Simple Summary
A deep understanding of the role of Toll receptors in the innate immunity of insects is mostly restricted to the model insect Drosophila melanogaster, and much more research is needed to reveal their role in other insects. This article focuses on the BmToll9-2 receptor, one of 14 Toll-related receptors in the silkworm, Bombyx mori. Similarly to its closely related paralog, BmToll9-1, BmToll9-2 acts as a positive regulator of the innate humoral response in the midgut of silkworm larvae, as evidenced by RNAi and bacterial challenge experiments. More specifically, the expression level of BmToll9-2 is positively correlated with those of intermediary genes in the Toll signaling pathway as well as with immune effector genes, such as antimicrobial peptides. Consequently, both Toll9 receptors in the silkworm, BmToll9-1 and BmToll9-2, act redundantly to stimulate antibacterial activity and immune-related gene expression in the Toll pathway.
Abstract
Toll receptors play important roles in the development and innate immunity of insects. Previously, we reported the immunological function of BmToll9-2 in silkworm, Bombyx mori, larvae. In this study, we focused on the role of BmToll9-2 as a regulator in the Toll signaling pathway. The expressions of most signaling genes in the Toll pathway, as well as immune effectors, were reduced after the RNAi of BmToll9-2. Coincidentally, hemolymph from BmToll9-2-silenced larvae exhibited decreased antibacterial activity in the growth of Escherichia coli, demonstrated either by growth curve or inhibitory zone experiments. The oral administration of heat-inactivated E. coli and Staphylococcus aureus following the RNAi of BmToll9-2 up-regulated the expression of most signaling genes in the Toll pathway and downstream immune effectors. The above results indicate that BmToll9-2 is positively involved in the Toll signaling pathway. As a positive regulator, BmToll9-2 is shown to be activated preferentially against E. coli and, in turn, positively modulates the humoral immune response in antibacterial activity.
1. Introduction
Insects have existed on Earth for more than 350 million years, preceding the age of dinosaurs and the emergence of flowering plants. Therefore, they have evolved powerful immunity. Unlike mammals that mainly depend on adaptive immunity, insects only have innate immunity which provides the first line of defense against invading pathogens such as viruses, bacteria, and fungi [1]. In general, innate immunity in insects comprises cellular and humoral immunity. Cellular immunity is directly mediated by hemocytes (e.g., phagocytosis, nodulation, and encapsulation). Humoral immunity consists of the synthesis of antimicrobial peptides (AMPs) to defend against pathogens, which is regulated by several immune signaling pathways such as Toll, immune deficiency (IMD), Janus kinase/signal transducers and activators of transcription (Jak/Stat), and other pathways [2]. Among these immune signaling pathways, the Toll pathway is triggered after the ligand Spätzle binds to Toll [3]. Therefore, Toll receptors function as bridges to connect signaling transduction from the outside to the inside of cells.
Toll was originally identified in Drosophila melanogaster as a gene controlling dorsal–ventral polarity during embryo development [4]. It was later found to be a transmembrane receptor [5] and involved in anti-fungal immunity [2]. Another eight Toll genes were identified in subsequent studies and proved to function in the innate immune response in Drosophila [6]. Drosophila Toll receptors are not typical pattern-recognition receptors (PRRs) that directly recognize pathogen-associated molecular patterns (PAMPs) to regulate the innate immune defense [7]. Several downstream factors are involved in the Toll signaling pathway, including MyD88, Tube, Pelle, Cactus, and Rel. Intercellular components such as Tollip, Pellino, TNF receptor-associated factor-2 (TRAF2), and ECSIT are also involved in the Toll signaling pathway [8]. Among them, Tollip is a Toll-interacting protein that is a critical regulator of Toll-like receptor (TLR)-mediated innate immune responses.
The silkworm, Bombyx mori, is a domesticated insect in China with economic importance in agriculture. It is the first lepidopteran insect to have its genome sequenced and published in a public database [9], which confirmed the silkworm as a model insect in studies for gene functions and innate immune responses in Lepidoptera. Regarding Toll signaling pathways, 14 Toll-related genes have been identified in the B. mori genome, which are phylogenetically divided according to functions related to immunity and various other processes [8,10]. Although there are 14 Toll-related genes present in silkworms, current publications are focused on the Toll9 gene, despite the fact that Toll7 was the first Toll gene that was cloned [11] (Table 1).
Table 1.
Current studies on Toll receptor genes in Bombyx mori.
In immunity-related Toll receptors, Toll9 is a conserved receptor which is well studied for its role in immunity. Two Toll9 receptors, BmToll9-1 and BmToll9-2, are present in the silkworm. BmToll9-1 was the first reported Toll9 receptor, which is abundant in the gut to respond to the invasion of different microbial pathogens [12]. We previously reported that the transcription of BmToll9-1 was reduced after lipopolysaccharide (LPS) or double-stranded RNA (dsRNA) was injected into silkworm larvae [13]. We also found that LPS inhibited AMP genes and genes in the IMD and Jak/Stat pathways in silkworm-derived Bm5 cells overexpressing the BmToll9-1 receptor [14]. BmToll9-1 was induced by Beauveria bassiana challenge [15]. The knockdown of BmToll9-1 led to a higher accumulation of nuclear polyhedrosis virus (BmNPV) [16]. A two-hybrid experiment on yeast showed that BmToll9-1 could interact with BmSpz2, which in turn induced the expression of AMPs [17]. BmToll9-1 was later proved to be a PRR for the LPS signaling pathway [18]. RNA interference (RNAi) has evolved into a potent tool for gene functional studies in fundamental research, even though RNAi in silkworms is weak compared to that in other orders of insects. However, the first successful lepidopteran RNAi report was the knockdown of a pigment gene in Bombyx [21], which suggests that RNAi is feasible in silkworms. A comprehensive analysis in Lepidoptera showed that immunity-related genes had a higher RNAi efficiency [22]. In our recent report, the successful knockdown of BmToll9-1 resulted in smaller and lighter larvae and cocoons. Meanwhile, BmToll9-1 positively regulated the downstream signaling and AMP genes, which caused increased antibacterial activity against Escherichia coli [19]. Although BmToll9-1 and BmToll9-2 are phylogenetically close to each other, studies on BmToll9-2 are far fewer in comparison [20]. Meanwhile, both BmToll9-1 and BmToll9-2 are two distinct genes. The role of BmToll9-2 cannot be presumed based on the work on BmToll9-1. It can only be confirmed by experimental data.
Previously, we characterized the immunological function of BmToll9-2 in the silkworm larval midgut. BmToll9-2 was activated by E. coli and LPS. The RNAi-mediated knockdown of BmToll9-2 reduced the weight and growth of the silkworm. Bacterial challenge following RNAi up-regulated the expression of BmToll9-2 and rescued the weight differences in the silkworm [20]. In this follow-up study, we focus on the role of BmToll9-2 in regulating the downstream genes in the Toll pathway, which positively modulates the humoral immune response and antibacterial activity in hemolymph.
2. Materials and Methods
2.1. Insect Rearing and Bacterial Culture
B. mori silkworms were provided by Guangdong Academy of Agricultural Sciences. The larvae were reared daily on fresh mulberry leaves and cultured at 25 ± 1 °C, with a photoperiod of 12 L:12 D, with a relative humidity of 75 ± 5%. The bacteria E. coli (Gram-negative) and Staphylococcus aureus (Gram-positive) were maintained in our laboratory, which were inoculated at 37 °C for 2–3 h in Luria–Bertani (LB) liquid medium until the OD600 = 0.5 was achieved prior to use.
2.2. RNAi Protocol and Bacterial Challenge to Larvae
A detailed protocol to silence the target gene in the silkworm larvae was described in our recent publication [20]. More studies on RNAi in silkworms can be found in recent publications [23,24]. Briefly, dsRNA corresponding to BmToll9-2 (dsBmToll9-2) was generated with the T7 RiboMAX Express RNAi System (Promega). RNAi was performed by injecting dsBmToll9-2 into 5th-instar larvae between the 2nd and 3rd abdominal segment on day 1 after molting (N = 50 per treatment for each repeat). The negative control consisted of injecting dsRNA corresponding to green fluorescent protein (GFP). The midgut samples were collected 24 h after the RNAi treatment for subsequent analysis.
The larvae, after the RNAi above, were subjected further to bacterial challenge. The bacteria were centrifuged at 8000× g for 5 min. The cell pellets were resuspended with sterile water at roughly 5 × 108 cells/mL and then heated at 80 °C for 5 min. Each larva was provided with the same size of a mulberry leaf disk coated with 10 μL of bacterial solution. The midgut samples were collected 24 h after the feeding of bacteria for subsequent analysis.
2.3. RNA Extraction and cDNA Synthesis
Total RNA was extracted from midgut tissue using RNAiso Plus (TaKaRa, Kusatsu, Japan). The RNA was then digested with RNase-free DNase I (TaKaRa) to remove the genomic DNA. Complementary DNA (cDNA) was synthesized with the PrimeScript RT Reagent Kit (Perfect Real Time) (TaKaRa) using Oligo dT and Random 6-mers as primers. The cDNA was used in subsequent qPCR reactions.
2.4. Quantitative Real-Time PCR (qPCR)
The qPCR reaction was performed using the GoTaq qPCR Master Mix (Promega, Madison, WI, USA). Thermal amplification was performed with the CFX Connect Real-Time System (Bio-Rad, Hercules, CA, USA) as follows: 95 °C for 2 min, 40 cycles of 95 °C for 15 s, and 57 °C for 30 s. Each signaling gene in the signaling pathway and each representative effector gene were selected [8]. Primers were designed to detect the signaling genes and effector genes. Translation initiation factor 4A (BmTIF4A) and translation initiation factor 3 subunit 4 (BmTIF3s4) were used as reference genes (Table 2). The normalization of transcripts was calculated after the geometric averaging of the reference genes. The relative transcripts of the target genes were determined with the 2−ΔΔCT method [25]. A list of the primers of the genes that were evaluated, together with their Genbank accession numbers, is presented in Table 2.
Table 2.
A list of primers used in this study.
2.5. Antibacterial Activity Experiments
Antibacterial activity experiments were performed as described in our recent publication [19]. Larval hemolymph was isolated 24 h after the RNAi treatment. The hemolymph was boiled at 100 °C for 5 min and centrifuged at 4 °C at 10,000 rpm for 10 min, and the supernatant was collected and stored at −20 °C [26].
For the bacterial growth curve experiment, E. coli and S. aureus were cultured in LB medium at 37 °C with shaking at 200 rpm until an OD600 = 0.3 was achieved. A total of 80 µL of bacterial culture was mixed with 20 µL of heat-treated hemolymph to a final volume of 100 µL in a 96-well plate. The plate was incubated at 37 °C and the OD600 was measured every hour with an Infinite M Plex microplate reader (Tecan, Männedorf, Switzerland).
For the inhibition zone experiment, LB agar medium was melted by heating and then cooled to approximately 50 °C. E. coli and S. aureus (OD600 = 0.3) were added to the medium at ratios of 1:100 and 1.5:100, respectively, mixed well, and poured into Petri dishes. Filter paper disks of ∼6 mm in diameter were placed on the agar medium, and 20 μL of heat-treated hemolymph was spotted on the filter paper disk. A total of 20 μL of sterile water or ampicillin (20 ng/μL) was added separately as a negative or positive control. The Petri dishes were incubated overnight in an incubator at 37 °C. The diameter of the inhibition zone of bacterial replication was observed the next day.
2.6. Data Analysis
Statistical analysis was performed using one-way ANOVA using SPSS version 26.0. Data were plotted in GraphPad Prism v10.0 and expressed as the mean ± standard deviation of replicates from three biological replications. The knockdown rate was compared to the control using the mean values and converted into percentages.
3. Results
3.1. The Silencing of BmToll9-2 Reduced the Expression of Signaling Genes in the Toll Pathway
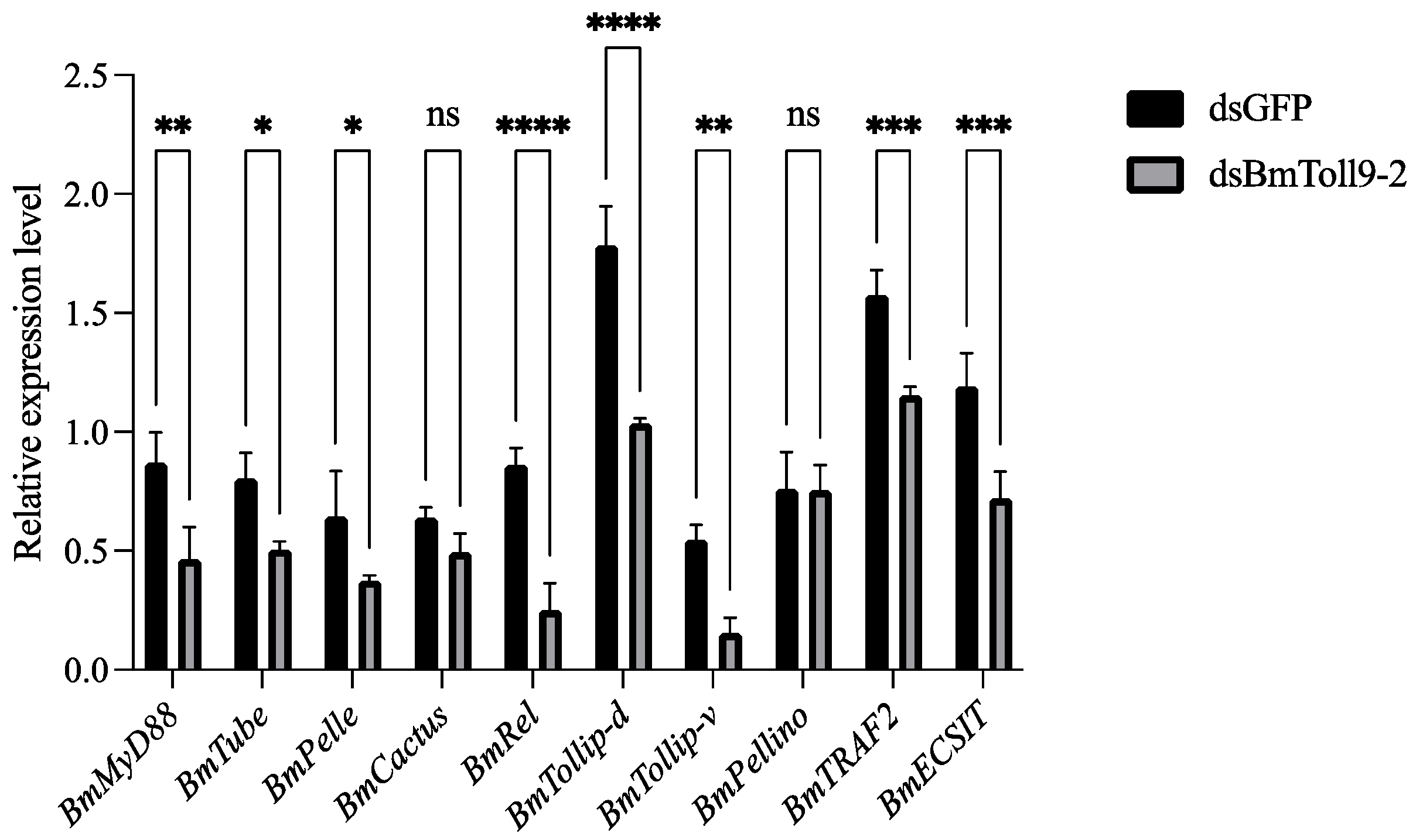
Our recent publication indicated that the RNAi of BmToll9-2 was the most effective in the midgut, with a 69.73% knockdown after 24 h [20]. To evaluate whether the silencing of BmToll9-2 affected components in the Toll pathway, downstream signaling genes in the midgut tissues were detected after the RNAi of BmToll9-2 (Figure 1). Compared to the control group (injection with dsGFP), the signaling genes in the Toll pathway, except BmCactus and BmPellino, were significantly down-regulated in the RNAi group (injection with dsBmToll9-2). BmMyD88, BmTube, BmPelle, and BmRel were significantly inhibited by 46.55%, 37.27%, 41.86%, and 70.93%, respectively. BmTollip-d, BmTollip-v, BmTRAF2, and BmECSIT were significantly suppressed by 42.02%, 71.56%, 26.67%, and 39.50%, respectively.
Figure 1.
The relative expression of signaling genes in the Toll pathway after the RNAi of BmToll9-2. Larvae of the 5th instar were injected with dsBmToll9-2, and dsGFP served as a control. Data are represented as the means ± standard deviations of three biological replications. Asterisks indicate significant differences from dsGFP injection groups: * p < 0.05; ** p < 0.01; *** p < 0.001; and **** p < 0.0001. ns, not significant.
3.2. Silencing of BmToll9-2 Reduced Expression of Downstream Effector Genes
Similarly, midgut samples were used to detect the expression of 11 effector genes (Figure 2). Compared to the control group, most AMP genes were down-regulated in the RNAi group. The Cecropin gene, BmCecA, was significantly down-regulated by 77.18%. The Gloverin gene, BmGlv1, was significantly decreased by 96.86%. The Moricin gene, BmMor, showed a significant 79.89% reduction. The Lebocin and Enbocin genes, BmLeb3 and BmEnb, were significantly reduced by 65.82% and 74.56%, respectively. The Attacin gene, BmAtt1, was down-regulated, although the differences were not statistically different. The Defensin gene, BmDef, showed no significant differences in both groups.
Figure 2.
The relative expression of immune effector genes after the RNAi of BmToll9-2. Larvae of the 5th instar were injected with dsBmToll9-2, and dsGFP served as a control. Data are represented as the means ± standard deviations of three biological replications. Asterisks indicate significant differences from dsGFP injection groups: * p < 0.05; ** p < 0.01; and **** p < 0.0001. ns, not significant.
For the other effector genes, the Lysozyme gene, BmLys, was significantly reduced by 90.44%. The prophenoloxidase (BmPPO1) and phenoloxidase inhibitor (BmPOI) genes, involved in melanization, were down-regulated, but only BmPOI was significantly down-regulated by 90.44%. The gene encoding nitric oxide synthase, BmNOS1, was significantly reduced by 65.84%.
3.3. Silencing of BmToll9-2 Decreased Antibacterial Activity
To further investigate whether the silencing of BmToll9-2 affected the humoral immune response in the silkworm larvae, hemolymph was collected for antibacterial activity assays against the Gram-negative bacterium E. coli and the Gram-positive bacterium S. aureus.
The E. coli bacterial growth curve experiment showed that in the presence of hemolymph from the BmToll9-2-silenced larvae, the bacteria grew better than in the presence of hemolymph from the control group, with significant differences between 2 and 10 h (Figure 3A). In the inhibition zone experiment, both ampicillin and dsGFP-injected hemolymph showed antibacterial activity in the E. coli plate, while sterile water and dsBmToll9-2-injected hemolymph displayed no inhibitory effects (Figure 3B).
Figure 3.
Antibacterial activity assays of B. mori hemolymph against E. coli and S. aureus after RNAi of BmToll9-2. Hemolymph was collected 24 h after dsRNA injection and tested for antibacterial activity. (A) Bacterial growth curve experiment. (B) Inhibition zone experiment. dsBmToll9-2: hemolymph from larvae injected with dsBmToll9-2; dsGFP: hemolymph from larvae injected with dsGFP; H2O: sterile water; antibiotic: ampicillin. Asterisks indicate significant differences from dsGFP injection groups: * p < 0.05 and *** p < 0.001.
As for S. aureus, the dsBmToll9-2-injected hemolymph showed a significant difference in the bacterial growth curve after 6 h (Figure 3A). However, the dsBmToll9-2-injected hemolymph showed no significant differences in the inhibition zone experiment (Figure 3B). The above results indicated that the hemolymph of the silkworm larvae lost antibacterial activity when BmToll9-2 was silenced, which might preferentially act against Gram-negative bacteria.
3.4. Bacterial Challenges Following the RNAi of BmToll9-2 Induced Signaling Genes in the Toll Pathway
In our recent report, bacterial challenges by the feeding of E. coli and S. aureus induced the expression of BmToll9-2 in multiple tissues. Bacterial challenges following RNAi up-regulated the expression of BmToll9-2 in the midgut [19]. This phenomenon was interpreted as a “hyper-induction” following a positive feedback mechanism that reacted to the depletion of BmToll9-2 by the RNAi. In order to further confirm the role of bacterial infection as a trigger between BmToll9-2 and downstream genes in the Toll pathway, signaling genes were detected after bacterial challenges following the RNAi of BmToll9-2 (Figure 4).
Figure 4.
The relative expression of signaling genes in the Toll pathway following challenges with heat-inactivated bacteria after the RNAi of BmToll9-2. Larvae of 5th instar were injected with dsBmToll9-2 or dsGFP. Then, the larvae were fed with heat-killed (A) E. coli or (B) S. aureus. Data are represented as the means ± standard deviations of three biological replications. Asterisks indicate significant differences from dsGFP injection groups: * p < 0.05; ** p < 0.01; and **** p < 0.0001. ns, not significant.
Compared to the control group, the feeding of heat-inactivated E. coli to larvae after the RNAi of BmToll9-2 increased the relative expression of most signaling genes (Figure 4A). BmMyD88, BmTube, and BmPelle were significantly induced by 2.12, 1.73, and 2.01 folds, respectively. BmRel and BmTollip-d were significantly up-regulated by 2.80 and 3.34 folds. BmTRAF2 and BmECSIT showed a significant induction by 1.94 and 3.94 folds, respectively. BmCactus, BmTollip-v, and BmPellino showed no significant differences between the two treatments.
Similarly, the feeding of heat-inactivated S. aureus to larvae following the RNAi of BmToll9-2 up-regulated the relative expression of most signaling genes, though with a lower intensity (Figure 4B). BmTube and BmPelle were significantly induced by 1.80 and 2.55 folds, respectively. BmRel, BmTollip-d, and BmTollip-v were significantly up-regulated by 1.61, 2.46, and 2.39 folds. BmECSIT showed a significant induction by 1.86 folds. BmMyD88, BmCactus, BmPellino, and BmTRAF2 showed no significant differences between the two treatments.
3.5. Bacterial Challenges Following RNAi of BmToll9-2 Induced Downstream Effector Genes
In order to further verify the relationship between BmToll9-2 and downstream effector genes, the same samples after bacterial challenges following the RNAi above were further investigated, which showed that the feeding of heat-inactivated bacteria induced most downstream effector genes (Figure 5).
Figure 5.
The relative expression of immune effector genes following challenges with heat-inactivated bacteria after the RNAi of BmToll9-2. Larvae of 5th instar were injected with dsBmToll9-2 or dsGFP. Then, the larvae were fed with heat-killed (A) E. coli or (B) S. aureus. Data are represented as the means ± standard deviations of three biological replications. Asterisks indicate significant differences from dsGFP injection groups: * p < 0.05; ** p < 0.01; *** p < 0.001; and **** p < 0.0001. ns, not significant.
In the treatment of heat-inactivated E. coli after the RNAi of BmToll9-2, most effector genes were induced (Figure 5A). The AMP genes BmCecA, BmGlv1, BmMor, BmLeb3, and BmEnb were significantly up-regulated in the RNAi group by 3.21, 20.93, 6.58, 13.19, and 2.29 folds, respectively. For the other effector genes, BmLys, BmPPO1, BmPOI, and BmNOS1 were induced significantly by 5.24, 1.98, 6.01, and 1.90 folds, respectively. The relative expressions of BmAtt1 and BmDef were not significantly different.
Similarly, feeding with heat-inactivated S. aureus following the RNAi of BmToll9-2 increased the relative expression of most AMPs (Figure 5B). The relative expressions of BmCecA, BmGlv1, BmMor, and BmLeb3 were significantly induced by 2.64, 6.87, 4.16, and 9.89 folds, respectively. The other effector genes, including BmPPO1, BmPOI, and BmNOS1, were up-regulated significantly by 4.31, 6.71, and 2.83 folds, respectively. Meanwhile, the relative expressions of BmAtt1, BmDef, BmEnb, and BmLys were not significantly different. It was noticed that BmPPO1 and BmNOS1 showed a higher induction fold after S. aureus than E. coli. This might have been due to the fact that the activation of PPO1 is important in survival during infection with Gram-positive bacteria [27]. The production of nitric oxide (NO) by NOS is effective in eradicating Staphylococcus bacteria [28].
In general, after treatment with heat-inactivated bacteria, the expression pattern of most AMPs and other effector genes was positively correlated with BmToll9-2, while the induction of E. coli was stronger than that of S. aureus.
4. Discussion
Toll9 is a conserved membrane receptor in insects. Previous reports have shown that Toll9 mainly functions in immunity [19]. In our recent report, BmToll9-2 was characterized for the first time through a reverse functional study, which showed that BmToll9-2 was activated by the Gram-negative bacterium E. coli and its cell wall component, LPS. The loss of BmToll9-2 may imbalance gut homeostasis, resulting in a defect in the growth of larvae [20]. However, whether BmToll9-2 is involved in regulating the Toll signaling pathway remains to be answered. In this study, we investigated the role of BmToll9-2 as a regulator in the Toll signaling pathway and downstream effector genes and as a modulator in the humoral immune response in antibacterial activity in hemolymph.
4.1. BmToll9-2 Is Involved Positively in the Toll Pathway
MyD88, Tube, Pelle, Cactus, and Rel are the intermediary factors of the Toll pathway in the cytoplasm. Intracellular components such as Tollip, Pellino, TRAF2, and ECSIT are also factors involved in this process [8,29]. In this study, the silencing of BmToll9-2 through RNAi resulted in the significant knockdown of the above signaling genes except Cactus and Tollip-v (Figure 1). BmToll9-2 was found to be induced by bacterial challenges, especially with the Gram-negative bacterium E. coli, either before or after the RNAi of BmToll9-2 [20]. In the latter case, the silencing of BmToll9-2 may have triggered a feedback mechanism that restored its expression levels to high levels following bacterial challenges [20]. Therefore, the same samples treated with bacterial challenges following RNAi were tested, which showed a significant up-regulation of most signaling genes in either the E. coli or S. aureus treatment (Figure 4). This indicates that when BmToll9-2 was induced, most signaling genes were also activated.
The relation of Toll genes to factors in the immune signaling pathway is extensively studied. In our previous study, the over-expression of BmToll9-1 suppressed signaling genes in the IMD and Jak/Stat pathways after treatment with LPS [14]. On the other hand, BmToll9-1 regulated the expression of signaling genes in the Toll pathway positively [19], which was consistent with observations of other species. In the Chinese oak silkworm, Antheraea pernyi, the up-regulation of the Toll gene by a fungus resulted in the induction of the MyD88, Cactus, and Rel genes in the Toll pathway [30]. In the honey bee, the up-regulation of the MyD88 gene was associated with the induction of the Toll gene [31]. In the small brown planthopper, Laodelphax striatellus, the rice stripe virus activated the Toll pathway by inducing the expression of the Tube, MyD88, and Dorsal genes [32].
4.2. BmToll9-2 Positively Regulates Immune Effectors
Immune effectors, including AMPs, directly interact with infectious pathogens to cause their neutralization [8]. When BmToll9-2 was silenced, most AMPs and other immune effectors were suppressed (Figure 2). Meanwhile, hemolymph from BmToll9-2-silenced larvae showed decreased antibacterial activity against E. coli and S. aureus, either in the growth curve or inhibition zone experiments (Figure 3). The up-regulation of BmToll9-2 after bacterial challenges following RNAi also induced most AMPs and other immune effectors (Figure 5). These results suggest that BmToll9-2 expression is positively correlated to the production of immune effectors.
Studies on Toll receptors to regulate AMP effectors have been reported before. We previously found that in silkworm-derived Bm5 cells over-expressing BmToll9-1, the soaking of LPS suppressed the transcription of BmToll9-1 and AMPs [14]. We recently reported that the silencing of BmToll9-1 resulted in the down-regulation of most immune effectors in silkworm larvae [19]. The above results suggest that BmToll9-1 acts as a positive regulator of AMPs and other immune effectors. Since BmToll9-1 and BmToll9-2 are phylogenetically close to each other, it is reasonable to see their similar role in positively regulating immune effectors. In addition, the silencing of BmToll9-1 decreased antibacterial activity [19], which also occurred after the silencing of BmToll9-2.
The regulation of AMPs by other receptors has also been reported in the silkworm extensively. For example, we reported that BmPGRP-L4 negatively regulated the production of AMPs [26]. BmPGRP-S5 was also reported as a negative regulator in AMP production [33]. As part of the insulin-like signaling pathway, AMPs were induced after starvation [34]. The regulation of AMPs by scavenger receptor C was achieved by activating the Toll signaling pathway [35].
4.3. BmToll9-2 Is Preferentially Activated by Gram-Negative Bacteria
Previously, we reported that the Gram-negative bacterium E. coli and its main cell wall component, LPS, remarkably induced the expression of BmToll9-2 in silkworm larvae and in silkworm-derived BmN4 cells [20]. In this study, the induction fold of E. coli in the expression of AMPs was higher than that of S. aureus (Figure 5). Meanwhile, the decrease in antibacterial activity against E. coli compared to S. aureus after RNAi was even more obvious (Figure 3).
A similar response to E. coli was also described in our recent publication investigating the role of BmToll9-1. When BmToll9-1 was silenced, the hemolymph of silkworm larvae lost antibacterial activity against the Gram-negative bacterium E. coli but not against the Gram-positive bacterium S. aureus [19]. Interestingly, BmToll9-2 is phylogenetically related to TLR4 [20], the PRR for LPS recognition in mammals [36]. A recent report also proved that BmToll9-1 functions as a PRR that recognizes LPS, similarly to TLR4 [18]. Considering its level of similarity and the phylogenetic analysis, BmToll9-2 might also be a candidate PRR to detect LPS. Therefore, it is reasonable that BmToll9-2 is prone to being triggered by E. coli.
5. Conclusions
The role of BmToll9-2 in regulating the expression of downstream elements in the Toll pathway was investigated in this study. The silencing of BmToll9-2 reduced the expression of signaling and downstream effector genes in the Toll signaling pathway. Antibacterial activity in the hemolymph, especially against E. coli, was also decreased. The induction of BmToll9-2 after bacterial treatment following RNAi also up-regulated both the signaling genes in the Toll pathway and its downstream effector genes. The above results suggest that, similarly to BmToll9-1, BmToll9-2 might positively regulate the Toll signaling pathway, which in turn stimulates the humoral immune response and antibacterial activity.
Author Contributions
Conceptualization, J.L.; methodology, J.L., W.C., S.C. and S.L.; validation, J.L., W.C., S.C. and S.L.; investigation, J.L., W.C., S.C. and S.L.; data curation, J.L., W.C., S.C. and S.L.; writing—original draft preparation, J.L. and L.S.; writing—review and editing, J.L. and L.S.; visualization, J.L.; supervision, J.L. and L.S.; project administration, J.L.; funding acquisition, J.L. All authors have read and agreed to the published version of the manuscript.
Funding
This study was funded by the National Natural Science Foundation of China (31501898), the Science and Technology Program of Guangzhou (202102010465), the Featured Innovation Project of Universities in Guangdong Province (2019KTSCX133), the Natural Science Foundation of Guangdong Province (2017A030313152), and the Pearl River S&T Nova Program of Guangzhou (201710010094).
Data Availability Statement
The raw data supporting the conclusions of this article will be made available from the corresponding author upon reasonable request.
Acknowledgments
We thank Qingrong Li for providing the silkworm culture.
Conflicts of Interest
The authors declare no conflicts of interest.
References
- Merkling, S.H.; van Rij, R.P. Beyond RNAi: Antiviral defense strategies in Drosophila and mosquito. J. Insect Physiol. 2012, 59, 159–170. [Google Scholar] [CrossRef] [PubMed]
- Lemaitre, B.; Hoffmann, J. The host defense of Drosophila melanogaster. Annu. Rev. Immunol. 2007, 25, 697–743. [Google Scholar] [CrossRef] [PubMed]
- Weiss, H.J.; O’Neill, L.A.J. Of Flies and Men-The Discovery of TLRs. Cells 2022, 11, 3127. [Google Scholar] [CrossRef] [PubMed]
- Anderson, K.V.; Jurgens, G.; Nusslein-Volhard, C. Establishment of dorsal-ventral polarity in the Drosophila embryo: Genetic studies on the role of the Toll gene product. Cell 1985, 42, 779–789. [Google Scholar] [CrossRef]
- Gay, N.J.; Keith, F.J. Drosophila Toll and IL-1 receptor. Nature 1991, 351, 355–356. [Google Scholar] [CrossRef] [PubMed]
- Chowdhury, M.; Li, C.F.; He, Z.; Lu, Y.; Liu, X.S.; Wang, Y.F.; Ip, Y.T.; Strand, M.R.; Yu, X.Q. Toll family members bind multiple Spatzle proteins and activate antimicrobial peptide gene expression in Drosophila. J. Biol. Chem. 2019, 294, 10172–10181. [Google Scholar] [CrossRef] [PubMed]
- Shmueli, A.; Shalit, T.; Okun, E.; Shohat-Ophir, G. The Toll Pathway in the Central Nervous System of Flies and Mammals. Neuromolecular Med. 2018, 20, 419–436. [Google Scholar] [CrossRef]
- Tanaka, H.; Ishibashi, J.; Fujita, K.; Nakajima, Y.; Sagisaka, A.; Tomimoto, K.; Suzuki, N.; Yoshiyama, M.; Kaneko, Y.; Iwasaki, T.; et al. A genome-wide analysis of genes and gene families involved in innate immunity of Bombyx mori. Insect Biochem. Mol. Biol. 2008, 38, 1087–1110. [Google Scholar] [CrossRef] [PubMed]
- Xia, Q.; Zhou, Z.; Lu, C.; Cheng, D.; Dai, F.; Li, B.; Zhao, P.; Zha, X.; Cheng, T.; Chai, C.; et al. A draft sequence for the genome of the domesticated silkworm (Bombyx mori). Science 2004, 306, 1937–1940. [Google Scholar] [CrossRef] [PubMed]
- Cheng, T.C.; Zhang, Y.L.; Liu, C.; Xu, P.Z.; Gao, Z.H.; Xia, Q.Y.; Xiang, Z.H. Identification and analysis of Toll-related genes in the domesticated silkworm, Bombyx mori. Dev. Comp. Immunol. 2008, 32, 464–475. [Google Scholar] [CrossRef]
- Imamura, M.; Yamakawa, M. Molecular cloning and expression of a Toll receptor gene homologue from the silkworm, Bombyx mori. Biochim. Biophys. Acta 2002, 1576, 246–254. [Google Scholar] [CrossRef]
- Wu, S.; Zhang, X.; Chen, X.; Cao, P.; Beerntsen, B.T.; Ling, E. BmToll9, an Arthropod conservative Toll, is likely involved in the local gut immune response in the silkworm, Bombyx mori. Dev. Comp. Immunol. 2010, 34, 93–96. [Google Scholar] [CrossRef] [PubMed]
- Liu, J.; Smagghe, G.; Swevers, L. Transcriptional response of BmToll9-1 and RNAi machinery genes to exogenous dsRNA in the midgut of Bombyx mori. J. Insect Physiol. 2013, 59, 646–654. [Google Scholar] [CrossRef] [PubMed]
- Liu, J.; Kolliopoulou, A.; Smagghe, G.; Swevers, L. Modulation of the transcriptional response of innate immune and RNAi genes upon exposure to dsRNA and LPS in silkmoth-derived Bm5 cells overexpressing BmToll9-1 receptor. J. Insect Physiol. 2014, 66, 10–19. [Google Scholar] [CrossRef] [PubMed]
- Geng, T.; Huang, Y.; Hou, C.; Qin, G.; Lv, D.; Guo, X. Inductive expression patterns of genes related to Toll signaling pathway in silkworm (Bombyx mori) upon Beauveria bassiana infection. J. Asia-Pac. Entomol. 2016, 19, 861–868. [Google Scholar] [CrossRef]
- Singh, C.P.; Singh, J.; Arunkumar, K.P. Role of Toll-receptors in the inhibition of BmNPV proliferation and their interplay with antimicrobial seroin proteins in Bombyx mori. J. Asia-Pac. Entomol. 2019, 22, 897–902. [Google Scholar] [CrossRef]
- Yu, B.; Sang, Q.; Pan, G.; Li, C.; Zhou, Z. A Toll-Spatzle Pathway in the Immune Response of Bombyx mori. Insects 2020, 11, 586. [Google Scholar] [CrossRef]
- Zhang, R.N.; Li, X.F.; Zhang, J.; Li, Y.J.; Wang, Y.; Song, Y.H.; Ren, F.F.; Yi, H.Y.; Deng, X.J.; Zhong, Y.J.; et al. Toll9 from Bombyx mori functions as a pattern recognition receptor that shares features with Toll-like receptor 4 from mammals. Proc. Natl. Acad. Sci. USA 2021, 118, e2103021118. [Google Scholar] [CrossRef]
- Liu, J.; Chen, W.; Situ, J.; Li, J.; Chen, J.; Lai, M.; Huang, F.; Li, B. BmToll9-1 is a positive regulator of the immune response in the silkworm Bombyx mori. Insects 2024, 15, 643. [Google Scholar] [CrossRef] [PubMed]
- Liu, J.; Yang, W.; Liao, W.; Huang, Y.; Chen, W.; Bu, X.; Huang, S.; Jiang, W.; Swevers, L. Immunological function of Bombyx Toll9-2 in the silkworm (Bombyx mori) larval midgut: Activation by Escherichia coli/lipopolysaccharide and regulation of growth. Arch. Insect Biochem. Physiol. 2024, 116, e22130. [Google Scholar] [CrossRef] [PubMed]
- Quan, G.X.; Kanda, T.; Tamura, T. Induction of the white egg 3 mutant phenotype by injection of the double-stranded RNA of the silkworm white gene. Insect Mol. Biol. 2002, 11, 217–222. [Google Scholar] [CrossRef]
- Terenius, O.; Papanicolaou, A.; Garbutt, J.S.; Eleftherianos, I.; Huvenne, H.; Kanginakudru, S.; Albrechtsen, M.; An, C.; Aymeric, J.L.; Barthel, A.; et al. RNA interference in Lepidoptera: An overview of successful and unsuccessful studies and implications for experimental design. J. Insect Physiol. 2011, 57, 231–245. [Google Scholar] [CrossRef] [PubMed]
- Liang, Y.; Wang, T.; Yang, W.; Chen, Z.; Li, Q.; Swevers, L.; Liu, J. Silencing of the immune gene BmPGRP-L4 in the midgut affects the growth of silkworm (Bombyx mori) larvae. Insect Mol. Biol. 2023, 32, 340–351. [Google Scholar] [CrossRef] [PubMed]
- Liu, J.; Yang, Q.; Yang, Y.; Lin, X. Larval RNA interference in silkworm Bombyx mori through chitosan/dsRNA nanoparticle delivery. J. Vis. Exp. 2024, 212, e67360. [Google Scholar] [CrossRef] [PubMed]
- Livak, K.J.; Schmittgen, T.D. Analysis of relative gene expression data using real-time quantitative PCR and the 2(-ΔΔCT) Method. Methods 2001, 25, 402–408. [Google Scholar] [CrossRef] [PubMed]
- Yang, W.; Lin, Y.; He, Y.; Li, Q.; Chen, W.; Lin, Q.; Swevers, L.; Liu, J. BmPGPR-L4 is a negative regulator of the humoral immune response in the silkworm Bombyx mori. Arch. Insect Biochem. Physiol. 2024, 115, e22093. [Google Scholar] [CrossRef]
- Binggeli, O.; Neyen, C.; Poidevin, M.; Lemaitre, B. Prophenoloxidase activation is required for survival to microbial infections in Drosophila. PLoS Pathog. 2014, 10, e1004067. [Google Scholar] [CrossRef]
- Wink, D.A.; Hines, H.B.; Cheng, R.Y.; Switzer, C.H.; Flores-Santana, W.; Vitek, M.P.; Ridnour, L.A.; Colton, C.A. Nitric oxide and redox mechanisms in the immune response. J. Leukoc. Biol. 2011, 89, 873–891. [Google Scholar] [CrossRef]
- Xia, J.; Peng, R.; Fei, S.; Awais, M.M.; Lai, W.; Huang, Y.; Wu, H.; Yu, Y.; Liang, L.; Swevers, L.; et al. Systematic analysis of innate immune-related genes in the silkworm: Application to antiviral research. Insect Sci. 2024; ahead of printing. [Google Scholar] [CrossRef]
- Sun, Y.; Jiang, Y.; Wang, Y.; Li, X.; Yang, R.; Yu, Z.; Qin, L. The Toll Signaling Pathway in the Chinese Oak Silkworm, Antheraea pernyi: Innate Immune Responses to Different Microorganisms. PLoS ONE 2016, 11, e0160200. [Google Scholar] [CrossRef]
- Aronstein, K.A.; Murray, K.D.; Saldivar, E. Transcriptional responses in honey bee larvae infected with chalkbrood fungus. BMC Genom. 2010, 11, 391. [Google Scholar] [CrossRef] [PubMed]
- He, Y.J.; Lu, G.; Qi, Y.H.; Zhang, Y.; Zhang, X.D.; Huang, H.J.; Zhuo, J.C.; Sun, Z.T.; Yan, F.; Chen, J.P.; et al. Activation of Toll Immune Pathway in an Insect Vector Induced by a Plant Virus. Front. Immunol. 2020, 11, 613957. [Google Scholar] [CrossRef] [PubMed]
- Chen, K.; Zhou, L.; Chen, F.; Peng, Y.; Lu, Z. Peptidoglycan recognition protein-S5 functions as a negative regulator of the antimicrobial peptide pathway in the silkworm, Bombyx mori. Dev. Comp. Immunol. 2016, 61, 126–135. [Google Scholar] [CrossRef] [PubMed]
- Zhang, J.; Yang, W.; Xu, J.; Yang, W.; Li, Q.; Zhong, Y.; Cao, Y.; Yu, X.Q.; Deng, X. Regulation of antimicrobial peptide genes via insulin-like signaling pathway in the silkworm Bombyx mori. Insect Biochem. Mol. Biol. 2018, 103, 12–21. [Google Scholar] [CrossRef]
- Zhang, K.; Shen, L.; Wang, X.; Yang, H.; Zhang, X.; Pan, G.; Li, C.; Ji, H.; Abbas, M.N.; Li, C.; et al. Scavenger receptor C regulates antimicrobial peptide expression by activating toll signaling in silkworm, Bombyx mori. Int. J. Biol. Macromol. 2021, 191, 396–404. [Google Scholar] [CrossRef] [PubMed]
- Takeda, K.; Akira, S. TLR signaling pathways. Semin. Immunol. 2004, 16, 3–9. [Google Scholar] [CrossRef] [PubMed]
Disclaimer/Publisher’s Note: The statements, opinions and data contained in all publications are solely those of the individual author(s) and contributor(s) and not of MDPI and/or the editor(s). MDPI and/or the editor(s) disclaim responsibility for any injury to people or property resulting from any ideas, methods, instructions or products referred to in the content. |
© 2024 by the authors. Licensee MDPI, Basel, Switzerland. This article is an open access article distributed under the terms and conditions of the Creative Commons Attribution (CC BY) license (https://creativecommons.org/licenses/by/4.0/).




