Parasiticidal Properties of Nanoemulsion-Based Plant Essential Oil Formulations for Controlling Poultry Ectoparasites in Farm Conditions
Simple Summary
Abstract
1. Introduction
2. Materials and Methods
2.1. Preparation of Nanoemulsions-Based Plant Essential Oil Formulations (NEOFs)
2.2. Effectiveness of NEOFs for Controlling Poultry Ectoparasites in Egg-Laying Chicken Farm
2.3. Egg-Laying Performance and Quality of Chicken Eggs After Using the NEOFs to Control Poultry Ectoparasites in an Egg-Laying Chicken Farm
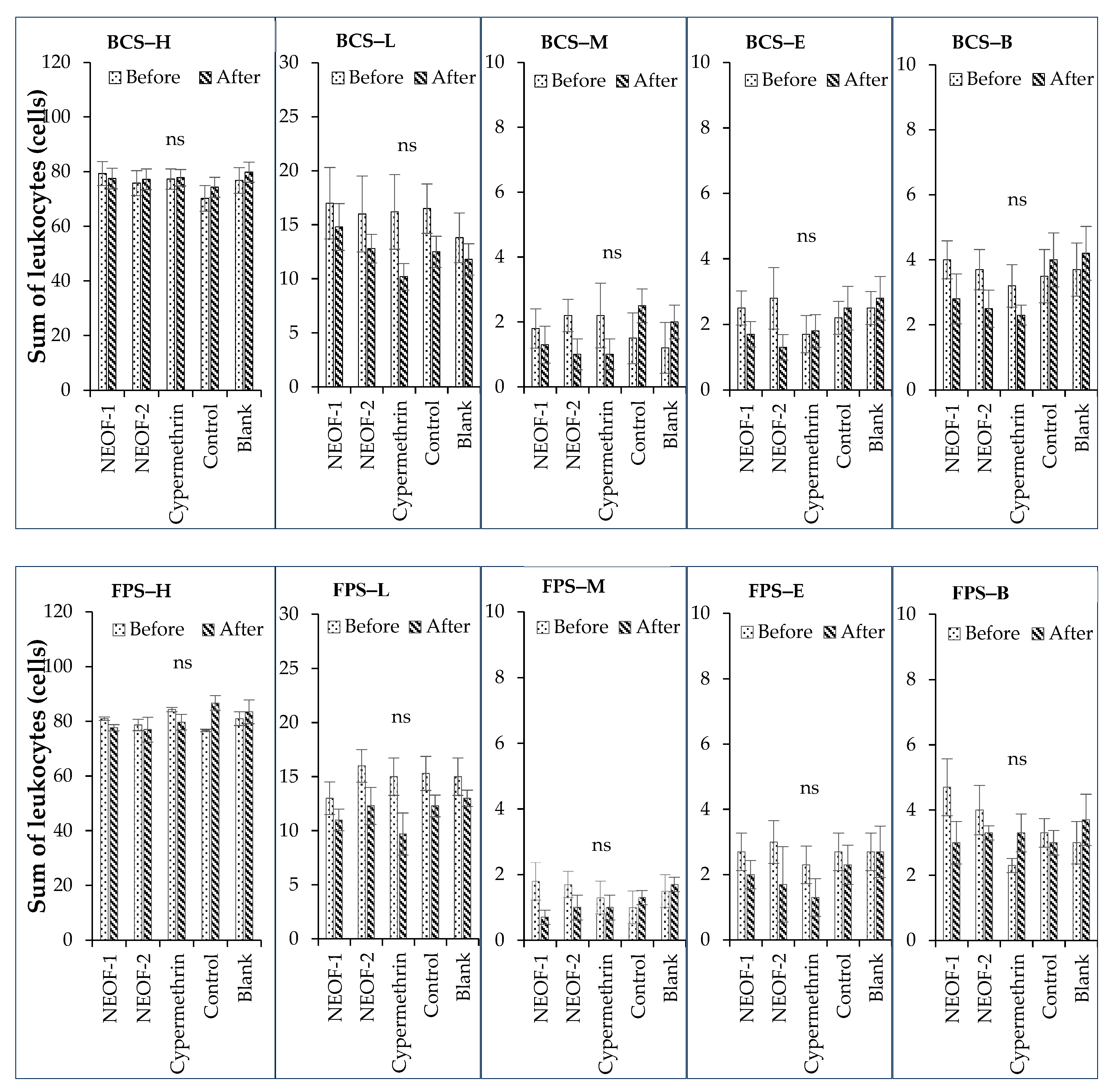
2.4. Type and Quantity of Leukocytes in Chicken Blood After Using NEOFs to Control Poultry Ectoparasites in an Egg-Laying Chicken Farm
2.5. Insecticide Residue in Eggs After Using NEOFs to Control Poultry Ectoparasites in an Egg-Laying Chicken Farm Compared with Insecticide Application
2.6. Effectiveness of NEOFs to Control Poultry Ectoparasites in Ornamental Chicken Farm
2.7. Data Analysis
3. Results
3.1. Effectiveness of NEOFs for Controlling Poultry Ectoparasites in Egg-Laying Chicken Farm
3.2. Egg-Laying Performance of Chickens and Quality of Chicken Eggs After Using the NEOFs to Control Poultry Ectoparasites in Egg-Laying Chicken Farm
3.3. Type and Quantity of Leukocytes in Chicken Blood After Using NEOFs to Control Poultry Ectoparasites in Egg-Laying Chicken Farms
3.4. Insecticide Residue in Eggs After Using NEOFs to Control Poultry Ectoparasites in Egg-Laying Chicken Farms Compared with Insecticide Application
3.5. Effectiveness of NEOFs to Control Poultry Ectoparasites in Ornamental Chicken Farms
4. Discussion
5. Conclusions
Author Contributions
Funding
Institutional Review Board Statement
Data Availability Statement
Conflicts of Interest
References
- Chirico, J.; Eriksson, H.; Fossum, O.; Jansson, D. The Poultry Red Mite, Dermanyssus gallinae, a Potential Vector of Erysipelothrix rhusiopathiae Causing Erysipelas in Hens. Med. Vet. Entomol. 2003, 17, 232–234. [Google Scholar] [CrossRef] [PubMed]
- Endale, H.; Aliye, S.; Mathewos, M.; Adimasu, W. Identification and Estimation of the Prevalence of Ectoparasites of Backyard Chicken in Boloso Sore District, Wolaita Zone, Southern Ethiopia. Vet Parasitol. Reg. Stud. Reports 2023, 42, 100884. [Google Scholar] [CrossRef] [PubMed]
- Erdem, H.; Konyali, C.; Akbağ, H.I.; Savas, T. Growth, Behavioural and Haematological Responses to Poultry Red Mite Infestation in Japanese Quail. Europ. Poult. Sci. 2020, 84, 1–13. [Google Scholar] [CrossRef]
- Flochlay, S.A.; Thomas, E.; Sparagano, O. Poultry Red Mite (Dermanyssus gallinae) Infestation: A Broad Impact Parasitological Disease that Still Remains a Significant Challenge for the Egg-laying Industry in Europe. Parasit. Vectors 2017, 10, 357. [Google Scholar] [CrossRef] [PubMed]
- Sleeckx, N.; Gorp, S.V.; Koopman, R.; Kempen, I.; Hoye, K.V.; De Baere, K.; Zoons, J.; Herdt, P.D. Production Losses in Laying Hens During Infestation with the Poultry Red Mite Dermanyssus gallinae. Avian. Pathol. 2019, 48, 17–21. [Google Scholar] [CrossRef]
- Rezaei, F.; Hashemnia, M.; Chalechale, A.; Seidi, S.; Gholizadeh, S. Prevalence of Ectoparasites in Free-range Backyard Chickens, Domestic Pigeons (Columba livia domestica) and Turkeys of Kermanshah Province, West of Iran. J. Parasit. Dis. 2016, 40, 448–453. [Google Scholar] [CrossRef]
- Al-Saffar, T.; Al-Mawla, E. Some Hematological Changes in Chickens Infected with Ectoparasites in Mosul. Iraqi J. Vet. Sci. 2008, 22, 95–100. [Google Scholar]
- Wamboi, P.; Waruiru, R.M.; Mbuthia, P.G.; Nguhiu, J.M.; Bebora, L.C. Haemato-biochemical Changes and Prevalence of Parasitic Infections of Indigenous Chicken Sold in Markets of Kiambu County, Kenya. Int. J. Vet. Sci. Med. 2020, 8, 18–25. [Google Scholar] [CrossRef]
- Mata, W.; Galgalo, W.; Jilo, K. Prevalence of the Major Ectoparasites of Poultry in Extensive and Intensive Farms in Jimma, Southwestern Ethiopia. J. Parasitol. Vector Biol. 2018, 10, 87–96. [Google Scholar]
- Hwang, E.T. Management of the Poultry Red Mite Dermanyssus gallinae with Physical Control Methods by Inorganic Material and Future Perspectives. Poult. Sci. 2023, 102, 102772. [Google Scholar] [CrossRef]
- Aulakh, R.S.; Gill, J.P.S.; Bedi, J.S.; Sharma, J.K.; Joia, B.S.; Ockerman, H.W. Organochlorine Pesticide Residues in Poultry Feed, Chicken Muscle and Eggs at a Poultry Farm in Punjab. India. J. Sci. Food Agric. 2006, 86, 741–744. [Google Scholar] [CrossRef]
- Arkle, S.; Harrington, D.; Kaiser, P.; Rothwell, L.; De Luna, C.; George, D.; Guy, J.; Sparagano, O.A. Immunological Control of the Poultry Red Mite. Ann. N. Y. Acad. Sci. 2008, 1149, 36–40. [Google Scholar] [CrossRef] [PubMed]
- Lakyat, A.; Pumnuan, J.; Thipmanee, K. Ectoparasite Species Attacking Chicken in Eastern Area of Bangkok, Thailand. Int. J. Agric. Tech. 2022, 18, 1619–1632. [Google Scholar]
- Marangi, M.; Morelli, V.; Pati, S.; Camarda, A.; Cafiero, M.A.; Giangaspero, A. Acaricide Residues in Laying Hens Naturally Infested by Red Mite Dermanyssus gallinae. PLoS ONE 2012, 7, e31795. [Google Scholar] [CrossRef] [PubMed]
- Wu, S.; Wang, Y.; Li, X.; Zhou, T.; Niu, Y.; Zhou, H.; Zheng, W.; Huang, X.; Hu, J.; Wang, J.; et al. Development and Validation of a Multianalyte Method for Quantification of Isoxazolines in Animal-derived Matrix Samples Using SPE-HPLC–MS/MS. J. Food Compos. Anal. 2023, 123, 105620. [Google Scholar] [CrossRef]
- Hildmann, F.; Gottert, C.; Frenzel, T.; Kempe, G.; Speer, K. Pesticide Residues in Chicken Eggs—A Sample Preparation Methodology for Analysis by Gas and Liquid Chromatography/tandem Mass Spectrometry. J. Chromatogr. A 2015, 1403, 1–20. [Google Scholar] [CrossRef]
- Hamasalim, H.J.; Mohammed, H.N.; Arkwazee, H.A.; Abdulrahman, N.M. Effects of Pesticide Residues in Animal By-products Relating to Public Health. J. Appl. Vet. Sci. 2023, 8, 95–103. [Google Scholar] [CrossRef]
- Túri, M.S.; Soós, K.; Végh, E. Determination of Residues of Pyrethroid and Organophosphorous Ectoparasiticides in Foods of Animal Origin. Acta. Vet. Hung. 2000, 48, 139–149. [Google Scholar]
- Abdelfatah, E.N.; Abu-Zeid, E.H. Assessment of Pesticide Residues in Edible and Unhatched Chicken Eggs in Sharkia Province, Egypt. Adv. Anim. Vet. Sci. 2016, 4, 25–34. [Google Scholar] [CrossRef]
- Hamid, A.; Yaqub, G.; Ahmed, S.R.; Aziz, N. Assessment of Human Health Risk Associated with the Presence of Pesticides in Chicken Eggs. Food Sci. Technol. 2017, 37, 378–382. [Google Scholar] [CrossRef]
- Diaz, J.H. Increasing Pesticide-Resistant Ectoparasitic Infections May Increase Pesticide Poisoning Risks in Children. J. La. State. Med. Soc. 2008, 160, 210–220. [Google Scholar] [PubMed]
- Van Leeuwen, T.; Vontas, J.; Tsagkarakou, A.; Dermauw, W.; Tirry, L. Acaricide resistance mechanisms in the two-spotted spider mite Tetranychus urticae and other important Acari: A review. Insect Biochem. Mol. Biol. 2010, 40, 563–572. [Google Scholar] [CrossRef] [PubMed]
- Knolhoff, L.M.; Onstad, D.W. Resistance in Ectoparasites. In Insect Resistance Management, 3rd ed.; Onstad, D.W., Knolhoff, L.M., Eds.; Academic Press: Cambridge, MA, USA, 2023. [Google Scholar] [CrossRef]
- Kolics, B.; Kolics, É.; Solti, I.; Bacsi, Z.; Taller, J.; Specziár, A.; Mátyás, K. Lithium Chloride Shows Effectiveness against the Poultry Red Mite (Dermanyssus gallinae). Insects 2022, 13, 1005. [Google Scholar] [CrossRef] [PubMed]
- Jansson, D.S. Gaining Insights into the Health of Noncaged Layer Hens. Vet. Rec. 2018, 182, 347–349. [Google Scholar] [CrossRef]
- Kim, S.I.; Yi, J.H.; Tak, J.; Ahn, Y.J. Acaricidal Activity of Plant Essential Oils against Dermanyssus gallinae (Acari: Dermanyssidae). Vet. Parasitol. 2004, 120, 297–304. [Google Scholar] [CrossRef]
- George, D.R.; Sparagano, O.A.E.; Port, G.; Okello, E.; Shiel, R.S.; Guy, J.H. Toxicity of Plant Essential Oils to Different Life Stages of the Poultry Red Mite, Dermanyssus gallinae, and Non-target Invertebrates. Med. Vet. Entomol. 2010, 24, 9–15. [Google Scholar] [CrossRef]
- Raza, Q.S.; Saleemi, M.K.; Gul, S.T.; Irshad, H.; Fayyaz, A.; Zaheer, I.; Tahir, M.W.; Fatima, Z.; Chohan, T.Z.; Imran, M.; et al. Role of Essential Oils/Volatile Oils in Poultry Production—A Review on Present, Past and Future Contemplations. Agrobiol. Rec. 2022, 7, 40–56. [Google Scholar]
- Vigad, N.; Pelyuntha, W.; Tarachai, P.; Chansakaow, S.; Chukiatsiri, K. Physical Characteristics, Chemical Compositions, and Insecticidal Activity of Plant Essential Oils against Chicken Lice (Menopon gallinae) and Mites (Ornithonyssus bursa). Vet. Integr. Sci. 2021, 19, 449–466. [Google Scholar] [CrossRef]
- George, D.R.; Smith, T.J.; Shiel, R.S.; Sparagano, O.A.E.; Guy, J.H. Mode of Action and Variability in Efficacy of Plant Essential Oils Showing Toxicity against the Poultry Red Mite, Dermanyssus gallinae. Vet. Parasitol. 2009, 161, 276–282. [Google Scholar] [CrossRef]
- Talbert, R.; Wall, R. Toxicity of Essential and Non-essential Oils against the Chewing Louse, Bovicola (Werneckiella) ocellatus. Res. Vet. Sci. 2012, 93, 831–835. [Google Scholar] [CrossRef]
- Callander, J.T.; James, P.J. Insecticidal and Repellent Effects of Tea Tree (Melaleuca alternifolia) Oil against Lucilia cuprina. Vet. Parasitol. 2012, 184, 271–278. [Google Scholar] [CrossRef] [PubMed]
- Pumnuan, J.; Insung, A.; Klompanya, A. Effects of Seven Plant Essential Oils on Mortalities of Chicken Lice (Lipeurus caponis L.) Adult. Curr. Appl. Sci. Technol. 2020, 20, 52–58. [Google Scholar]
- Lakyat, A.; Pumnuan, J.; Doungnapa, T.; Phutphat, S.; Kramchote, S.; Kamronwit, T. Nanoemulsion-based Plant Essential Oil Formulations: In Vitro Evaluation of Pesticidal Activity against Ectoparasites in Poultry. Poult. Sci. 2024, 103, 103245. [Google Scholar] [CrossRef] [PubMed]
- Doungnapa, T.; Pumnuan, J.; Insung, A. Acaricidal Activity of Essential Oil Nanoemulsion against the African Red Mite (Eutetranychus africanus). Chil. J. Agric. Res. 2021, 81, 228–236. [Google Scholar] [CrossRef]
- Dao, H.T.; Sharma, N.K.; Swick, R.A.; Moss, A.F. Feeding Recycled Food Waste Improved Feed Efficiency in Laying Hens from 24 to 43 Weeks of Age. Sci. Rep. 2023, 13, 8261. [Google Scholar] [CrossRef] [PubMed]
- Jain, N.C. Essentials of Veterinary Hematology; Lea and Febiger: Philadelphia, PA, USA, 1993. [Google Scholar]
- AOAC. Pesticide Residues in Foods by Acetonitrile Extraction and Partitioning with Magnesium Sulfate; Association of Official Agricultural Chemists: Gaithersburg, MD, USA, 2007. [Google Scholar]
- Anastassiades, M.; Lehotay, S.J.; Stajnbaher, D.; Schenck, F.J. Fast and Easy Multiresidue Method Employing Acetonitrile Extraction/partitioning and “Dispersive Solid-phase Extraction” for the Determination of Pesticide Residues in Produce. J. AOAC Int. 2003, 86, 412–431. [Google Scholar] [CrossRef] [PubMed]
- Kassem, H.S.; Alotaibi, B.A.; Muddassir, M.; Herab, A. Factors Influencing Farmers’ Satisfaction with the Quality of Agricultural Extension Services. Eval. Program Plann. 2021, 85, 101912. [Google Scholar] [CrossRef]
- Bennett, D.C.; Yee, A.; Rhee, Y.-J.; Cheng, K.M. Effect of Diatomaceous Earth on Parasite Load, Egg Production, and Egg Quality of Free-range Organic Laying Hens. Poult. Sci. 2011, 90, 1416–1426. [Google Scholar] [CrossRef] [PubMed]
- Hiluf, G.; Bsrat, A.; Kebede, E.; Hagos, Y. Prevalence and Identification of Ectoparasites on Indigenous Chickens in Seharti-Samre District, Tigray, Northern Ethiopia. Ethiop. Vet. J. 2018, 22, 1–10. [Google Scholar] [CrossRef]
- Tucci, E.C.; Soares, N.M.; Faccini, J.L.H.; Vilas Boas, D. Additional Information about a Mange Outbreak by Allopsoroptoides galli (Acari: Psoroptoididae) in Commercial Laying Hens in the State of São Paulo, Brazil. Pesq. Vet. Bras. 2014, 34, 760–762. [Google Scholar] [CrossRef]
- Tucci, E.C.; Guastali, E.A.L.; Gama, N.M.S.Q.; Rebouças, M.M.; Mendes, M.C. Infestação Por Megninia spp. Em Criação Industrial de Aves Produtoras de Ovos Para Consumo. Arq. Inst. Biol., São Paulo. 2005, 72, 121–124. [Google Scholar] [CrossRef]
- Soares, N.M.; Tucci, E.C.; Freitas, E.R.; Fernandes, D.P.B. Reduced Productivity among Confined Laying Hens Infested by Allopsoroptoides galli, (Mironov, 2013). Poult. Sci. 2016, 95, 819–822. [Google Scholar] [CrossRef] [PubMed]
- Pumnuan, J.; Insung, A. Fumigation Toxicity of Plant Essential Oils in Controlling Thrips, Frankliniella schultzei (Thysanoptera: Thripidae) and Mealybug, Pseudococcus jackbeardsleyi (Hemiptera: Pseudococcidae). J. Entomol. Res. 2016, 40, 1–10. [Google Scholar] [CrossRef]
- Jumbo, L.V.O.; Faroni, L.R.A.; Oliveira, E.E.; Pimentel, M.A.; Silva, G.N. Potential Use of Clove and Cinnamon Essential Oils to Control the Bean Weevil, Acanthoscelides obtectus Say, in Small Storage Units. Ind. Crops Prod. 2014, 56, 27–34. [Google Scholar] [CrossRef]
- Saad, E.-Z.; Hussien, R.; Saher, F.; Ahmed, Z. Acaricidal Activities of Some Essential Oils and Their Monoterpenoidal Constituents against House Dust Mite, Dermatophagoides pteronyssinus (Acari: Pyroglyphidae). J. Zhejiang Univ. Sci. B 2006, 7, 957–962. [Google Scholar] [CrossRef]
- Sanga, A.G.; Mazigo, H.D.; Manjurano, A.; Morona, D.; Thomas, A.; Kweka, E.J. Measuring Repellence and Mortality Effects of Clove and Cinnamon Essential Oils Impregnated Nets against Anopheles gambiae Senso Stricto Using Tunnel Test. J. Nat. Pest Res. 2023, 5, 100046. [Google Scholar] [CrossRef]
- Ellse, L.; Wall, R. The Use of Essential Oils in Veterinary Ectoparasite Control: A Review. Med. Vet. Entomol. 2014, 28, 233–243. [Google Scholar] [CrossRef]
- Abbas, A.; Abbas, R.Z.; Zahib Iqbal, S.M.; Khan, M.K.; Saleemi, M.K.; Raza, M.A.; Mahmood, M.S.; Khan, J.A.; Sindhu, Z.U.D. Acaricidal and Insecticidal Effects of Essential Oils against Ectoparasites of Veterinary Importance. Bol. Latinoam. Caribe Plant Med. Aromat. 2018, 17, 441–452. [Google Scholar]
- Lee, S.J.; Kim, H.K.; Kim, G.H. Toxicity and Effects of Essential Oils and Their Components on Dermanyssus gallinae (Acari: Dermanyssidae). Exp. Appl. Acarol. 2019, 78, 65–78. [Google Scholar] [CrossRef]
- Cimino, C.; Maurel, O.M.; Musumeci, T.; Bonaccorso, A.; Drago, F.; Souto, E.M.B.; Pignatello, R.; Carbone, C. Essential Oils: Pharmaceutical Applications and Encapsulation Strategies into Lipid-based Delivery Systems. Pharmaceutics 2021, 13, 327. [Google Scholar] [CrossRef]
- Liu, T.-X.; Stansly, P.A. Insecticidal Activity of Surfactants and Oils against Silverleaf Whitefly (Bemisia argentifolii) Nymphs (Homoptera: Aleyrodidae) on Collards and Tomato. Pest Manag. Sci. 2000, 56, 861–866. [Google Scholar] [CrossRef]
- Pedroso, T.M.A.; Benvindo-Souza, M.; de Araújo Nascimento, F.; Woch, J.; dos Reis, F.G.; de Melo e Silva, D. Cancer and Occupational Exposure to Pesticides: A Bibliometric Study of the Past 10 Years. Environ. Sci. Pollut. Res. 2022, 29, 17464–17475. [Google Scholar] [CrossRef] [PubMed]
- Perumal, A.B.; Li, X.; Su, Z.; He, Y. Preparation and Characterization of a Novel Green Tea Essential Oil Nanoemulsion and Its Antifungal Mechanism of Action against Magnaporthae oryzae. Ultrason. Sonochem. 2021, 76, 105649. [Google Scholar] [CrossRef] [PubMed]
- Benelli, G.; Pavela, R.; Iannarelli, R.; Petrelli, R.; Cappellacci, L.; Cianfaglione, K.; Afshar, F.H.; Nicoletti, M.; Canale, A.; Maggi, F. Synergized Mixtures of Apiaceae Essential Oils and Related Plant-borne Compounds: Larvicidal Effectiveness on the Filariasis Vector Culex quinquefasciatus. Say. Ind. Crop. Prod. 2017, 96, 186–195. [Google Scholar] [CrossRef]
- Ríos, N.; Stashenko, E.E.; Duque, J.E. Evaluation of the Insecticidal Activity of Essential Oils and Their Mixtures against Aedes aegypti (Diptera: Culicidae). Rev. Bras. Entomol. 2017, 61, 307–311. [Google Scholar] [CrossRef]
- Kim, S.I.; Park, C.; Ohh, M.H.; Cho, H.C.; Ahn, Y.J. Contact and Fumigant Activities of Aromatic Plant Extracts and Essential Oils against Lasioderma serricorne (Coleoptera: Anobiidae). J. Stored Prod. Res. 2003, 39, 11–19. [Google Scholar] [CrossRef]
- Silva, C.S.D.; Albuquerque, C.F.; Coelho, A.P.D.F.; Fernandes Lisboa, C.; Gonzatto, M.P. Essential Oils with Contact Insecticidal Activity and Encapsulation Methods: A Literature Review. Rev. Eng. Agric. 2022, 30, 392–402. [Google Scholar] [CrossRef]
- Campbell, J.B. A Guide for Managing Poultry Insects. In NebGuide; University of Nebraska-Lincoln Extension, Institute of Agriculture and Natural Resources: Lincoln, NE, USA, 2006; p. G954, Revised March 2006. [Google Scholar]
- Hinkle, N.C.; Corrigan, R.M. External Parasites and Poultry Pests in Diseases of Poultry, 14th ed.; John and Wiley and Sons: Hoboken, NJ, USA, 2020; pp. 1135–1156. ISBN 9781119371175. [Google Scholar]


| Treatments 3 | Percentages of All Ectoparasites of Chicken per Random Set 1 Before and After Treatments | |||||||||||
|---|---|---|---|---|---|---|---|---|---|---|---|---|
| Before 2 Treated 1st | Weeks After First Treatment | |||||||||||
| - | - | - | 1 | 2 | 6 | - | - | - | 7 | 8 | ||
| Days After Treated 1st | Before Treated 2nd | Days After Treated 2nd | ||||||||||
| 1 | 3 | 5 | 7 | 14 | 1 | 3 | 5 | 7 | 14 | |||
| Battery cages system | ||||||||||||
| NEOF-1 | 100.0 2 | 59.7 | 22.8 | 19.7 | 25.2 | 17.6 | 52.7 | 13.0 | <5 | <5 | <5 | <5 |
| NEOF-2 | 100.0 | 32.3 | 22.8 | 29.0 | 19.5 | 26.5 | 47.0 | 27.8 | <5 | <5 | <5 | <5 |
| Cypermethrin | 100.0 | 19.9 | <5 | <5 | <5 | <5 | <5 | <5 | <5 | <5 | <5 | <5 |
| Control | 100.0 | 57.3 | 35.5 | 46.1 | 32.0 | 41.1 | 88.5 | 59.2 | 37.7 | 16.3 | 16.8 | 14.4 |
| Blank | 100.0 | 101.3 | 121.5 | 95.7 | 121.7 | 137.6 | <500 | <500 | <500 | <500 | <500 | <500 |
| Floor pen system | ||||||||||||
| NEOF-1 | 100.0 | 49.2 | 15.1 | 9.5 | 9.3 | 10.6 | 44.0 | 20.3 | <5 | <5 | <5 | <5 |
| NEOF-2 | 100.0 | 16.4 | 11.8 | 13.7 | 8.9 | 11.2 | 30.0 | 14.7 | <5 | <5 | <5 | <5 |
| Cypermethrin | 100.0 | 15.1 | <5 | <5 | <5 | <5 | <5 | <5 | <5 | <5 | <5 | <5 |
| Control | 100.0 | 45.2 | 35.0 | 30.8 | 25.2 | 35.8 | 97.8 | 98.1 | 53.7 | 145.7 | 185.9 | 142.3 |
| Blank | 100.0 | 91.3 | 87.8 | 97.5 | 116.7 | 110.0 | <500 | <400 | <200 | <200 | <300 | <300 |
| Ectoparasites | Average of Ectoparasites on Chicken per Random Set 1 | Percentages of Ectoparasite Mortality | |
|---|---|---|---|
| Before Treatment | 14 Days After Second Treatment | ||
| Mites | |||
| Megninia ginglymura | 326.7 | 0.0 | 100.0 |
| Megninia ortari | 2.4 | 0.0 | 100.0 |
| Ormithonyssus bursa | 0.3 | 0.0 | 100.0 |
| Ornithonyssus sylviarum | 1.2 | 0.0 | 100.0 |
| Pterolichus obtusus | 113.5 | 0.6 | 99.5 |
| Total of mites | 444.1 | 0.6 | |
| Lice | |||
| Cuclotogaster heterogoraphus | 2.1 | 0.0 | 100.0 |
| Menopon gallinae | 323.4 | 2.4 | 99.3 |
| Lipeurus caponis | 1418.3 | 18.0 | 98.7 |
| Goniocotes gallinae | 7.8 | 0.0 | 100.0 |
| Menacanthus stramineus | 0.3 | 0.0 | 100.0 |
| Menacanthus pallidulus | 1.5 | 0.0 | 100.0 |
| Total of lice | 1753.4 | 20.4 | |
| Total | 2197.5 | 21.0 | 99.0 |
| Treatments 1 | After First Treatment | After Second Treatment | ||||||
|---|---|---|---|---|---|---|---|---|
| %Hen Day | Egg Weight (g) | Egg Mass (g) | FCR | %Hen Day | Egg Weight (g) | Egg Mass (g) | FCR | |
| Battery cages system | ||||||||
| NEOF-1 | 61.95 a | 50.68 a | 31.12 a | 3.23 a | 56.00 a | 47.88 a | 26.81 ab | 2.67 b |
| NEOF-2 | 63.71 a | 49.13 a | 31.28 a | 3.12 a | 57.74 a | 49.67 a | 28.67 a | 2.69 b |
| Cypermethrin | 61.71 a | 48.06 a | 29.70 a | 3.31 a | 59.52 a | 49.68 a | 29.48 a | 2.63 b |
| Control | 64.81 a | 48.17 a | 31.21 a | 3.28 a | 56.41 a | 49.91 a | 28.17 a | 3.16 ab |
| Blank | 60.00 a | 50.20 a | 30.09 a | 3.44 a | 47.41 b | 48.44 a | 22.96 b | 3.60 a |
| Floor pen system | ||||||||
| NEOF-1 | 53.57 a | 51.15 a | 27.41 a | 5.86 a | 49.57 a | 48.50 a | 24.06 a | 3.48 b |
| NEOF-2 | 57.14 a | 50.49 a | 28.94 a | 5.85 a | 49.93 a | 47.83 a | 23.89 a | 3.60 b |
| Cypermethrin | 52.86 a | 47.22 a | 24.95 a | 6.00 a | 47.95 a | 49.23 a | 23.61 a | 3.65 b |
| Control | 55.00 a | 49.90 a | 27.33 a | 6.96 a | 47.13 a | 48.65 a | 22.93 a | 3.86 b |
| Blank | 51.07 a | 46.23 a | 23.74 a | 7.40 a | 36.67 b | 45.17 a | 16.60 b | 4.66 a |
| Treatments 1 | Quantity of Cypermethrin Residues in Eggs (ppm) | |||||||||||
|---|---|---|---|---|---|---|---|---|---|---|---|---|
| Before Treated 1st | Weeks After 1st Treatment | |||||||||||
| - | - | - | 1 | 2 | 6 | - | - | - | 7 | 8 | ||
| Days After 1st Treatment | Before Treated 2nd | Days After 2nd Treatment | ||||||||||
| 1 | 3 | 5 | 7 | 14 | 1 | 3 | 5 | 7 | 14 | |||
| Battery cages system | ||||||||||||
| Cypermethrin | Nd | Nd | 0.048 | 0.101 | 0.123 | 0.104 | 0.029 | 0.030 | 0.102 | 0.173 | 0.191 | 0.153 |
| Other treatments | Nd | Nd | Nd | Nd | Nd | Nd | Nd | Nd | Nd | Nd | Nd | Nd |
| Floor pen system | ||||||||||||
| Cypermethrin | Nd | Nd | 0.060 | 0.085 | 0.106 | 0.061 | 0.026 | 0.022 | 0.062 | 0.101 | 0.117 | 0.073 |
| Other treatments | Nd | Nd | Nd | Nd | Nd | Nd | Nd | Nd | Nd | Nd | Nd | Nd |
| Ornamental Chicken Breeds | Farms | Treatment 2 | Average of Ectoparasites on Chicken per Random set 1 | ||
|---|---|---|---|---|---|
| Before Treatment | Days After Treatment (%Decrease) | ||||
| 3 | 7 | ||||
| Direct spray method | |||||
| Thai bantam chicken | A | NEOF-1 | 51 | 0 (100.0) | 1 (98.0) |
| NEOF-2 | 32 | 21 (34.4) | 0 (100.0) | ||
| B | NEOF-1 | 95 | 9 (90.5) | 0 (100.0) | |
| NEOF-2 | 119 | 14 (88.2) | 5 (95.8) | ||
| C | NEOF-1 | 46 | 11 (76.1) | 0 (100.0) | |
| NEOF-2 | 36 | 6 (83.3) | 0 (100.0) | ||
| D | NEOF-1 | 137 | 26 (81.0) | 1 (99.3) | |
| NEOF-2 | 88 | 11 (87.5) | 1 (98.9) | ||
| Silkie chicken | A | NEOF-1 | 3 | 0 (100.0) | 0 (100.0) |
| NEOF-2 | 9 | 0 (100.0) | 0 (100.0) | ||
| E | NEOF-1 | 4 | 1 (75.0) | 0 (100.0) | |
| NEOF-2 | 2 | 2 (0.0) | 0 (100.0) | ||
| F | NEOF-1 | 4 | 1 (75.0) | 0 (100.0) | |
| NEOF-2 | 4 | 1 (75.0) | 0 (100.0) | ||
| Total | 630 | 103 (83.7) | 8 (98.7) | ||
| Dipping method | |||||
| Thai bantam chicken | A | NEOF-1 | 26 | 0 (100.0) | 0 (100.0) |
| NEOF-2 | 43 | 2 (95.3) | 0 (100.0) | ||
| E | NEOF-1 | 52 | 0 (100.0) | 1 (98.2) | |
| NEOF-2 | 78 | 12 (84.6) | 3 (96.2) | ||
| Silkie chicken | A | NEOF-1 | 20 | 0 (100.0) | 0 (100.0) |
| NEOF-2 | 7 | 2 (71.4) | 0 (100.0) | ||
| G | NEOF-1 | 5 | 2 (60.0) | 0 (100.0) | |
| NEOF-2 | 9 | 2 (77.8) | 3 (66.7) | ||
| Total | 240 | 20 (91.7) | 7 (97.1) | ||
Disclaimer/Publisher’s Note: The statements, opinions and data contained in all publications are solely those of the individual author(s) and contributor(s) and not of MDPI and/or the editor(s). MDPI and/or the editor(s) disclaim responsibility for any injury to people or property resulting from any ideas, methods, instructions or products referred to in the content. |
© 2024 by the authors. Licensee MDPI, Basel, Switzerland. This article is an open access article distributed under the terms and conditions of the Creative Commons Attribution (CC BY) license (https://creativecommons.org/licenses/by/4.0/).
Share and Cite
Pumnuan, J.; Lakyat, A.; Klompanya, A.; Taemchuay, D.; Assavawongsanon, A.; Doungnapa, T.; Kramchote, S. Parasiticidal Properties of Nanoemulsion-Based Plant Essential Oil Formulations for Controlling Poultry Ectoparasites in Farm Conditions. Insects 2024, 15, 829. https://doi.org/10.3390/insects15110829
Pumnuan J, Lakyat A, Klompanya A, Taemchuay D, Assavawongsanon A, Doungnapa T, Kramchote S. Parasiticidal Properties of Nanoemulsion-Based Plant Essential Oil Formulations for Controlling Poultry Ectoparasites in Farm Conditions. Insects. 2024; 15(11):829. https://doi.org/10.3390/insects15110829
Chicago/Turabian StylePumnuan, Jarongsak, Anuwat Lakyat, Ampon Klompanya, Duangkamol Taemchuay, Amorn Assavawongsanon, Thanaporn Doungnapa, and Somsak Kramchote. 2024. "Parasiticidal Properties of Nanoemulsion-Based Plant Essential Oil Formulations for Controlling Poultry Ectoparasites in Farm Conditions" Insects 15, no. 11: 829. https://doi.org/10.3390/insects15110829
APA StylePumnuan, J., Lakyat, A., Klompanya, A., Taemchuay, D., Assavawongsanon, A., Doungnapa, T., & Kramchote, S. (2024). Parasiticidal Properties of Nanoemulsion-Based Plant Essential Oil Formulations for Controlling Poultry Ectoparasites in Farm Conditions. Insects, 15(11), 829. https://doi.org/10.3390/insects15110829

