Botanical Pesticides: Role of Ricinus communis in Managing Bactrocera zonata (Tephritidae: Diptera)
Simple Summary
Abstract
1. Introduction
2. Materials and Methods
2.1. Plant Sample Preparations
2.2. B. zonata Collection and Rearing
2.3. Toxicity of Plant Extracts Against B. zonata
2.4. Preparation of Plant Extracts for Chromatography
2.5. Column Chromatography
2.6. FTIR Analysis
2.7. GC-MS Analysis
2.8. Insecticidal Activity of Collected Fractions
2.9. Data Analyses
3. Results
3.1. Ethyl Acetate Extract of R. communis Against B. zonata
3.2. Toxic Potency of R. communis n-Hexane on B. zonata
3.3. R. communis Methanol Extract Toxicity Against B. zonata
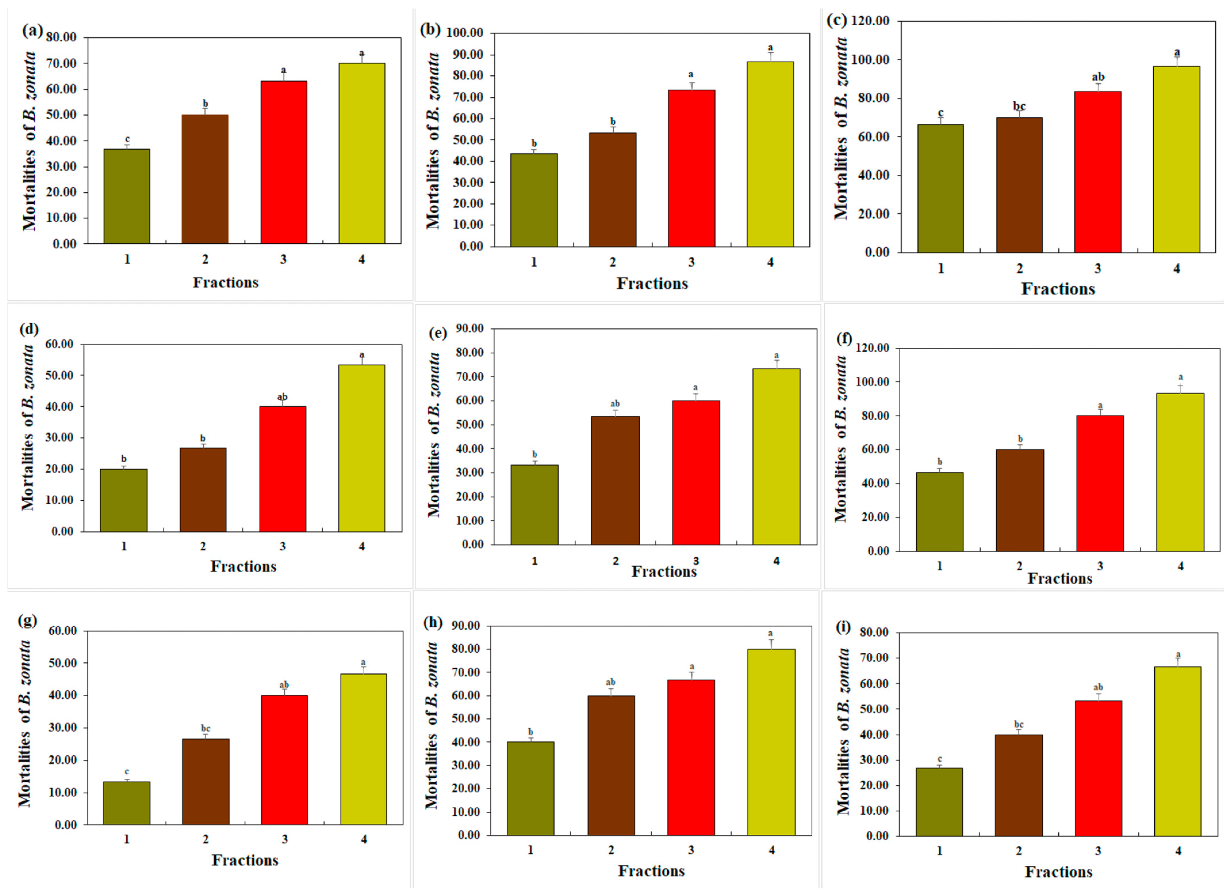
3.4. n-Hexane (A), Ethyl Acetate (B), and Methanol (C) R. communis Fraction Mortalities in B. zonata
3.5. FTIR (Fourier Transform Infrared Spectroscopy) Analysis of Methanol, Ethyl Acetate, and n-Hexane Extract of R. communis
3.6. GC-MS (Gas Chromatography-Mass Spectrometry) Analysis of n-Hexane, Ethyl Acetate, and Methanol Extracts of R. communis
3.6.1. GC-MS Analysis of Ethyl Acetate Extract of R. communis
3.6.2. GC-MS Analysis of Methanol Extract of R. communis
3.6.3. GC-MS Analysis of n-Hexane Extract of R. communis
3.7. Multivariate Analysis
4. Discussion
5. Conclusions
Author Contributions
Funding
Data Availability Statement
Conflicts of Interest
References
- Saeed, M.; Ahmad, T.; Alam, M.; Al-Shuraym, L.A.; Ahmed, N.; Ali Alshehri, M.; Ullah, H.; Sayed, S.M. Preference and Performance of Peach Fruit Fly (Bactrocera zonata) and Melon Fruit Fly (Bactrocera cucurbitae) under Laboratory Conditions. Saudi J. Biol. Sci. 2022, 29, 2402–2408. [Google Scholar] [CrossRef] [PubMed]
- Nugnes, F.; Russo, E.; Viggiani, G.; Bernardo, U. First Record of an Invasive Fruit Fly Belonging to Bactrocera dorsalis Complex (Diptera: Tephritidae) in Europe. Insects 2018, 9, 182. [Google Scholar] [CrossRef] [PubMed]
- Mahmoud, M.E.E.; Mohamed, S.A.; Abuagla, M.I.B.; Khamis, F.M.; Ekesi, S. Field Response of Three Tephritid Fruit Flies to Three Food-Based Attractants and Suppression of Bactrocera zonata (Saunders) Using Mazoferm E802 + Spinosad in a Guava Ecosystem in Sudan. Int. J. Trop. Insect Sci. 2024, 44, 227–236. [Google Scholar] [CrossRef]
- White, I.M.; Elson-Harris, M.M. Fruit Flies of Economic Significance: Their Identification and Bionomics; Oxford University Press: Oxford, UK, 1992; p. 601. [Google Scholar]
- Adedeji, A.A.; Ekramirad, N.; Rady, A.; Hamidisepehr, A.; Donohue, K.D.; Villanueva, R.T.; Parrish, C.A.; Li, M. Non-Destructive Technologies for Detecting Insect Infestation in Fruits and Vegetables under Postharvest Conditions: A Critical Review. Foods 2020, 9, 927. [Google Scholar] [CrossRef]
- Alamgir, A.N.M. Pharmacognostical Botany: Classification of Medicinal and Aromatic Plants (MAPs), Botanical Taxonomy, Morphology, and Anatomy of Drug Plants. In Therapeutic Use of Medicinal Plants and Their Extracts; Springer: Cham, Switzerland, 2017; Volume 1, pp. 177–293. [Google Scholar]
- Franke, H.; Scholl, R.; Aigner, A. Ricin and Ricinus communis in Pharmacology and Toxicology-from Ancient Use and “Papyrus ebers” to Modern Perspectives and “Poisonous Plant of the Year 2018”. Naunyn. Schmiedebergs. Arch. Pharmacol. 2019, 392, 1181–1208. [Google Scholar] [CrossRef]
- Varala, R.; Seema, V.; Alam, M.M.; Dubasi, N.; Vummadi, R.D. Iodoxybenzoic Acid (IBX) in Organic Synthesis: A Septennial Review. Curr. Org. Synth. 2024, 21, 607–664. [Google Scholar] [CrossRef] [PubMed]
- Khattak, W.A.; Sun, J.; Hameed, R.; Zaman, F.; Abbas, A.; Khan, K.A.; Elboughdiri, N.; Akbar, R.; He, F.; Ullah, M.W.; et al. Unveiling the Resistance of Native Weed Communities: Insights for Managing Invasive Weed Species in Disturbed Environments. Biol. Rev. 2024, 99, 753–777. [Google Scholar] [PubMed]
- Akbar, R.; Khan, I.A.; Alajmi, R.A.; Ali, A.; Faheem, B.; Usman, A.; Ahmed, A.M.; El-Shazly, M.; Farid, A.; Giesy, J.P.; et al. Evaluation of Insecticidal Potentials of Five Plant Extracts against the Stored Grain Pest, Callosobruchus maculatus (Coleoptera: Bruchidae). Insects 2022, 13, 1047. [Google Scholar] [CrossRef] [PubMed]
- Akbar, R.; Sun, J.; Bo, Y.; Khattak, W.A.; Khan, A.A.; Jin, C.; Zeb, U.; Ullah, N.; Abbas, A.; Liu, W.; et al. Understanding the Influence of Secondary Metabolites in Plant Invasion Strategies: A Comprehensive Review. Plants 2024, 13, 3162. [Google Scholar] [CrossRef] [PubMed]
- Otieno, S.J.; Ritho, C.N.; Nzuma, J.M.; Muriithi, B.W. Determinants of Adoption and Dis-Adoption of Integrated Pest Management Practices in the Suppression of Mango Fruit Fly Infestation: Evidence from Embu County, Kenya. Sustain. 2023, 15, 1891. [Google Scholar] [CrossRef]
- Taidi, Y.; El laghdach, A. Pesticides: Environmental Fate, Human Health Impacts, and Analytical Techniques from Extraction to Removal. Moroc. J. Chem. 2024, 12, 89–129. [Google Scholar]
- Akbar, R.; Khan, I.A. Toxicity of Five Plant Extracts against Callosobruchus maculatus Fab. (Coleoptera Bruchidae) a Major Insect Pest of Stored Pulses. Fresenius Environ. Bull. 2021, 30, 5098–5107. [Google Scholar]
- Akbar, R.; Afzal, S.; Sun, J.; Faheem, B.; Bibi, R.; Azad, R.; Farid, A.; Ahmad, H.I.; Ataya, F.S.; Khan, M.A.; et al. Efficacy of Various Plant Extracts and Synergism Against Domestic Species of Rice Weevil Sitophilous oryzae (Curculionidae: Coleoptera). Pol. J. Environ. Stud. 2024, 33, 3033–3044. [Google Scholar] [CrossRef]
- Akbar, R.; Faheem, B.; Aziz, T.; Ali, A.; Ullah, A.; Khan, I.A.; Sun, J. Evaluating the Efficacy of Plant Extracts in Managing the Bruchid Beetle, Callosobruchus maculatus (Coleoptera: Bruchidae. Insects 2024, 15, 691. [Google Scholar] [CrossRef] [PubMed]
- Tang, D.; Chen, M.; Huang, X.; Zhang, G.; Zeng, L.; Zhang, G.; Wu, S.; Wang, Y. SRplot: A Free Online Platform for Data Visualization and Graphing. PLoS ONE 2023, 18, e0294236. [Google Scholar] [CrossRef] [PubMed]
- Aravinth, A.; Dhanasundaram, S.; Perumal, P.; Vengateshwaran, T.D.; Thavamurugan, S.; Rajaram, R. Biological Activities of the Brown Seaweed Dictyota ciliolata with Special Reference to the Human Diseases Transmitting Aedes aegypti’s Larvae. Biomass Convers. Biorefinery 2023, 1–17. [Google Scholar] [CrossRef]
- Jain, C.; Khatana, S.; Vijayvergia, R. Bioactivity of Secondary Metabolites of Various Plants: A Review. Int. J. Pharm. Sci. Res. 2019, 10, 494–504. [Google Scholar]
- Jin, X.-J.; Kim, E.J.; Oh, I.K.; Kim, Y.K.; Park, C.-H.; Chung, J.H. Prevention of UV-Induced Skin Damages by 11,14,17-Eicosatrienoic Acid in Hairless Mice in Vivo. J. Korean Med. Sci. 2010, 25, 930–937. [Google Scholar] [CrossRef] [PubMed]
- Azevedo, L.S.; Gonçalves, T.P.R.; Coimbra, M.C.; de Siqueira, E.P.; Alves, S.N.; Lima, L.A.R.d.S. Larvicidal Potential of Ether Extract, and Its Derivatives Fatty Acids, and Fatty Acid Methyl Esters from Tecoma Stans Seeds: Bioprospecting for an Effective Insecticide. J. Nat. Pestic. Res. 2024, 10, 100087. [Google Scholar] [CrossRef]
- N, J.B.; Goudgaon, N.M. A Comprehensive Review on Pyrimidine Analogs-Versatile Scaffold with Medicinal and Biological Potential. J. Mol. Struct. 2021, 1246, 131168. [Google Scholar] [CrossRef]
- Chow, H.F.; Kuck, D. Carbocyclic Spiro Compounds Occupying Higher Dimensions: Benzoannelated [5.5.5.5] Fenestranes and Beyond. In Spiro Compounds: Synthesis and Applications; John Wiley & Sons: Hoboken, NJ, USA, 2021; pp. 357–400. [Google Scholar]
- Gu, I.; Howard, L.; Lee, S.O. Volatiles in Berries: Biosynthesis, Composition, Bioavailability, and Health Benefits. Appl. Sci. 2022, 12, 10238. [Google Scholar] [CrossRef]
- Najda, A.; Bains, A.; Chawla, P.; Kumar, A.; Balant, S.; Walasek-Janusz, M.; Wach, D.; Kaushik, R. Assessment of Anti-Inflammatory and Antimicrobial Potential of Ethanolic Extract of Woodfordia Fruticosa Flowers: GC-MS Analysis. Molecules 2021, 26, 7193. [Google Scholar] [CrossRef] [PubMed]
- Chen, X.; Tu, Q.; Zhao, W.; Lin, X.; Chen, Z.; Li, B.; Zhang, Y. 5-Hydroxymethylfurfural Mediated Developmental Toxicity in Drosophila melanogaster. Food Chem. Toxicol. 2024, 189, 114738. [Google Scholar] [CrossRef]
- Shehzad, A.; Qayyum, A.; Rehman, R.; Nadeem, F.; Shehzad, M.R. A Review of Bioactivity Guided Medicinal Uses and Therapeutic Potentials of Noxious Weed (Alternanthera sessilis). Int. J. Chem. Biochem. Sci. 2018, 14, 95–103. [Google Scholar]
- Bhattacharyya, R.; Sarmah Boruah, J.; Medhi, K.K.; Borkataki, S. Phytochemical Analysis of Leaves of Xylosma longifolia Clos.: A Plant of Ethnomedicinal Importance. Int. J. Pharm. Sci. Res. 2020, 11, 2065–2074. [Google Scholar]
- Rahamouz-Haghighi, S.; Bagheri, K.; Sharafi, A. Antibacterial Activities and Chemical Compounds of Plantago lanceolata (Ribwort plantain) and Plantago major (Broadleaf plantain) Leaf Extracts. Pharm. Biomed. Res. 2023, 9, 183–200. [Google Scholar] [CrossRef]
- Vasantha-Srinivasan, P.; Sivadasan Unni, P.K.; Karthi, S.; Ganesan, R.; Senthil-Nathan, S.; Chellappandian, M.; Radhakrishnan, N.; Rajagopal, R.; Patcharin, K. Bio-Efficacy of Chloroform Crude Extracts of Chick Weed Ageratum conyzoides (Linn.) against the Tobacco Cutworm Spodoptera litura (Linn.) and Their Non-Toxicity against the Beneficial Earthworm. J. King Saud Univ.Sci. 2024, 36, 102930. [Google Scholar] [CrossRef]
- Boutjagualt, I.; Hmimid, F.; Errami, A.; Bouharroud, R.; Qessaoui, R.; Etahiri, S.; Benba, J. Chemical Composition and Insecticidal Effects of Brown Algae (Fucus Spiralis) Essential Oil against Ceratitis Capitata Wiedemann (Diptera: Tephritidae) Pupae and Adults. Biocatal. Agric. Biotechnol. 2022, 40, 102308. [Google Scholar] [CrossRef]
- Khan, R.A.; Naveed, M. Occurrence and Seasonal Abundance of Fruit Fly, Bactrocera zonata Saunders (Diptera: Tephritidae) in Relation to Meteorological Factors. Pak. J. Zool. 2017, 49, 999–1003. [Google Scholar] [CrossRef]
- Shabana, Y.M.; Abdalla, M.E.; Shahin, A.A.; El-Sawy, M.M.; Draz, I.S.; Youssif, A.W. Efficacy of Plant Extracts in Controlling Wheat Leaf Rust Disease Caused by Puccinia triticina. Egypt. J. Basic Appl. Sci. 2017, 4, 67–73. [Google Scholar] [CrossRef]
- Sayed, S.; Soliman, M.M.; Al-Otaibi, S.; Hassan, M.M.; Elarrnaouty, S.A.; Abozeid, S.M.; El-Shehawi, A.M. Toxicity, Deterrent and Repellent Activities of Four Essential Oils on Aphis punicae (Hemiptera: Aphididae). Plants 2022, 11, 463. [Google Scholar] [CrossRef]
- Bordin, T.A.; Henning, L.d.L.; Rodrigues, M.G.; Oldoni, T.L.C.; Carvalho, G.A.; Potrich, M.; Lozano, E.R. Toxicity of the Hexane Fraction of Fruits and Seeds of Ricinus communis to Caterpillars of the Spodoptera complex. Agriculture 2023, 13, 1124. [Google Scholar] [CrossRef]
- Panneerselvam, C.; Murugan, K.; Kovendan, K.; Kumar, P.M.; Ponarulselvam, S.; Amerasan, D.; Subramaniam, J.; Hwang, J.S. Larvicidal Efficacy of Catharanthus roseus Linn. (Family: Apocynaceae) Leaf Extract and Bacterial Insecticide Bacillus thuringiensis against Anopheles stephensi Liston. Asian Pac. J. Trop. Med. 2013, 6, 847–853. [Google Scholar] [CrossRef]
- Khoshraftar, Z.; Safekordi, A.A.; Shamel, A.; Zaefizadeh, M. Synthesis of Natural Nanopesticides with the Origin of Eucalyptus globulus Extract for Pest Control. Green Chem. Lett. Rev. 2019, 12, 286–298. [Google Scholar] [CrossRef]
- Campolo, O.; Cherif, A.; Ricupero, M.; Siscaro, G.; Grissa-Lebdi, K.; Russo, A.; Cucci, L.M.; Di Pietro, P.; Satriano, C.; Desneux, N.; et al. Citrus Peel Essential Oil Nanoformulations to Control the Tomato Borer, Tuta absoluta: Chemical Properties and Biological Activity. Sci. Rep. 2017, 7, 13036. [Google Scholar] [CrossRef] [PubMed]
- Sotelo-Leyva, C.; Salinas-Sánchez, D.O.; Peña-Chora, G.; Trejo-Loyo, A.G.; González-Cortázar, M.; Zamilpa, A. Insecticidal Compounds in Ricinus communis L. (Euphorbiaceae) to Control Melanaphis sacchari Zehntner (Hemiptera: Aphididae). Fla. Entomol. 2020, 103, 91–95. [Google Scholar] [CrossRef]
- Abdul, W.; Hajrah, N.; Sabir, J.; Al-Garni, S.; Sabir, M.; Kabli, S.; Saini, K.; Bora, R. Therapeutic Role of Ricinus communis L. and Its Bioactive Compounds in Disease Prevention and Treatment. Asian Pac. J. Trop. Med. 2018, 11, 177–185. [Google Scholar] [CrossRef]
- Laosinwattana, C.; Wichittrakarn, P.; Teerarak, M. Chemical Composition and Herbicidal Action of Essential Oil from Tagetes erecta L. Leaves. Ind. Crop. Prod. 2018, 126, 129–134. [Google Scholar] [CrossRef]
- Nour, I.H.; Alhadead, K.; Ellmouni, F.Y.; Badr, R.; Saad, T.I.; EL-Banhawy, A.; Abdel Rahman, S.M. Morphological, Anatomical and Chemical Characterization of Ricinus communis L. (Euphorbiaceae). Agronomy 2023, 13, 985. [Google Scholar] [CrossRef]
- Ramos-López, M.A.; González-Chávez, M.M.; Cárdenas-Ortega, N.C.; Zavala-Sánchez, M.A.; Pérez, G.S. Activity of the Main Fatty Acid Components of the Hexane Leaf Extract of Ricinus communis against Spodoptera frugiperda. Afr. J. Biotechnol. 2012, 11, 4274–4278. [Google Scholar] [CrossRef]
- Manzoor, S.; Akbar, R.; Hussain, A.; Ali, A.; Faheem, B.; Zaman, M.; Farid, A.; Hussain, I.; Khan, A.I.; Parveen, K.; et al. Toxicity effect of Ricinus communis methanolic extracts against Bactrocera cucurbitae (Diptera: Tephritidae). Plant. Protect. Sci. 2024, 1–12. [Google Scholar] [CrossRef]
- Khan, I.A.; Hussain, S.; Akbar, R.; Saeed, M.; Farid, A.; Ali, I.; M Alam, M.; Shah, B. Efficacy of a biopesticide and synthetic pesticides against tobacco aphid, Myzus persicae Sulz.(Homoptera, Aphididae), on tobacco in Peshawar. J. Entomol. Zool. Stud. 2015, 4, 371–373. [Google Scholar]
- Waris, M.; Nasir, S.; Abbas, S.; Azeem, M.; Ahmad, B.; Khan, N.A.; Hussain, B.; Al-Ghanim, K.A.; Al-Misned, F.; Mulahim, N.; et al. Evaluation of Larvicidal Efficacy of Ricinus communis (Castor) and Synthesized Green Silver Nanoparticles against Aedes aegypti L. Saudi J. Biol. Sci. 2020, 27, 2403–2409. [Google Scholar] [CrossRef] [PubMed]
- Amandeep Singh, J.K. Toxicity of Leaf Extracts of Ricinus communis L. (Euphorbiaceae) against the Third Instar Larvae of Musca domestica L. (Diptera: Calliphoridae). J. Biosci. 2016, 4, 5–10. [Google Scholar]




| Time | Concentration | Mortality (%) | LC50 (%) | LC90 (%) | F | p | Slope |
|---|---|---|---|---|---|---|---|
24 h | 0.5% | 13.00 c | 5.027 (3.39–24.37) | 27.46 (27.46–10.05) | 6.67 | 0.014 | 1.19 + 0.45 |
| 1.0% | 20.00 bc | ||||||
| 1.5% | 34.00 ab | ||||||
| 2.0% | 40.00 a | ||||||
| Control | 0.00 ns | ||||||
| LSD (0.05) for concentration = 15.373 | |||||||
48 h | 0.5% | 22.00 b | 4.204 (2.56–5.33) | 20.41 (11.94–26.77) | 6.05 | 0.0187 | 0.81 + 0.38 |
| 1.0% | 29.00 b | ||||||
| 1.5% | 35.00 ab | ||||||
| 2.0% | 50.00 a | ||||||
| Control | 6.00 ns | ||||||
| LSD (0.05) for concentration = 16.078 | |||||||
72 h | 0.5% | 30.00 c | 1.60 (1.60–0.73) | 10.31 (5.27–20.00) | 10.03 | 0.0040 | 0.75 + 0.33 |
| 1.0% | 45.00 bc | ||||||
| 1.5% | 53.33 b | ||||||
| 2.0% | 77.00 a | ||||||
| Control | 13.00 ns | ||||||
| LSD (0.05) for concentration = 19.78 | |||||||
| Time | Concentration | Mortality (%) | LC50 (%) | LC90 (%) | F | p | Slope |
|---|---|---|---|---|---|---|---|
24 h | 0.5% | 20.00 b | 5.72 (3.29–324.74) | 67.09 (13.16–15.68) | 3.89 | 0.0553 | 1.38 + 0.45 |
| 1.0% | 27.00 b | ||||||
| 1.5% | 34.00 ab | ||||||
| 2.0% | 48.00 a | ||||||
| Control | 0.00 ns | ||||||
| LSD(0.05) for concentration = 18.828 | |||||||
48 h | 0.5% | 40.00 b | 2.01 (0.01–6.14) | 34.80 (8.52–45.79) | 3.77 | 0.0593 | 1.08 + 0.34 |
| 1.0% | 47.00 b | ||||||
| 1.5% | 53.00 ab | ||||||
| 2.0% | 66.00 a | ||||||
| Control | 0.00 ns | ||||||
| LSD(0.05) for concentration = 19.185 | |||||||
72 h | 0.5% | 53.00 b | 0.94 (0.12–1.47) | 6.75 (3.82–124.48) | 4.33 | 0.0432 | 0.42 + 0.31 |
| 1.0% | 66.00 ab | ||||||
| 1.5% | 73.00 ab | ||||||
| 2.0% | 86.60 a | ||||||
| Control | 13.00 ns | ||||||
| LSD(0.05) for concentration = 21.961 | |||||||
| Time | Concentration | Mortality (%) | LC50 (%) | LC90 (%) | F | p | Slope |
|---|---|---|---|---|---|---|---|
24 h | 0.5% | 20.00 b | 5.72 (3.29–234.15) | 67.09 (13.16–15.68) | 3.89 | 0.0553 | 1.10 + 0.44 |
| 1.0% | 27.00 b | ||||||
| 1.5% | 33.00 ab | ||||||
| 2.0% | 46.00 a | ||||||
| Control | 0.00 ns | ||||||
| LSD(0.05) for concentration = 18.828 | |||||||
48 h | 0.5% | 31.00 c | 2.94 (1.64–4.26) | 48.82 (10.29–42.78) | 8.24 | 0.0079 | 0.80 + 0.38 |
| 1.0% | 38.00 bc | ||||||
| 1.5% | 45.00 b | ||||||
| 2.0% | 58.00 a | ||||||
| Control | 0.00 ns | ||||||
| LSD(0.05) for concentration = 13.381 | |||||||
72 h | 0.5% | 38.00 b | 1.38 (0.00–2.27) | 22.80 (6.82–26.91) | 4.00 | 0.0519 | 0.889 + 0.35 |
| 1.0% | 46.00 b | ||||||
| 1.5% | 53.00 ab | ||||||
| 2.0% | 67.00 a | ||||||
| Control | 13.00 ns | ||||||
| LSD(0.05) for concentration = 20.697 | |||||||
| Types of Solvents | Name of Compounds | Class | % Composition | Retention Time | Function of Compounds |
|---|---|---|---|---|---|
| ethyl acetate | Neophytadiene | Diterpenes | 1.26% | 6.75 | Neophytadiene is a natural organic compound belonging to the class of compounds known as diterpenes. Neophytadiene may have antioxidant properties and could play an important role in the defense mechanisms of plants against environmental stressors [18]. |
| Beta-L-Arabinopyranoside | Glycosides | 0.63% | 1.32 | Beta-L-arabinopyranoside is a chemical compound that belongs to the group of arabinosides. These types of compounds are found in various natural sources, including plants and microorganisms. Some glycosides play essential roles in the bioactivity of various natural compounds, such as flavonoids, alkaloids, and other secondary metabolites. These compounds can have antioxidant, anti-inflammatory, or other biological effects [19]. | |
| 11,14,17-Eicosatrienoicacid | Fatty Acid | 11.51% | 11.87 | 11,14,17-Eicosatrienoic acid, often referred to as 11,14,17-ETA, is a member of the polyunsaturated fatty acid family. Eicosatrienoic acids have anti-inflammatory, anti-thrombotic, and anticancer properties. It also inhibits platelet aggregation [20,21]. | |
| Cyclobarbital | Barbiturates | 20.45% | 19.83 | Cyclobarbital belongs to the class of drugs known as barbiturates. Barbiturates function as depressants for the central nervous system and can produce sedative, hypnotic, and anesthetic effects [22]. | |
| Trans-Cis, 1,8-Dimethylspiro [4] | Spiro compound | 21.44% | 9.19 | Trans-cis, 1,8-dimethylspiro [4], also known as trans-cis-1,8-dimethylspiro[4,5]decane, exhibits antifungal, antimicrobial, and potential anticancer biological properties [23]. | |
| 3-Methyl-2-(2-Oxopropyl)Furan | Furan | 0.05% | 13.05 | 3-Methyl-2-(2-oxopropyl)furan, also known as mesifuran, exhibits antimicrobial, antioxidant, and anti-inflammatory biological properties [24]. | |
| Methanol | 3-Methyl-2-(2-Oxopropyl)Furan | Furan | 0.005% | 16.92 | 3-Methyl-2-(2-oxopropyl)furan, also known as mesifuran, exhibits antimicrobial, antioxidant, and anti-inflammatory biological properties [24]. |
| N-Hexadecanoic Acid | Acid | 9.77% | 9.56 | N-Hexadecanoic acid, also known as palmitic acid, exhibits antimicrobial, antioxidant, and anti-inflammatory biological properties [25]. | |
| 5-Hydroxymethylfurfural | Furan | 81.79% | 3.57 | 5-Hydroxymethylfurfural (5-HMF) is a chemical compound with the molecular formula C6H6O3 that is soluble in water and various organic solvents, including ethanol and methanol. 5-Hydroxymethylfurfural belongs to the furan family of organic compounds. The compound 5-HMF causes oxidative stress, disturbs glucose and lipid metabolism, and induces intestinal damage, damaging related signaling pathways, and ultimately affecting the development of various chemical reactions [26]. | |
| Neophytadiene | Di terpenes | 1.42% | 6.61 | Neophytadiene is a natural organic compound belonging to the class of compounds known as diterpenes. They kill the larvae of mosquitoes [18]. | |
| 3-Methyl-2-(2-Oxopropyl)Furan | Furan | 0.09% | 6.81 | 3-Methyl-2-(2-oxopropyl)furan, also known as mesifuran, exhibits antimicrobial, antioxidant, and anti-inflammatory biological properties [27]. | |
| 11,14,17-Eicosatrienoicacid | Fatty Acid | 3.29% | 10.84 | The term “11,14,17-eicosatrienoic acid” refers to a type of fatty acid. Specifically, it is an omega-3 polyunsaturated fatty acid. They are known for their anti-inflammatory and cardioprotective properties. They have also larvicidal activity against Culex quinquefasciatus [21]. | |
| n-hexane | Neophytadiene | Di terpenes | 7.53% | 6.69 | Neophytadiene may have antioxidant properties and could play an important role in the defense mechanisms of plants against environmental stress, in addition to having some larvicidal properties [18]. |
| L-(+)-Ascorbic Acid 2,6-Dihexa | Acid | 17.07% | 9.60 | Dihexadecanoate is a term that refers to a compound derived from hexadecanoic acid (also called palmitic acid). It is a saturated fatty acid and belongs to the family of carboxylic acids. L-(+)-ascorbic acid dihexadecanoate has antibacterial, antitumor, and wound healing properties [28]. | |
| I-Propyl 9,12,15-Octadecatrien | Polyunsaturated Fatty Acids | 9.67% | 14.32 | “1-Propyl” suggests the presence of a propyl group attached to the compound. A propyl group consists of three carbon atoms (C3H7). “9,12,15-Octadecatrien” indicates the carbon atom positions and the number of double bonds in a long hydrocarbon chain. In this case, there are 18 carbon atoms (octadeca-) arranged in a chain with three double bonds (-triene). The numbers 9, 12, and 15 specify the positions of the double bonds within the chain. The biological roles of compounds related to linolenic acid often involve anti-inflammatory and antioxidant functions [29]. | |
| Phenol,3,5-Bis(1,1-Dimethylethyl)- | Phenol | 28.95% | 4.36 | Phenol, 3,5-bis(1,1-dimethylethyl)-, commonly known as 2,6-di-tert-butylphenol, is an organic compound with the chemical formula C14H22O. It exhibits antioxidant, antimicrobial, and anti-inflammatory biological properties [30]. | |
| 2-METHYL-3-(3-METHYL-BUT-2-ENY | isoprenes | 35.91% | 0.874 | They have effective anti-insect activity against pupal and adult fruit flies [31]. |
| Name of the Compounds | R-Square | p-Value | LC50 |
|---|---|---|---|
| Neophytadiene | 0.21 | 0.005 | 0.09 |
| 11,14,17-Eicosatrienoic Acid | 0.64 ** | 0.000 | 1.36 |
| 3-Methyl-2-(2-oxopropyl)Furan | 0.04 | 0.264 | 1.6934 |
| Hentricontane | 0.04 | 0.232 | 0.0003 |
| Trans-cis, 1,8-Dimethylspiro [4 | 0.60 ** | 0.000 | 4.273 |
| Tetradecanoic acid 10,13,Dime | 0.23 * | 0.017 | 0.0234 |
Disclaimer/Publisher’s Note: The statements, opinions and data contained in all publications are solely those of the individual author(s) and contributor(s) and not of MDPI and/or the editor(s). MDPI and/or the editor(s) disclaim responsibility for any injury to people or property resulting from any ideas, methods, instructions or products referred to in the content. |
© 2024 by the authors. Licensee MDPI, Basel, Switzerland. This article is an open access article distributed under the terms and conditions of the Creative Commons Attribution (CC BY) license (https://creativecommons.org/licenses/by/4.0/).
Share and Cite
Akbar, R.; Manzoor, S.; Azad, R.; Makai, G.; Rahim, J.; Sheikh, U.A.A.; Ali, A.; Aziz, T.; Ahmad, H.I.; Ahmed, M.; et al. Botanical Pesticides: Role of Ricinus communis in Managing Bactrocera zonata (Tephritidae: Diptera). Insects 2024, 15, 959. https://doi.org/10.3390/insects15120959
Akbar R, Manzoor S, Azad R, Makai G, Rahim J, Sheikh UAA, Ali A, Aziz T, Ahmad HI, Ahmed M, et al. Botanical Pesticides: Role of Ricinus communis in Managing Bactrocera zonata (Tephritidae: Diptera). Insects. 2024; 15(12):959. https://doi.org/10.3390/insects15120959
Chicago/Turabian StyleAkbar, Rasheed, Sadia Manzoor, Rashid Azad, Gul Makai, Junaid Rahim, Umer Ayyaz Aslam Sheikh, Amjad Ali, Tariq Aziz, Hafiz Ishfaq Ahmad, Mukhtar Ahmed, and et al. 2024. "Botanical Pesticides: Role of Ricinus communis in Managing Bactrocera zonata (Tephritidae: Diptera)" Insects 15, no. 12: 959. https://doi.org/10.3390/insects15120959
APA StyleAkbar, R., Manzoor, S., Azad, R., Makai, G., Rahim, J., Sheikh, U. A. A., Ali, A., Aziz, T., Ahmad, H. I., Ahmed, M., Du, D., & Sun, J. (2024). Botanical Pesticides: Role of Ricinus communis in Managing Bactrocera zonata (Tephritidae: Diptera). Insects, 15(12), 959. https://doi.org/10.3390/insects15120959

