Differential Susceptibility of Coleomegilla maculata and Scymnus creperus Larvae to Aggression by Solenopsis invicta Workers
Abstract
Simple Summary
Abstract
1. Introduction
2. Materials and Methods
2.1. Plant and Insect Cultures
2.2. Expt. 1: Estimating Predation of R. padi by C. maculata or Sc. creperus in Arenas with or without S. invicta
2.3. Expt. 2: Estimating Frequency of S. invicta Attack and Mortality of C. maculata or Sc. creperus
2.4. Expt. 3: Frequency of Attack by S. invicta and Mortality of C. maculata, Sc. creperus, or Sc. creperus with Wax Removed
2.5. Statistical Analysis
3. Results
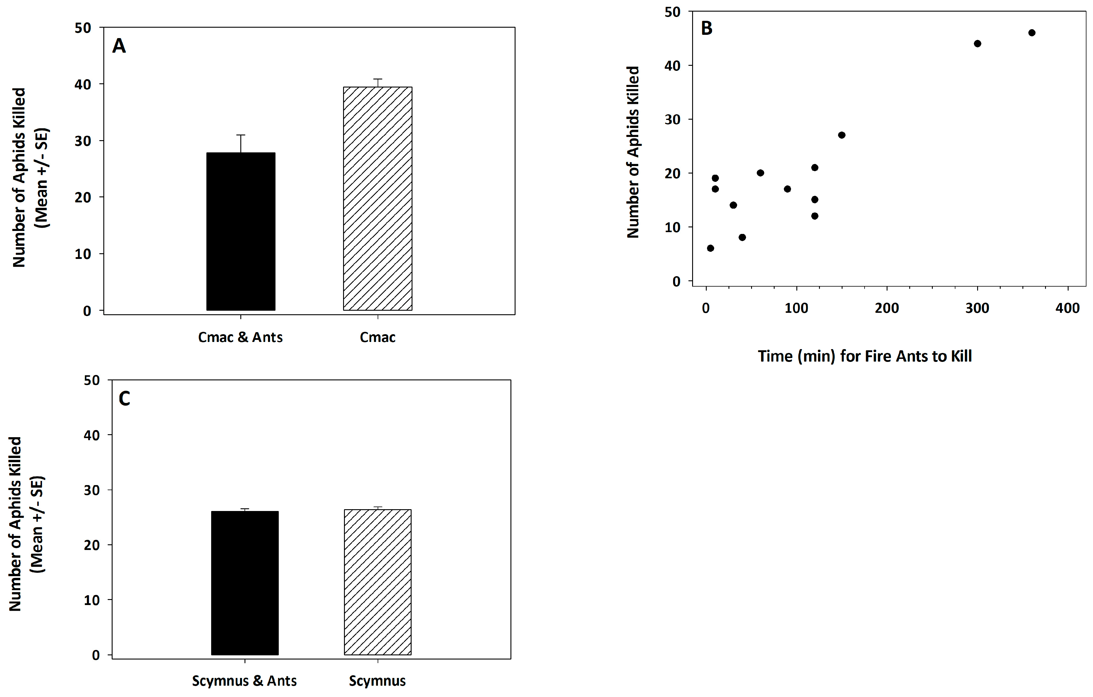
3.1. Expt. 1: Predation of R. padi by C. maculata or Sc. creperus in the Presence/Absence of S. invicta
3.2. Expt. 2: Frequency of Attack by S. invicta and Mortality of C. maculata or Sc. creperus
3.3. Expt. 3: Frequency of Attack by S. invicta and Mortality of C. maculata, Sc. creperus, or Sc. creperus with Wax Removed
4. Discussion
Author Contributions
Funding
Institutional Review Board Statement
Informed Consent Statement
Data Availability Statement
Acknowledgments
Conflicts of Interest
References
- Eubanks, M.D. Estimates of the direct and indirect effects of red imported fire ants on biological control in field crops. Biol. Control. 2001, 21, 35–43. [Google Scholar] [CrossRef]
- Herbert, J.J.; Horn, D.J. Effect of ant attendance by Monomorium minimum (Buckley) (Hymenoptera: Formicidae) on predation and parasitism of the soybean aphid Aphis glycines Matsumura (Hemiptera: Aphididae). Environ. Entomol. 2008, 37, 1258–1263. [Google Scholar] [CrossRef] [PubMed]
- Way, M.J. Mutualism between ants and honeydew-producing Homoptera. Annu. Rev. Entomol. 1963, 8, 307–344. [Google Scholar] [CrossRef]
- Queiroz, J.M.; Oliveira, P.S. Tending ants protect honeydew-producing whiteflies (Homoptera: Aleyrodidae). Environ. Entomol. 2001, 30, 295–297. [Google Scholar] [CrossRef]
- Vinson, S.B.; Scarborough, T.A. Impact of the imported fire ant on laboratory populations of cotton aphid (Aphis gossypii) predators. Fla. Entomol. 1989, 72, 107–111. [Google Scholar] [CrossRef]
- Zhou, A.; Lu, Y.; Zeng, L.; Xu, Y.; Liang, G. Solenopsis invicta (Hymenoptera: Formicidae) defend Phenacoccus solenopsis (Hemiptera: Pseudococcidae) against its natural enemies. Environ. Entomol. 2013, 42, 247–252. [Google Scholar] [CrossRef]
- Daloze, D.; Braekman, J.-C.; Pasteels, J.M. Ladybird defence alkaloids: Structural, chemotaxonomic and biosynthetic aspects (Col.: Coccinellidae). Chemoecology 1995, 5–6, 173–183. [Google Scholar] [CrossRef]
- Pope, R.D. Wax production by coccinellid larvae (Coleoptera). Syst. Entomol. 1979, 4, 171–196. [Google Scholar] [CrossRef]
- Richards, A.M. Defensive adaptations and behaviour in Scymnodes lividigaster (Coleoptera: Coccinellidae). J. Zool. Lond. 1980, 192, 157–168. [Google Scholar] [CrossRef]
- Richards, A.M. Biology and defensive adaptations in Rodatus major (Coleoptera: Coccinellidae) and its prey, Monophlebulus pilosior (Hemiptera: Margarodidae). J. Zool. Lond. 1985, 205, 287–295. [Google Scholar] [CrossRef]
- Liere, H.; Perfecto, I. Cheating on a mutualism: Indirect benefits of ant attendance to a coccidophagous coccinellid. Environ. Entomol. 2008, 37, 143–149. [Google Scholar] [CrossRef]
- Ceryngier, P.; Roy, H.E.; Poland, R.L. Natural enemies of ladybird beetles. In Ecology and Behaviour of Ladybird Beetles (Coccinellidae); Hodek, I., van Emden, H.F., Honěk, A., Eds.; Wiley-Blackwell Publ.: West Sussex, UK, 2012; Chapter 8; pp. 375–443. [Google Scholar]
- Pacheco, P.; Borges, I.; Branco, B.; Lucas, E.; Soares, A.O. Costs and benefits of wax production in the larvae of the ladybeetle Scymnus nubilus. Insects 2021, 12, 458. [Google Scholar] [CrossRef] [PubMed]
- Völkl, W.; Vohland, K. Wax covers in larvae of two Scymnus species: Do they enhance coccinellid larval survival? Oecologia 1996, 107, 498–503. [Google Scholar] [CrossRef] [PubMed]
- Schwartzberg, E.G.; Haynes, K.F.; Johnson, D.W.; Brown, G.C. Wax structures of Scymnus louisianae attenuate aggression from aphid-tending ants. Environ. Entomol. 2010, 39, 1309–1314. [Google Scholar] [CrossRef]
- Hayashi, M.; Nomura, M.; Nakamuta, K. Efficacy of chemical mimicry by aphid predators depends on aphid-learning by ants. J. Chem. Ecol. 2016, 42, 236–239. [Google Scholar] [CrossRef]
- Majerus, M.E.N.; Sloggett, J.J.; Godeau, J.-F.; Hemptinne, J.-L. Interactions between ants and aphidophagous and coccidophagous ladybirds. Popul. Ecol. 2007, 49, 15–27. [Google Scholar] [CrossRef]
- Godeau, J.-F.; Hemptinne, J.-L.; Dixon, A.F.G.; Verhaeghe, J.-C. Reaction of ants to, and feeding biology of, a congeneric myrmecophilous and non-myrmecophilous ladybird. J. Insect Behav. 2009, 22, 173–185. [Google Scholar] [CrossRef]
- Gordon, R.D. The Coccinellidae (Coleoptera) of America North of Mexico. J. N.Y. Entomol. Soc. 1985, 93, 1–912. [Google Scholar]
- Sweetman, H.L.; Smith, M.E. Scymnus creperus Muls., a predator on the woolly elm aphid. J. Econ. Entomol. 1942, 35, 103–104. [Google Scholar] [CrossRef]
- Wells, M.L.; McPherson, R.M.; Ruberson, J.R.; Herzog, G.A. Coccinellids in cotton: Population response to pesticide application and feeding response to cotton aphids (Homoptera: Aphididae). Environ. Entomol. 2001, 30, 785–793. [Google Scholar] [CrossRef]
- Krafsur, E.S.; Obrycki, J.J. Coleomegilla maculata (Coleoptera: Coccinellidae) is a species complex. Ann. Entomol. Soc. Am. 2000, 93, 1156–1163. [Google Scholar] [CrossRef]
- Warren, L.O.; Tadic, M. Biological observations on Coleomegilla maculata and its role as a predator of the fall webworm. J. Econ. Entomol. 1967, 60, 1492–1496. [Google Scholar] [CrossRef]
- Hazzard, R.V.; Ferro, D.N. Feeding responses of adult Coleomegilla maculata (Coleoptera: Coccinellidae) to eggs of Colorado potato beetle (Coleoptera: Chrysomelidae) and green peach aphids (Homoptera: Aphididae). Environ. Entomol. 1991, 20, 644–651. [Google Scholar] [CrossRef]
- Mignault, M.P.; Roy, M.; Brodeur, J. Soybean aphid predators in Québec and the suitability of Aphis glycines as prey for three Coccinellidae. BioControl 2006, 51, 89–106. [Google Scholar] [CrossRef]
- Wetterer, J.K. Exotic spread of Solenopsis invicta Buren (Hymenoptera: Formicidae) beyond North America. Sociobiology 2013, 60, 50–55. [Google Scholar] [CrossRef]
- Wang, L.; Xu, Y.-J.; Zeng, L.; Lu, Y.-Y. Impact of the red imported fire ant Solenopsis invicta Buren on biodiversity in South China: A review. J. Integr. Agric. 2019, 18, 788–796. [Google Scholar] [CrossRef]
- Riddick, E.W.; Wu, Z.; Rojas, M.G. Is Tetranychus urticae suitable prey for development and reproduction of naïve Coleomegilla maculata? Insect Sci. 2014, 21, 83–92. [Google Scholar] [CrossRef]
- Riddick, E.W.; Wu, Z. Does a change from whole to powdered food (Artemia franciscana eggs) increase oviposition in the ladybird Coleomegilla maculata? Insects 2015, 6, 815–826. [Google Scholar] [CrossRef] [PubMed]
- Banks, W.A.; Lofgren, C.S.; Jouvenaz, D.P.; Stringer, C.E.; Bishop, P.M.; Williams, D.F.; Wojcik, D.P.; Glancey, B.M. Techniques for Collecting, Rearing, and Handling Imported Fire Ants; USDA SEA Aats-S-21; AAT-S—U.S. Dept. of Agriculture, Science and Education Administration, Agriculture Research: Gulfport, MI USA, 1981. [Google Scholar]
- Henson, R.D.; Thompson, A.C.; Hedin, P.A.; Nichols, P.R.; Neel, W.W. Identification of precoccinellin in the ladybird beetle, Coleomegilla maculata. Experientia 1975, 31, 145. [Google Scholar] [CrossRef]
- Zhou, A.; Du, Y.; Riddick, E.W.; Li, L.; Chen, J. Behavioral and electrophysiological response of sugarcane aphid and imported fire ant to 2,4,6-trimethylpyridine, an alkaloid from the pink-spotted lady beetle. J. Pest Sci. 2022, 95, 187–201. [Google Scholar] [CrossRef]
- Riddick, E.W. Identification of conditions for successful aphid control by ladybirds in greenhouses. Insects 2017, 8, 38. [Google Scholar] [CrossRef] [PubMed]



Disclaimer/Publisher’s Note: The statements, opinions and data contained in all publications are solely those of the individual author(s) and contributor(s) and not of MDPI and/or the editor(s). MDPI and/or the editor(s) disclaim responsibility for any injury to people or property resulting from any ideas, methods, instructions or products referred to in the content. |
© 2023 by the authors. Licensee MDPI, Basel, Switzerland. This article is an open access article distributed under the terms and conditions of the Creative Commons Attribution (CC BY) license (https://creativecommons.org/licenses/by/4.0/).
Share and Cite
Riddick, E.W.; Wu, Z.; Chen, J. Differential Susceptibility of Coleomegilla maculata and Scymnus creperus Larvae to Aggression by Solenopsis invicta Workers. Insects 2023, 14, 318. https://doi.org/10.3390/insects14040318
Riddick EW, Wu Z, Chen J. Differential Susceptibility of Coleomegilla maculata and Scymnus creperus Larvae to Aggression by Solenopsis invicta Workers. Insects. 2023; 14(4):318. https://doi.org/10.3390/insects14040318
Chicago/Turabian StyleRiddick, Eric W., Zhixin Wu, and Jian Chen. 2023. "Differential Susceptibility of Coleomegilla maculata and Scymnus creperus Larvae to Aggression by Solenopsis invicta Workers" Insects 14, no. 4: 318. https://doi.org/10.3390/insects14040318
APA StyleRiddick, E. W., Wu, Z., & Chen, J. (2023). Differential Susceptibility of Coleomegilla maculata and Scymnus creperus Larvae to Aggression by Solenopsis invicta Workers. Insects, 14(4), 318. https://doi.org/10.3390/insects14040318

