Mating-Induced Common and Sex-Specific Behavioral, Transcriptional Changes in the Moth Fall Armyworm (Spodoptera frugiperda, Noctuidae, Lepidoptera) in Laboratory
Abstract
Simple Summary
Abstract
1. Introduction
2. Materials and Methods
2.1. Insects
2.2. Reproductive Behavior
2.3. Oviposition Pattern
2.4. Mating-Induced Transcriptional Changes
2.4.1. Mating Treatments and Sampling
2.4.2. cDNA Library Preparation and Sequencing
2.4.3. Differential Expression Analysis and Functional Annotation
2.4.4. Validation by qPCR
3. Results
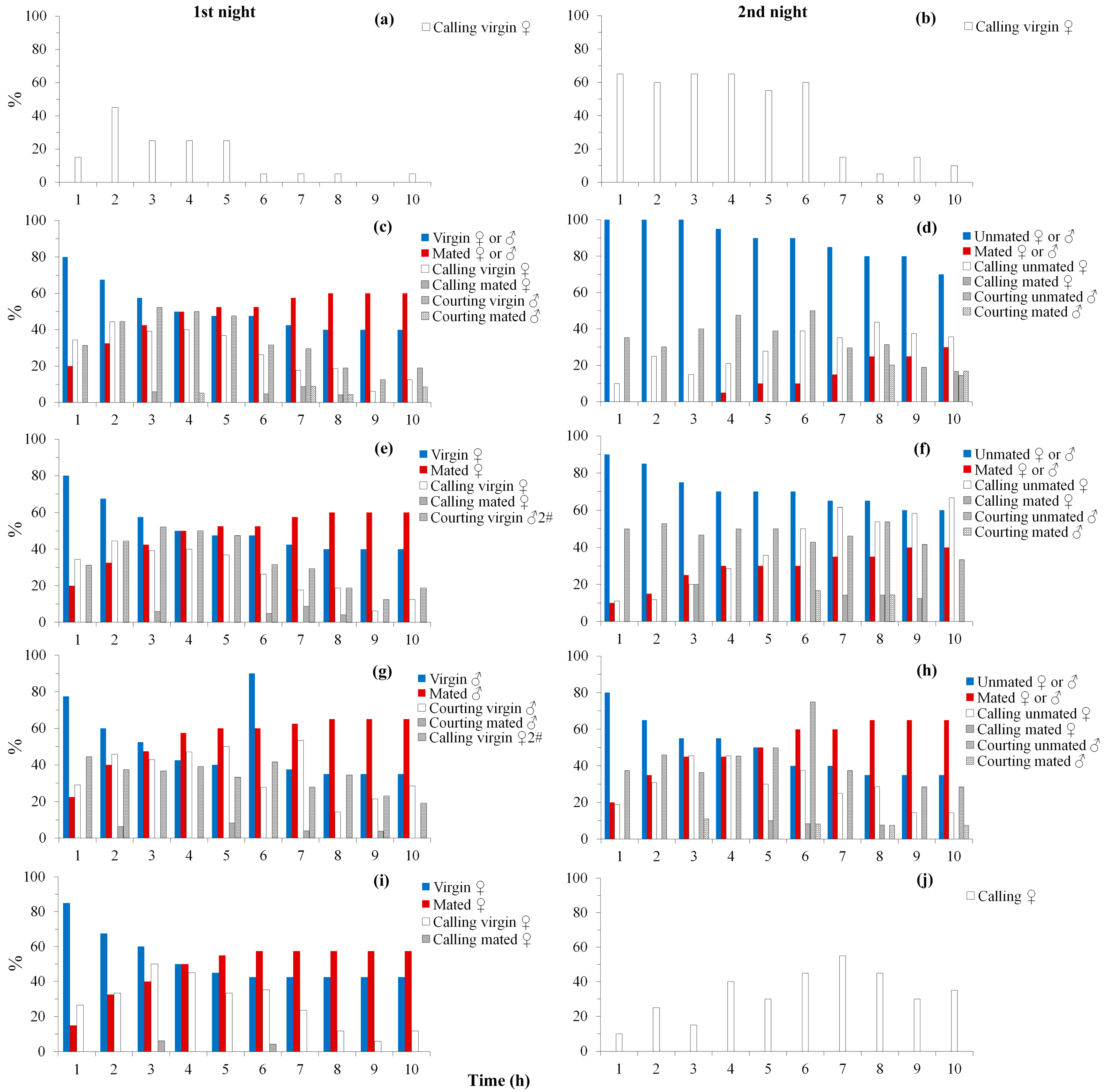
3.1. Reproductive Behavior before and after Mating
3.2. Oviposition Pattern and Fecundity under Different Mating Conditions
3.3. Mating-Induced Transcriptional Changes
3.3.1. Sequencing Quality
3.3.2. Summary of Differential Expression Analysis
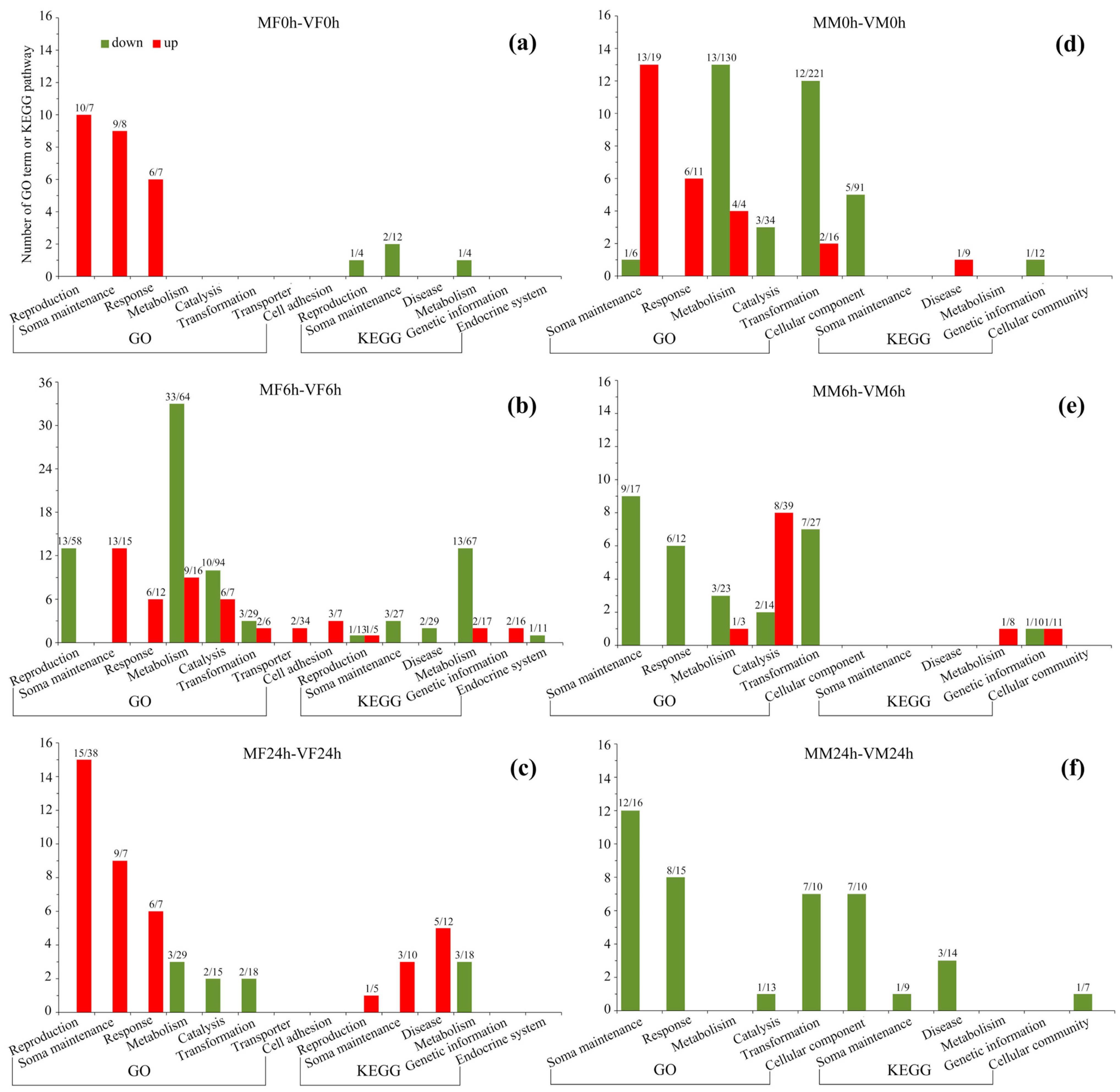
3.3.3. Mating-Induced Transcriptional Changes in Females
3.3.4. Mating-Induced Transcriptional Changes in Males
3.3.5. Mating-Induced Common Changes between Females and Males
3.3.6. Validation of RNAseq Results by qPCR
4. Discussion
Supplementary Materials
Author Contributions
Funding
Institutional Review Board Statement
Informed Consent Statement
Data Availability Statement
Acknowledgments
Conflicts of Interest
References
- Herlinda, S.; Suharjo, R.; Sinaga, M.E.; Fawwazi, F.; Suwandi, S. First report of occurrence of corn and rice strains of fall armyworm, Spodoptera frugiperda in South Sumatra, Indonesia and its damage in maize. J. Saudi Soc. Agric. Sci. 2022, 21, 412–419. [Google Scholar] [CrossRef]
- Capinera, J.L. Fall Armyworm, Spodoptera frugiperda (J.E. Smith) (Insecta: Lepidoptera: Noctuidae). Available online: http://entnemdept.ufl.edu/creatures/field/fall_armyworm.htm (accessed on 26 November 2020).
- CABI. Invasive Species Compendium: Spodoptera frugiperda (Fall Armyworm) Datasheet. Available online: https://www.cabi.org/isc/datasheet/29810 (accessed on 26 November 2020).
- Abrahams, P.; Bateman, M.; Beale, T.; Clottey, V.; Cock, M.; Colmenarez, Y.; Corniani, N.; Day, R.; Early, R.; Godwin, J.; et al. Fall armyworm: Impacts and implications for Africa. Outlooks Pest. Manag. 2017, 28, 196–201. [Google Scholar] [CrossRef]
- Guo, Z.B.; Jiang, R.X.; TANG, Y.L.; Gu, R.C.; Li, Q.Y.; Xing, T.; Xiang, L.; Wu, Y.Y.; Hu, Y.; Liu, X.; et al. Identification of new islolates of gut bacteria of Spodoptera frugiperda feeding on sorghum in Chongqing area. J. Southwest Univ. 2019, 41, 9–16. [Google Scholar]
- Xu, L.N.; Hu, B.J.; Su, X.Y.; Qi, R.D.; Su, W.H.; Qiu, K.; Zhou, Z.Y.; Zheng, Z.Y.; Zhang, Q.Y.; Hu, F.; et al. Genetic analysis of the fall armyworm Spodoptera frugiperda invaded in Anhui province. Plant Prot. 2019, 45, 47–53. [Google Scholar]
- Zhang, L.; Liu, B.; Jiang, Y.Y.; Liu, J.; Wu, K.M.; Xiao, Y.T. Molecular characterization analysis of fall armyworm populations in China. Plant Prot. 2019, 45, 20–27. [Google Scholar]
- Qin, Y.; Yang, D.; Kang, D.; Zhao, Z.; Zhao, Z.; Yang, P.; Li, Z. Potential economic loss assessment of maize industry caused by fall armyworm (Spodoptera frugiperda) in China. Plant Prot. 2020, 46, 69–73. [Google Scholar]
- Johnson, S.J. Migration and the life history strategy of the fall armyworm, Spodoptera frugiperda in the western hemisphere. Int. J. Trop. Insect Sci. 1987, 8, 543–549. [Google Scholar] [CrossRef]
- Westbrook, J.K.; Nagoshi, R.N.; Meagher, R.L.; Fleischer, S.J.; Jairam, S. Modeling seasonal migration of fall armyworm moths. Int. J. Biometeorol. 2016, 60, 255–267. [Google Scholar] [CrossRef]
- APRD. Arthropod Pesticide Resistance Database. Available online: http://www.pesticide-resistance.org/ (accessed on 18 May 2021).
- Li, Y.; Zhang, S.; Wang, X.; Xie, X.; Liang, P.; Zhang, L.; Gu, S.; Gao, X. Current status of insecticide resistance in Spodoptera frugiperda and strategies for its chemical control. Plant Prot. 2019, 45, 14–19. [Google Scholar]
- Montezano, D.G.; Specht, A.; Sosa-Gomez, D.R.; Roque-Specht, V.F.; Sousa-Silva, J.C.; Paula-Moraes, S.V.; Peterson, J.A.; Hunt, T.E. Host plants of Spodoptera frugiperda (Lepidoptera: Noctuidae) in the Americas. Afr. Entomol. 2018, 26, 286–300. [Google Scholar] [CrossRef]
- Burtet, L.M.; Bernardi, O.; Melo, A.A.; Pes, M.P.; Strahl, T.T.; Guedes, J.V.C. Managing fall armyworm, Spodoptera frugiperda (Lepidoptera: Noctuidae), with Bt maize and insecticides in southern Brazil. Pest. Manag. Sci. 2017, 73, 2569–2577. [Google Scholar] [CrossRef]
- Anholt, R.R.H.; O’Grady, P.; Wolfner, M.F.; Harbison, S.T. Evolution of reproductive behavior. Genetics 2020, 214, 49–73. [Google Scholar] [CrossRef]
- Xu, H.H.; Wang, J.L.; Wei, J.Q.; Zhu, J.; Lin, F. Insect population genetic regulation and reproductive characteristic interference and their prospects on controlling Spodoptera frugiperda. J. South China Agric. Univ. 2020, 41, 1–8. [Google Scholar]
- Xu, J.; Chen, P. Reproductive Behavior and Related Genes of Spodoptera litura; China forestry publishing house: Beijing, China, 2019. [Google Scholar]
- Gillott, C. Male accessory gland secretions: Modulators of female reproductive physiology and behavior. Annu. Rev. Entomol. 2003, 48, 163–184. [Google Scholar] [CrossRef]
- Morimoto, J.; McDonald, G.C.; Smith, E.; Smith, D.T.; Perry, J.C.; Chapman, T.; Pizzari, T.; Wigby, S. Sex peptide receptor-regulated polyandry modulates the balance of pre- and post-copulatory sexual selection in Drosophila. Nat. Commun. 2019, 10, 283. [Google Scholar] [CrossRef]
- Avila, F.W.; Sirot, L.K.; LaFlamme, B.A.; Rubinstein, C.D.; Wolfner, M.F. Insect seminal fluid proteins: Identification and function. Annu. Rev. Entomol. 2011, 56, 21–40. [Google Scholar] [CrossRef]
- Yapici, N.; Kim, Y.J.; Ribeiro, C.; Dickson, B.J. A receptor that mediates the post-mating switch in Drosophila reproductive behaviour. Nature 2008, 451, 33–37. [Google Scholar] [CrossRef]
- Naccarati, C.; Audsley, N.; Keen, J.N.; Kim, J.H.; Howell, G.J.; Kim, Y.J.; Isaac, R.E. The host-seeking inhibitory peptide, Aea-HP-1, is made in the male accessory gland and transferred to the female during copulation. Peptides 2012, 34, 150–157. [Google Scholar] [CrossRef]
- Xu, J. Reproductive Behaviour of Ephestia kuehniella Zeller (Lepidoptera: Pyralidae). Ph.D. Thesis, Massey University, Palmerston North, New Zealand, 2010. [Google Scholar]
- Wallace, E.K.; Albert, P.J.; McNeil, J.N. Oviposition behavior of the eastern spruce budworm Choristoneura fumiferana (Clemens) (Lepidoptera: Tortricidae). J. Insect Behav. 2004, 17, 145–154. [Google Scholar] [CrossRef]
- Barrozo, R.B.; Jarriault, D.; Deisig, N.; Gemeno, C.; Monsempes, C.; Lucas, P.; Gadenne, C.; Anton, S. Mating-induced differential coding of plant odour and sex pheromone in a male moth. Eur. J. Neurosci. 2011, 33, 1841–1850. [Google Scholar] [CrossRef]
- Itoh, Y.; Okumura, Y.; Fujii, T.; Ishikawa, Y.; Omura, H. Effects of mating on host selection by female small white butterflies Pieris rapae (Lepidoptera: Pieridae). J. Comp. Physiol. A 2018, 204, 245–255. [Google Scholar] [CrossRef] [PubMed]
- Yu, J.F.; Li, C.; Xu, J.; Liu, J.H.; Ye, H. Male accessory gland secretions modulate female post-mating behavior in the moth Spodoptera litura. J. Insect Behav. 2014, 27, 105–116. [Google Scholar] [CrossRef]
- Xu, J.; Wang, Q. Seminal fluid reduces female longevity and stimulates egg production and sperm trigger oviposition in a moth. J. Insect Physiol. 2011, 57, 385–390. [Google Scholar] [CrossRef] [PubMed]
- Hanin, O.; Azrielli, A.; Applebaum, S.W.; Rafaeli, A. Functional impact of silencing the Helicoverpa armigera sex-peptide receptor on female reproductive behaviour. Insect Mol. Biol. 2012, 21, 161–167. [Google Scholar] [CrossRef] [PubMed]
- Hanin, O.; Azrielli, A.; Zakin, V.; Applebaum, S.; Rafaeli, A. Identification and differential expression of a sex-peptide receptor in Helicoverpa armigera. Insect Biochem. Mol. 2011, 41, 537–544. [Google Scholar] [CrossRef]
- Li, C.; Yu, J.-F.; Lu, Q.; Xu, J.; Liu, J.-H.; Ye, H. Molecular characterization and functional analysis of a putative sex-peptide receptor in the tobacco cutworm Spodoptera litura (Fabricius, 1775) (Lepidoptera: Noctuidae). Aust. Entomol. 2014, 53, 424–431. [Google Scholar] [CrossRef]
- Zhou, S.; Mackay, T.F.C.; Anholt, R.R.H. Transcriptional and epigenetic responses to mating and aging in Drosophila melanogaster. BMC Genom. 2014, 15, 927. [Google Scholar] [CrossRef]
- McGraw, L.A.; Clark, A.G.; Wolfner, M.F. Post-mating gene expression profiles of female Drosophila melanogaster in response to time and to four male accessory gland proteins. Genetics 2008, 179, 1395–1408. [Google Scholar] [CrossRef]
- Immonen, E.; Ritchie, M.G. The genomic response to courtship song stimulation in female Drosophila melanogaster. Proc. Biol. Sci. 2012, 279, 1359–1365. [Google Scholar] [CrossRef]
- Dalton, J.E.; Kacheria, T.S.; Knott, S.R.V.; Lebo, M.S.; Nishitani, A.; Sanders, L.E.; Stirling, E.J.; Winbush, A.; Arbeitman, M.N. Dynamic, mating-induced gene expression changes in female head and brain tissues of Drosophila melanogaster. BMC Genom. 2010, 11, 541. [Google Scholar] [CrossRef]
- Wang, F.; Gao, B.; Yu, H.; Li, Y.-H.; Chen, P.; Xu, J. Mating triggers immediate upregulation of the heat shock response but downregulation of immune activity in the female reproductive tract of moths. J. Asia-Pacific Entomol. 2022, 25, 101919. [Google Scholar] [CrossRef]
- Huo, Z.; Liu, Y.; Yang, J.; Xie, W.; Wang, S.; Wu, Q.; Zhou, X.; Pang, B.; Zhang, Y. Transcriptomic analysis of mating responses in Bemisia tabaci MED females. Insects 2020, 11, 308. [Google Scholar] [CrossRef]
- Yu, H.; Shi, M.-R.; Xu, J.; Chen, P.; Liu, J.-H. Mating-induced trade-offs upon egg production versus fertilization and offspring’s survival in a sawfly with facultative parthenogenesis. Insects 2021, 12, 693. [Google Scholar] [CrossRef]
- Schwenke, R.A.; Lazzaro, B.P.; Wolfner, M.F. Reproduction-immunity trade-offs in insects. Annu. Rev. Entomol. 2016, 61, 239–256. [Google Scholar] [CrossRef]
- Shih, S.R.; Huntsman, E.M.; Flores, M.E.; Snow, J.W. Reproductive potential does not cause loss of heat shock response performance in honey bees. Sci. Rep. 2020, 10, 19610. [Google Scholar] [CrossRef]
- Gao, B.; Song, X.Q.; Yu, H.; Fu, D.Y.; Xu, J.; Ye, H. Mating-induced differential expression in genes related to reproduction and immunity in Spodoptera litura (Lepidoptera: Noctuidae) female moths. J. Insect Sci. 2020, 20, 10. [Google Scholar] [CrossRef]
- Kapelnikov, A.; Zelinger, E.; Gottlieb, Y.; Rhrissorrakrai, K.; Gunsalus, K.C.; Heifetz, Y. Mating induces an immune response and developmental switch in the Drosophila oviduct. Proc. Natl. Acad. Sci. USA 2008, 105, 13912–13917. [Google Scholar] [CrossRef]
- Li, G.; Chen, Q.; Pang, Y. Studies of artificial diets for the beet armyworm, Spodoptera exigua. Acta Sci. Nat. Univ. Sunyatseni 1998, 4, 1–5. [Google Scholar]
- Dong, Q.-J.; Zhou, J.-C.; Zhu, K.-H.; Z-T, Z.; Dong, H. A simple method for identifiying sexuality of Spodoptera frugiperda (J. E. Smith) pupae and adults. Plant Prot. 2019, 45, 96–98. [Google Scholar]
- Luo-Yan, Z.; Wang, F.; Wan, X.-S.; Xu, J.; Ye, H. Reproductive behavior and circadian rhythms of Spodoptera frugiperda. J. Environ. Entomol. 2022, 44, 509–522. [Google Scholar]
- Rainaa, A.K.; Werginb, W.P.; Murphyb, C.A.; Erbe, E.F. Structural organization of the sex pheromone gland in Helicoverpa zea in relation to pheromone production and release. Arthropod. Struct. Dev. 2000, 29, 343–353. [Google Scholar] [CrossRef]
- Xiao, H.; Ye, X.; Xu, H.; Mei, Y.; Yang, Y.; Chen, X.; Yang, Y.; Liu, T.; Yu, Y.; Yang, W.; et al. The genetic adaptations of fall armyworm Spodoptera frugiperda facilitated its rapid global dispersal and invasion. Mol. Ecol. Resour. 2020, 20, 1050–1068. [Google Scholar] [CrossRef] [PubMed]
- Storey, J.D. The positive false discovery rate: A Bayesian interpretation and the q-value. Ann. Stat. 2003, 31, 2013–2035. [Google Scholar] [CrossRef]
- Altschul, S.F.; Madden, T.L.; Schaffer, A.A.; Zhang, J.; Zhang, Z.; Miller, W.; Lipman, D.J. Gapped BLAST and PSI-BLAST: A new generation of protein database search programs. Nucleic Acids Res. 1997, 25, 3389–3402. [Google Scholar] [CrossRef] [PubMed]
- Livak, K.J.; Schmittgen, T.D. Analysis of relative gene expression data using real-time quantitative PCR and the 2−ΔΔCT method. Methods 2001, 25, 402–408. [Google Scholar] [CrossRef]
- Chen, P.S.; Stummzollinger, E.; Aigaki, T.; Balmer, J.; Bienz, M.; Bohlen, P. A male accessory gland peptide that regulates reproductive behavior of female Drosophila melanogaster. Cell 1988, 54, 291–298. [Google Scholar] [CrossRef]
- Xu, J.; Wang, Q.; He, X.Z. Emergence and reproductive rhythms of Ephestia kuehniella (Lepidoptera: Pyralidae). N. Z. Plant Prot. 2008, 61, 277–282. [Google Scholar] [CrossRef]
- Ando, T.; Inomata, S.; Yamamoto, M. Lepidopteran sex pheromones. Top. Curr. Chem. 2004, 239, 51–96. [Google Scholar]
- Kingan, T.G.; Bodnar, W.M.; Raina, A.K.; Shabanowitz, J.; Hunt, D.F. The loss of female sex pheromone after mating in the corn earworm moth Helicoverpa zea: Identification of a male pheromonostatic peptide. Proc. Natl. Acad. Sci. USA 1995, 92, 5082–5086. [Google Scholar] [CrossRef]
- Gadenne, C.; Dufour, M.C.; Anton, S. Transient post-mating inhibition of behavioural and central nervous responses to sex pheromone in an insect. Proc. Biol. Sci. 2001, 268, 1631–1635. [Google Scholar] [CrossRef]
- Barrozo, R.B.; Gadenne, C.; Anton, S. Post-mating sexual abstinence in a male moth. Commun. Integr. Biol. 2010, 3, 629–630. [Google Scholar] [CrossRef]
- Kromann, S.H.; Saveer, A.M.; Binyameen, M.; Bengtsson, M.; Birgersson, G.; Hansson, B.S.; Schlyter, F.; Witzgall, P.; Ignell, R.; Becher, P.G. Concurrent modulation of neuronal and behavioural olfactory responses to sex and host plant cues in a male moth. Proc. Biol. Sci. 2015, 282, 20141884. [Google Scholar] [CrossRef]
- Durand, N.; Aguilar, P.; Demondion, E.; Bourgeois, T.; Bozzolan, F.; Debernard, S. Neuroligin 1 expression is linked to plasticity of behavioral and neuronal responses to sex pheromone in the male moth Agrotis ipsilon. J. Exp. Biol. 2021, 224, jeb243184. [Google Scholar] [CrossRef]
- Li, C.; Yu, J.-F.; Xu, J.; Liu, J.-H.; Ye, H. Reproductive rhythms of the tobacco cutworm, Spodoptera litura (Lepidoptera: Noctuidae). GSTF J. BioSci 2012, 2, 25–29. [Google Scholar] [CrossRef]
- Friedlander, M.; Seth, R.K.; Reynolds, S.E. Eupyrene and apyrene sperm: Dichotomous spermatogenesis in Lepidoptera. Adv. Insect Physiol. 2005, 32, 206–308. [Google Scholar]
- Xu, J.; Wang, Q. Mechanisms of last male precedence in a moth: Sperm displacement at ejaculation and storage sites. Behav. Ecol. 2010, 21, 714–721. [Google Scholar] [CrossRef]
- Keller, L.; Reeve, H.K. Why do females mate with multiple males? The sexually selected sperm hypothesis. Adv. Stud. Behav. 1995, 24, 291–315. [Google Scholar]
- Arnqvist, G.; Nilsson, T. The evolution of polyandry: Multiple mating and female fitness in insects. Anim. Behav. 2000, 60, 145–164. [Google Scholar] [CrossRef]
- Simmons, L.W. Sperm Competition and Its Evolutionary Consequences in the Insects; Princeton University Press: Princeton, TX, USA, 2001; p. 434. [Google Scholar]
- Thonhauser, K.E.; Raveh, S.; Hettyey, A.; Beissmann, H.; Penn, D.J. Why do female mice mate with multiple males? Behav. Ecol. Sociobiol. 2013, 67, 1961–1970. [Google Scholar] [CrossRef]
- Archer, M.S.; Elgar, M.A. Female preference for multiple partners: Sperm competition in the hide beetle, Dermestes maculatus (DeGeer). Anim. Behav. 1999, 58, 669–675. [Google Scholar] [CrossRef]
- Xu, J.; Wang, Q. A polyandrous female moth discriminates against previous mates to gain genetic diversity. Anim. Behav. 2009, 78, 1309–1315. [Google Scholar] [CrossRef]
- Li, Y.Y.; Yu, J.F.; Lu, Q.; Xu, J.; Ye, H. Female and male moths display different reproductive behavior when facing new versus previous mates. PLoS ONE 2014, 9, e109564. [Google Scholar] [CrossRef]
- Thornhill, R.; Alcock, J. The evolution of Insect Mating Systems. Harvard University Press: Cambridge, MA, USA, 1983; p. 547. [Google Scholar]
- Zeh, J.A.; Zeh, D.W. The evolution of polyandry I: Intragenomic conflict and genetic incompatibility. Proc. Biol. Sci. 1996, 263, 1711–1717. [Google Scholar] [CrossRef]
- Madsen, T.; Shine, R.; Loman, J.; Hakansson, T. Why do female adders copulate so frequently. Nature 1992, 355, 440–441. [Google Scholar] [CrossRef]
- Caspers, B.A.; Krause, E.T.; Hendrix, R.; Kopp, M.; Rupp, O.; Rosentreter, K.; Steinfartz, S. The more the better—Polyandry and genetic similarity are positively linked to reproductive success in a natural population of terrestrial salamanders (Salamandra salamandra). Mol. Ecol. 2014, 23, 239–250. [Google Scholar] [CrossRef] [PubMed]
- Kokko, H.; Brooks, R.; McNamara, J.M.; Houston, A.I. The sexual selection continuum. Proc. Biol. Sci. 2002, 269, 1331–1340. [Google Scholar] [CrossRef] [PubMed]
- Suzaki, Y.; Katsuki, M.; Miyatake, T.; Okada, Y. Male courtship behavior and weapon trait as indicators of indirect benefit in the bean bug, Riptortus pedestris. PLoS ONE 2013, 8, e83278. [Google Scholar] [CrossRef] [PubMed]
- Walters, J.R.; Harrison, R.G. Combined EST and proteomic analysis identifies rapidly evolving seminal fluid proteins in Heliconius butterflies. Mol. Biol. Evol. 2010, 27, 2000–2013. [Google Scholar] [CrossRef] [PubMed]
- Bayram, H.; Sayadi, A.; Goenaga, J.; Immonen, E.; Arnqvist, G. Novel seminal fluid proteins in the seed beetle Callosobruchus maculatus identified by a proteomic and transcriptomic approach. Insect Mol. Biol. 2017, 26, 58–73. [Google Scholar] [CrossRef]
- Okada, K.; Suzaki, Y.; Sasaki, R.; Katsuki, M. Fitness costs of polyandry to female cigarette beetle Lasioderma serricorne. Behav. Ecol. Sociobiol. 2017, 71, 86. [Google Scholar] [CrossRef]
- Whitlow, C.B. Bacterial sexually transmitted diseases. Clin. Colon. Rectal. Surg. 2004, 17, 209–214. [Google Scholar] [CrossRef]
- Smith, G.; Dobson, A.P. Sexually transmitted diseases in animals. Parasitol. Today 1992, 8, 159–166. [Google Scholar] [CrossRef]
- Oku, K.; Price, T.A.R.; Wedell, N. Does mating negatively affect female immune defences in insects? Anim. Biol. 2019, 69, 117–136. [Google Scholar] [CrossRef]
- LeMotte, P.; Kuroiwa, A.; Fessler, L.; Gehring, W. The homeotic gene Sex Combs Reduced of Drosophila: Gene structure and embryonic expression. Embo J. 1989, 8, 219–227. [Google Scholar] [CrossRef]
- Van Rompay, L.; Borghgraef, C.; Beets, I.; Caers, J.; Temmerman, L. New genetic regulators question relevance of abundant yolk protein production in C. elegans. Sci. Rep. 2015, 5, 16381. [Google Scholar] [CrossRef]
- Upadhyay, S.; Singh, H.; Dixit, S.; Mendu, V.; Verma, P. Molecular characterization of vitellogenin and vitellogenin receptor of bemisia tabaci. PLoS ONE 2016, 11, e0155306. [Google Scholar] [CrossRef]
- Pu, Y.-C.; Hou, Y.-M.; Shi, Z.-H.; Liang, X.-Y. Defensive secretions and the trade-off between internal and external immunity ininsects. Acta Entomol. Sin. 2017, 60, 962–974. [Google Scholar]
- Roy, S.; Saha, T.; Zou, Z.; Raikhel, A. Regulatory pathways controlling insect reproduction. Annu. Rev. Entomol. 2018, 63, 489–511. [Google Scholar] [CrossRef]
- Smykal, V.; Raikhel, A.S. Nutritional control of insect reproduction. Curr. Opin. Insect Sci. 2015, 11, 31–38. [Google Scholar] [CrossRef]
- Galagovsky, D.; Katz, M.; Acevedo, J.; Sorianello, E.; Glavic, A.; Wappner, P. The Drosophila insulin-degrading enzyme restricts growth by modulating the PI3K pathway in a cell-autonomous manner. Mol. Biol. Cell 2014, 25. [Google Scholar] [CrossRef]
- Park, W.-R.; Lim, D.; Sang, H.; Kim, E.; Moon, J.-H.; Choi, H.-S.; Kim, I.S.; Kim, D.-K. Aphid estrogen-related receptor controls glycolytic gene expression and fecundity. Insect Biochem. Molec. 2021, 130, 103529. [Google Scholar] [CrossRef] [PubMed]
- De Montellano, P. Cytochrome P450: Structure, Mechanism, and Biochemistry; Kluwer Academic/Plenum Publishers: New York, NY, USA, 2005; Volume 127. [Google Scholar]
- Kønig, S.M.; Rissler, V.; Terkelsen, T.; Lambrughi, M.; Papaleo, E. Alterations of the interactome of Bcl-2 proteins in breast cancer at the transcriptional, mutational and structural level. PLoS Comput. Biol. 2019, 15, e1007485. [Google Scholar] [CrossRef] [PubMed]
- Stuart, L.M.; Ezekowitz, R.A.B. Phagocytosis: Elegant complexity. Immunity 2005, 22, 539–550. [Google Scholar] [CrossRef] [PubMed]
- Wu, Q.; Patocka, J.; Kuca, K. Insect antimicrobial peptides, a mini review. Toxins 2018, 10, 461. [Google Scholar] [CrossRef] [PubMed]
- Fabra, M.; Cerdà, J. Ovarian cysteine proteinases in the teleost Fundulus heteroclitus: Molecular cloning and gene expression during vitellogenesis and oocyte maturation. Mol. Reprod. Dev. 2004, 67, 282–294. [Google Scholar] [CrossRef]
- Kwon, J.Y.; Prat, F.; Randall, C.; Tyler, C.R. Molecular characterization of putative yolk processing enzymes and their expression during oogenesis and embryogenesis in rainbow trout (Oncorhynchus mykiss). Biol. Reprod. 2001, 65, 1701–1709. [Google Scholar] [CrossRef]
- Vogel, A.M.; Gerster, T. Expression of a zebrafish Cathepsin L gene in anterior mesendoderm and hatching gland. Dev. Genes Evol. 1997, 206, 477–479. [Google Scholar] [CrossRef]
- Page, R.C.; Schroeder, H.E. Pathogenesis of inflammatory periodontal disease. A summary of current work. Lab. Invest. 1976, 34, 235–249. [Google Scholar]
- Yan, X.; Wu, Z.; Yu, T.; Hu, Y.; Wang, S.; Deng, C.; Zhao, B.; Nakanishi, H.; Zhang, X. Involvement of cathepsins in innate and adaptive immune responses in periodontitis. Evid. Based Complement. Alternat. Med. 2020, 2020, 1–9. [Google Scholar] [CrossRef]
- Williams, J.A.; Hyland, R.; Jones, B.C.; Smith, D.A.; Hurst, S.; Goosen, T.C.; Peterkin, V.; Koup, J.R.; Ball, S.E. Drug-drug interactions for UDP-glucuronosyltransferase substrates: A pharmacokinetic explanation for typically observed low exposure (AUCi/AUC) ratios. Drug Metab. Dispos. 2004, 32, 1201–1208. [Google Scholar] [CrossRef]
- Ueda, O.; Sugihara, K.; Ohta, S.; Kitamura, S. Involvement of molybdenum hydroxylases in reductive metabolism of nitro polycyclic aromatic hydrocarbons in mammalian skin. Drug Metab. Dispos. 2005, 33, 1312. [Google Scholar] [CrossRef]
- Sugihara, K.; Tatsumi, K. Participation of liver aldehyde oxidase in reductive metabolism of hydroxamic acids to amides. Arch. Biochem. Biophys. 1986, 247, 289–293. [Google Scholar] [CrossRef]
- Kong, J.; Han, H.; Bergalet, J.; Bouvrette, L.P.B.; Hernández, G.; Moon, N.-S.; Vali, H.; Lécuyer, É.; Lasko, P. A ribosomal protein S5 isoform is essential for oogenesis and interacts with distinct RNAs in Drosophila melanogaster. Sci. Rep. 2019, 9, 13779. [Google Scholar] [CrossRef]
- Finch, S.; Shoemark, A.; Dicker, A.; Keir, H.; Smith, A.; Ong, S.; Tan, B.; Choi, J.Y.; Fardon, T.; Cassidy, D.; et al. Pregnancy zone protein is associated with airway infection, neutrophil extracellular trap formation, and disease severity in bronchiectasis. Am. J. Resp. Crit. Care 2019, 200, 992–1001. [Google Scholar] [CrossRef]
- Skornicka, E.L.; Kiyatkina, N.; Weber, M.C.; Tykocinski, M.L.; Koo, P.H. Pregnancy zone protein is a carrier and modulator of placental protein-14 in T-cell growth and cytokine production. Cell Immunol. 2004, 232, 144–156. [Google Scholar] [CrossRef]
- Peterson, L.; Artis, D. Intestinal epithelial cells: Regulators of barrier function and immune homeostasis. Nat. Rev. Immunol. 2014, 14, 141–153. [Google Scholar] [CrossRef]
- Medzhitov, R.; Janeway, C. Decoding the patterns of self and nonself by the innate immune system. Science 2002, 296, 298–300. [Google Scholar] [CrossRef]
- Ragan, E.J.; An, C.; Jiang, H. Roles of haemolymph proteins in antimicrobial defences of Manduca sexta. In Insect Infection and Immunity: Evolution, Ecology, and Mechanisms; Rolff, J., Reynolds, S.E., Eds.; Oxford University Press: Oxford, UK, 2009; pp. 2034–2048. [Google Scholar] [CrossRef]
- Russell, S.; Small, C.; Kennedy, A.; Stanley, S.; Seth, A.; Murphy, K.; Taheri, S.; Ghatei, M.; Bloom, S. Orexin A interactions in the hypothalamo-pituitary gonadal axis. Endocrinology 2002, 142, 5294–5302. [Google Scholar] [CrossRef]
- Labbadia, J.; Morimoto, R.I. Repression of the heat shock response is a programmed event at the onset of reproduction. Mol. Cell 2015, 59, 639–650. [Google Scholar] [CrossRef]
- Li, L.; Qian, G.; Zuo, Y.; Yuan, Y.; Cheng, Q.; Guo, T.; Liu, J.; Liu, C.; Zhang, L.; Zheng, H. Ubiquitin-dependent turnover of adenosine deaminase acting on RNA 1 (ADAR1) is required for efficient antiviral activity of type i interferon. J. Biol. Chem. 2016, 291, 24974–24985. [Google Scholar] [CrossRef]
- Wei, Y.-S.; Zhang, H.; Lu, X.-H.; Dong, Y.-S.; Zhao, B.-H. N01WA-735E‚a human leukocyte elastase inhibitor from metabolites of microorganisms. Chin. J. Biotechnol. 2007, 23, 1112–1115. [Google Scholar]
- Alla, V.; Kashyap, A.; Gregor, S.; Theobald, M.; Heid, H.; Galle, P.R.; Strand, D.; Strand, S. Human leukocyte elastase counteracts matrix metalloproteinase-7 induced apoptosis resistance of tumor cells. Cancer Lett. 2008, 268, 331–339. [Google Scholar] [CrossRef]
- Henriksen, P.A.; Sallenave, J.-M. Human neutrophil elastase: Mediator and therapeutic target in atherosclerosis. Int. J. Biochem. Cell Bio 2008, 40, 1095–1100. [Google Scholar] [CrossRef] [PubMed]
- Jeggo, P.; Pearl, L.; Carr, A. DNA repair, genome stability and cancer: A historical perspective. Nat. Rev. Cancer 2015, 16, 35–42. [Google Scholar] [CrossRef] [PubMed]
- MacKenzie, E.; Iwasaki, K.; Tsuji, Y. Intracellular iron transport and storage: From molecular mechanisms to health implications. Antioxid. Redox Signaling 2008, 10, 997–1030. [Google Scholar] [CrossRef]
- Anderson, B.; Baker, E. Dealing with iron: Common structural principles in proteins that transport iron and heme. Proc. Natl. Acad. Sci. USA 2003, 100, 3579–3583. [Google Scholar] [CrossRef]
- Horsted, F.; West, J.; Grainge, M. Risk of venous thromboembolism in patients with cancer: A systematic review and meta-analysis. PLoS Med. 2012, 9, e1001275. [Google Scholar] [CrossRef]
- D’Amico, M.; Pasta, F. Combined genetic mutations have remarkable effect on portal vein thrombosis and Budd Chiari syndrome. Gene 2014, 540, 268–269. [Google Scholar] [CrossRef]
- Sipione, S.; Simmen, K.; Lord, S.; Motyka, B.; Ewen, C.; Shostak, I.; Rayat, G.; Dufour, J.; Korbutt, G.; Rajotte, R.; et al. Identification of a novel human granzyme b inhibitor secreted by cultured sertoli cells. J. Immunol. 2006, 177, 5051–5058. [Google Scholar] [CrossRef]
- Campbell, P.; Cao, A.; Hines, E.; East, P.; Gordon, K.H.J. Proteomic analysis of the peritrophic matrix from the gut of the caterpillar, Helicoverpa armigera. Insect Biochem. Molec. 2008, 38, 950–958. [Google Scholar] [CrossRef]
- Tsigos, I.; Martinou, A.; Kafetzopoulos, D.; Bouriotis, V. Chitin deacetylases: New, versatile tools in biotechnology. Trends Biotechnol. 2000, 18, 305–312. [Google Scholar] [CrossRef]
- Zhang, Z.; Yan, J.; Liu, Q.; Zhang, Y.; Gong, J.; Hou, Y. Genome-wide analysis and hormone regulation of chitin deacetylases in silkworm. Int. J. Mol. Sci. 2019, 20, 1679. [Google Scholar] [CrossRef]
- Luschnig, S.; Bätz, T.; Armbruster, K.; Krasnow, M.A. Serpentine and vermiform encode matrix proteins with chitin binding and deacetylation domains that limit tracheal tube length in Drosophila. Curr. Biol. 2006, 16, 186–194. [Google Scholar] [CrossRef]
- McGreal, E.P.; Miller, J.L.; Gordon, S. Ligand recognition by antigen-presenting cell C-type lectin receptors. Curr. Opin. Immunol. 2005, 17, 18–24. [Google Scholar] [CrossRef]






Disclaimer/Publisher’s Note: The statements, opinions and data contained in all publications are solely those of the individual author(s) and contributor(s) and not of MDPI and/or the editor(s). MDPI and/or the editor(s) disclaim responsibility for any injury to people or property resulting from any ideas, methods, instructions or products referred to in the content. |
© 2023 by the authors. Licensee MDPI, Basel, Switzerland. This article is an open access article distributed under the terms and conditions of the Creative Commons Attribution (CC BY) license (https://creativecommons.org/licenses/by/4.0/).
Share and Cite
Wu, T.; Cao, D.-H.; Liu, Y.; Yu, H.; Fu, D.-Y.; Ye, H.; Xu, J. Mating-Induced Common and Sex-Specific Behavioral, Transcriptional Changes in the Moth Fall Armyworm (Spodoptera frugiperda, Noctuidae, Lepidoptera) in Laboratory. Insects 2023, 14, 209. https://doi.org/10.3390/insects14020209
Wu T, Cao D-H, Liu Y, Yu H, Fu D-Y, Ye H, Xu J. Mating-Induced Common and Sex-Specific Behavioral, Transcriptional Changes in the Moth Fall Armyworm (Spodoptera frugiperda, Noctuidae, Lepidoptera) in Laboratory. Insects. 2023; 14(2):209. https://doi.org/10.3390/insects14020209
Chicago/Turabian StyleWu, Ting, Da-Hu Cao, Yu Liu, Hong Yu, Da-Ying Fu, Hui Ye, and Jin Xu. 2023. "Mating-Induced Common and Sex-Specific Behavioral, Transcriptional Changes in the Moth Fall Armyworm (Spodoptera frugiperda, Noctuidae, Lepidoptera) in Laboratory" Insects 14, no. 2: 209. https://doi.org/10.3390/insects14020209
APA StyleWu, T., Cao, D.-H., Liu, Y., Yu, H., Fu, D.-Y., Ye, H., & Xu, J. (2023). Mating-Induced Common and Sex-Specific Behavioral, Transcriptional Changes in the Moth Fall Armyworm (Spodoptera frugiperda, Noctuidae, Lepidoptera) in Laboratory. Insects, 14(2), 209. https://doi.org/10.3390/insects14020209
