamazaki, M.; Takasu, Y.; Sezutsu, H.; Tanaka, Y.; Mizoguchi, A.; Shiomi, K. Maternal GABAergic and GnRH/corazonin pathway modulates egg diapause phenotype of the silkworm Bombyx mori. Pro. Natl. Acad. Sci. USA 2021, 118, e2020028118. [Google Scholar] [CrossRef]
- Nakagaki, M.; Takei, R.; Nagashima, E.; Yaginuma, T. Cell cycles in embryos of the silkworm, Bombyx mori: G2-arrest at diapause stage. Rouxs. Arch. Dev. Biol. 1991, 200, 223–229. [Google Scholar] [CrossRef]
- Sonobe, H.; Yamada, R. Ecdysteroids during early embryonic development in silkworm Bombyx mori: Metabolism and functions. Zool. Sci. 2004, 21, 503–516. [Google Scholar] [CrossRef]
- Chino, H. Carbohydrate metabolism in the diapause egg of the silkworm, Bombyx mori—II: Conversion of glycogen into sorbitol and glycerol during diapause. J. Insect Physiol. 1958, 2, 1–4. [Google Scholar] [CrossRef]
- Horie, Y.; Kanda, T.; Mochida, Y. Sorbitol as an arrester of embryonic development in diapausing eggs of the silkworm, Bombyx mori. J. Insect Physiol. 2000, 46, 1009–1016. [Google Scholar] [CrossRef]
- Yaginuma, T.; Kobayashi, M.; Yamashita, O. Distinct effects of different low temperatures on the induction of NAD-sorbitol dehydrogenase activity in diapause eggs of the silkworm, Bombyx mori. J. Comp. Physiol. 1990, 160B, 277–285. [Google Scholar] [CrossRef]
- Yaginuma, T.; Yamashita, O. Polyol metabolism related to diapause in Bombyx eggs: Different behaviour of sorbitol from glycerol during diapause and post-diapause. J. Insect Physiol. 1978, 24, 347–354. [Google Scholar] [CrossRef]
- Yaginuma, T.; Yamashita, O. NAD-dependent sorbitol dehydrogenase activity in relation to the termination of diapause in eggs of Bombyx mori. Insect Biochem. 1979, 9, 547–553. [Google Scholar] [CrossRef]
- Niimi, T.; Yaginuma, T. Biosynthesis of NAD-sorbitol dehydrogenase is induced by acclimation at 5 degrees C in diapause eggs of the silkworm, Bombyx mori. Comp. Biochem. Physiol. 1992, 102B, 169–173. [Google Scholar]
- Niimi, T.; Yamashita, O.; Yaginuma, T. A cold-inducible Bombyx gene encoding a protein similar to mammalian sorbitol dehydrogenase yolk nuclei-dependent gene expression in diapause eggs. Eur. J. Biochem. 1993, 213, 1125–1131. [Google Scholar] [CrossRef]
- Iwata, K.; Shindome, C.; Kobayashi, Y.; Takeda, M.; Yamashita, O.; Shiomi, K.; Fujiwara, Y. Temperature-dependent activation of ERK/MAPK in yolk cells and its role in embryonic diapause termination in the silkworm Bombyx mori. J. Insect Physiol. 2005, 51, 1306–1312. [Google Scholar] [CrossRef] [PubMed]
- Fujiwara, Y.; Shiomi, K. Distinct effects of different temperatures on diapause termination, yolk morphology and MAPK phosphorylation in the silkworm, Bombyx mori. J. Insect Physiol. 2006, 52, 1194–1201. [Google Scholar] [CrossRef]
- Fujiwara, Y.; Shindome, C.; Takeda, M.; Shiomi, K. The roles of ERK and P38 MAPK signaling cascades on embryonic diapause initiation and termination of the silkworm, Bombyx mori. Insect Biochem. Mol. Biol. 2006, 36, 47–53. [Google Scholar] [CrossRef]
- Fujiwara, Y.; Tanaka, Y.; Iwata, K.; Rubio, R.O.; Yaginuma, T.; Yamashita, O.; Shiomi, K. ERK/MAPK regulates ecdysteroid and sorbitol metabolism for embryonic diapause termination in the silkworm, Bombyx mori. J. Insect Physiol. 2006, 52, 569–575. [Google Scholar] [CrossRef]
- Sim, C.; Denlinger, D.L. Insulin signaling and FOXO regulate the overwintering diapause of the mosquito Culex pipiens. Proc. Natl. Acad. Sci. USA 2008, 105, 6777–6781. [Google Scholar] [CrossRef]
- Sim, C.; Denlinger, D.L. A shut-down in expression of an insulin-like peptide, ILP-1, halts ovarian maturation during the overwintering diapause of the mosquito Culex pipiens. Insect Mol. Biol. 2009, 18, 325–332. [Google Scholar] [CrossRef] [PubMed]
- Sim, C.; Denlinger, D.L. Insulin signaling and the regulation of insect diapause. Front. Physiol. 2013, 4, 189. [Google Scholar] [CrossRef] [PubMed]
- Taguchi, A.; White, M.F. Insulin-like signaling, nutrient homeostasis, and life span. Annu. Rev. Physiol. 2008, 70, 191–212. [Google Scholar] [CrossRef] [PubMed]
- Mizoguchi, A.; Okamoto, N. Insulin-like and IGF-like peptides in the silkmoth Bombyx mori: Discovery, structure, secretion, and function. Front. Physiol. 2013, 4, 217. [Google Scholar] [CrossRef]
- Lin, J.L.; Lin, P.L.; Gu, S.H. Phosphorylation of glycogen synthase kinase-3β in relation to diapause processing in the silkworm, Bombyx mori. J. Insect Physiol. 2009, 55, 593–598. [Google Scholar] [CrossRef]
- Cormier, K.W.; Woodgett, J.R. Recent advances in understanding the cellular roles of GSK-3. F1000Resarch 2017, 6, 1–7. [Google Scholar] [CrossRef]
- Gu, S.H.; Chang, C.H.; Lin, P.L. Bombyxin-stimulated ecdysteroidogenesis in relation to sugar transporter/trehalase expressions in Bombyx prothoracic glands. Insect Biochem. Mol. Biol. 2022, 151, 103864. [Google Scholar] [CrossRef]
- Okamoto, N.; Yamanaka, N.; Endo, Y.; Kataoka, H.; Mizoguchi, A. Spatiotemporal patterns of IGF-like peptide expression in the silkmoth Bombyx mori predict its pleiotropic actions. Gen. Comp. Endocrinol. 2011, 173, 171–182. [Google Scholar] [CrossRef]
- Okamoto, N.; Yamanaka, N.; Satake, H.; Saegusa, H.; Kataoka, H.; Mizoguchi, A. An ecdysteroid-inducible insulin-like growth factor-like peptide regulates adult development of the silkmoth Bombyx mori. FEBS J. 2009, 276, 1221–1232. [Google Scholar] [CrossRef]
- Gu, S.H.; Lin, P.L.; Hsieh, H.Y. Bombyxin/Akt signaling in relation to the embryonic diapause process of the silkworm, Bombyx mori. J. Insect Physiol. 2019, 119, 32–40. [Google Scholar] [CrossRef]
- Yamada, R.; Sonobe, H. Purification, kinetic characterization, and molecular cloning of a novel enzyme ecdysteroid-phosphate phosphatase. J. Biol. Chem. 2003, 278, 26365–26373. [Google Scholar] [CrossRef] [PubMed]
- Fujinaga, D.; Gu, J.; Kawahara, H.; Ogihara, M.H.; Kojima, I.; Takeshima, M.; Kataoka, H. Twenty-hydroxyecdysone produced by dephosphorylation and ecdysteroidogenesis regulates early embryonic development in the silkmoth, Bombyx mori. Insect Biochem. Mol. Biol. 2020, 127, 103491. [Google Scholar] [CrossRef] [PubMed]
- Gu, S.H.; Chen, C.H.; Hsieh, Y.C.; Lin, P.L. Changes in expressions of ecdysteroidogenic enzyme and ecdysteroid signaling genes in relation to Bombyx embryonic development. J. Exp. Zool. A Ecol. Integr. Physiol. 2021, 335, 477–488. [Google Scholar] [CrossRef]
- Rubio, R.O.; Suzuki, A.; Mitsumasu, K.; Homma, T.; Niimi, T.; Yamashita, O.; Yaginuma, T. Cloning of cDNAs encoding sorbitol dehydrogenase-2a and b, enzymatic characterization, and up-regulated expression of the genes in Bombyx mori diapause eggs exposed to 5 °C. Insect Biochem. Mol. Biol. 2011, 41, 378–387. [Google Scholar] [CrossRef]
- Gu, S.H.; Lin, P.L.; Chang, C.H. Expressions of sugar transporter genes during Bombyx mori embryonic development. J. Exp. Zool. A Ecol. Integr. Physiol. 2023, 339, 788–798. [Google Scholar] [CrossRef] [PubMed]
- Gu, S.H.; Tsai, W.H.; Lin, J.L.; Lin, P.L. Involvement of 4E-BP phosphorylation in embryonic development of the silkworm, Bombyx mori. J. Insect Physiol. 2011, 57, 978–985. [Google Scholar] [CrossRef]
- Gu, S.H.; Lin, P.L.; Chang, C.H. Expressions of sugar transporters/trehalases in relation to PTTH-stimulated ecdysteroidogenesis in the silkworm, Bombyx mori. J. Insect Physiol. 2024, 157, 104672. [Google Scholar] [CrossRef]
- Aslam, A.F.M.; Kiya, T.; Mita, K.; Iwami, M. Identification of novel bombyxin genes from the genome of the silkmoth Bombyx mori and analysis of their expression. Zool. Sci. 2011, 28, 609–616. [Google Scholar] [CrossRef]
- Iwami, M. Bombyxin: An insect brain peptide that belongs to the insulin family. Zool. Sci. 2000, 17, 1035–1044. [Google Scholar] [CrossRef]
- Kamiyama, T.; Niwa, R. Transcriptional regulators of ecdysteroid biosynthetic enzymes and their roles in insect development. Front. Physiol. 2022, 13, 823418. [Google Scholar] [CrossRef]
- Beurel, E.; Grieco, S.F.; Jope, R.S. Glycogen synthase kinase-3 (GSK3): Regulation, actions, and diseases. Pharmacol. Ther. 2015, 148, 114–131. [Google Scholar] [CrossRef] [PubMed]
- Li, Q.; Gong, Z. Cold-sensing regulates Drosophila growth through insulin-producing cells. Nat. Commun. 2015, 6, 10083. [Google Scholar] [CrossRef] [PubMed]
- Durak, R.; Durak, T. Metabolic response of aphid Cinara tujafilina to cold stress. Biology 2021, 10, 1288. [Google Scholar] [CrossRef] [PubMed]
- Durak, R.; Materowska, M.; Borowiak-Sobkowiak, B.; Bartoszewski, S. Two distinct aphid diapause strategies: Slow development or development arrest. J. Insect Physiol. 2023, 150, 104569. [Google Scholar] [CrossRef]
- Shingleton, A.; Sisk, G.C.; Stern, D. Diapause in the pea aphid (Acyrthosiphon pisum) is a slowing but not a cessation of development. BMC Dev. Biol. 2003, 8, 3–7. [Google Scholar] [CrossRef] [PubMed]
- Xia, Q.; Chen, C.; Dopman, E.B.; Hahn, D.A. Divergence in cell cycle progression is associated with shifted phenology in a multivoltine moth: The European corn borer, Ostrinia nubilalis. J. Exp. Biol. 2023, 226, jeb245244. [Google Scholar] [CrossRef] [PubMed]
- Zhu, J.; Thompson, C.B. Metabolic regulation of cell growth and proliferation. Nat. Rev. Mol. Cell Biol. 2019, 20, 436–450. [Google Scholar] [CrossRef] [PubMed]
- Thompson, C.B.; Bielska, A.A. Growth factors stimulate anabolic metabolism by directing nutrient uptake. J. Biol. Chem. 2019, 294, 17883–17888. [Google Scholar] [CrossRef]
- Li, S.; Yu, X.; Feng, Q. Fat body biology in the last decade. Annu. Rev. Entomol. 2019, 64, 315–333. [Google Scholar] [CrossRef]
- Texada, M.J.; Koyama, T.; Rewitz, K. Regulation of body size and growth control. Genetics 2020, 216, 269–313. [Google Scholar]
- Xu, W.H.; Lu, Y.X.; Denlinger, D.L. Cross-talk between the fat body and brain regulates insect developmental arrest. Proc. Natl. Acad. Sci. USA 2012, 109, 14687–14692. [Google Scholar] [CrossRef] [PubMed]
- Jia, Q.; Li, S. Mmp-induced fat body cell dissociation promotes pupal development and moderately averts pupal diapause by activating lipid metabolism. Proc. Natl. Acad. Sci. USA 2023, 120, e2215214120. [Google Scholar] [CrossRef] [PubMed]
- Fagotto, F. Regulation of yolk degradation, or how to make sleepy lysosomes. J. Cell Sci. 1995, 108 Pt 12, 3645–3647. [Google Scholar] [CrossRef]
- Kihara, F.; Itoh, K.; Iwasaka, M.; Niimi, T.; Yamashita, O.; Yaginuma, T. Glycerol kinase activity and glycerol kinase-3 gene are up-regulated by acclimation to 5 degrees C in diapause eggs of the silkworm, Bombyx mori. Insect Biochem. Mol. Biol. 2009, 39, 763–769. [Google Scholar] [CrossRef] [PubMed]
- Furusawa, T.; Shikata, M.; Yamashita, O. Temperature dependent sorbitol utilization in diapause eggs of the silkworm, Bombyx mori. J. Comp. Physiol. 1982, 147, 21–26. [Google Scholar] [CrossRef]








Disclaimer/Publisher’s Note: The statements, opinions and data contained in all publications are solely those of the individual author(s) and contributor(s) and not of MDPI and/or the editor(s). MDPI and/or the editor(s) disclaim responsibility for any injury to people or property resulting from any ideas, methods, instructions or products referred to in the content. |
© 2024 by the authors. Licensee MDPI, Basel, Switzerland. This article is an open access article distributed under the terms and conditions of the Creative Commons Attribution (CC BY) license (https://creativecommons.org/licenses/by/4.0/).
Share and Cite
Gu, S.-H.; Lin, P.-L. Upregulation of Insulin and Ecdysone Signaling in Relation to Diapause Termination in Bombyx mori Eggs Exposed to 5 °C. Insects 2024, 15, 989. https://doi.org/10.3390/insects15120989
Gu S-H, Lin P-L. Upregulation of Insulin and Ecdysone Signaling in Relation to Diapause Termination in Bombyx mori Eggs Exposed to 5 °C. Insects. 2024; 15(12):989. https://doi.org/10.3390/insects15120989
Chicago/Turabian StyleGu, Shi-Hong, and Pei-Ling Lin. 2024. "Upregulation of Insulin and Ecdysone Signaling in Relation to Diapause Termination in Bombyx mori Eggs Exposed to 5 °C" Insects 15, no. 12: 989. https://doi.org/10.3390/insects15120989
APA StyleGu, S.-H., & Lin, P.-L. (2024). Upregulation of Insulin and Ecdysone Signaling in Relation to Diapause Termination in Bombyx mori Eggs Exposed to 5 °C. Insects, 15(12), 989. https://doi.org/10.3390/insects15120989

