Field Test of the Propheromones of the Whitemarked Tussock Moth (WMTM) Orgyia leucostigma (J.E. Smith) (Lepidoptera: Erebidae)
Abstract
:Simple Summary
Abstract
1. Introduction
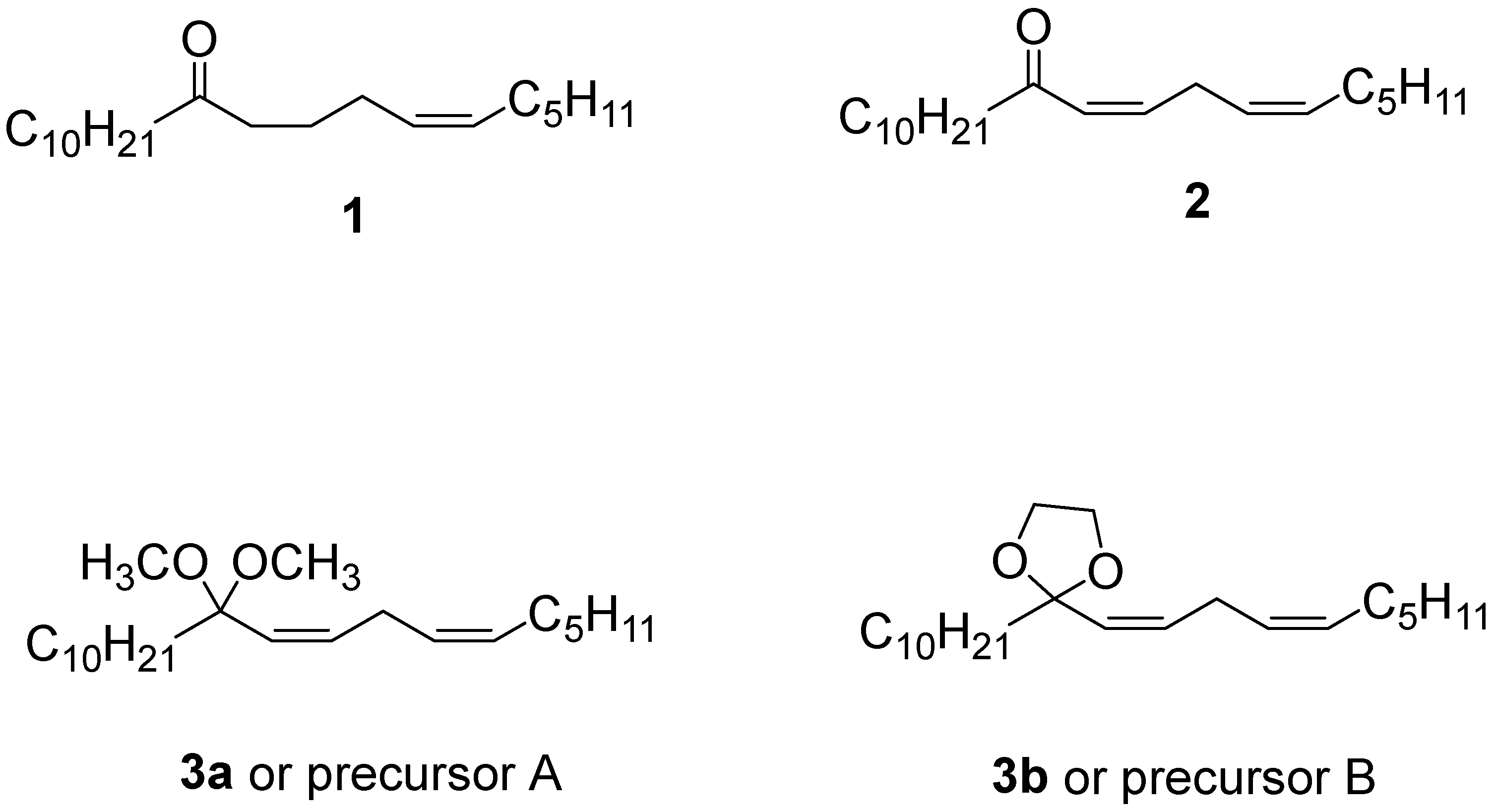
2. Materials and Methods
2.1. Release Devices: Septum-Based Releasing Device
2.2. Vial-Based Releasing Device
2.3. Trapping experiments
2.4. Study Area
2.5. Statistical Analysis
3. Results
4. Discussion
Supplementary Materials
Author Contributions
Funding
Data Availability Statement
Acknowledgments
Conflicts of Interest
References
- Grant, G.G.; Slessor, K.N.; Liu, W.; Abou-Zaid, M.M. (Z,Z)-6,9-Heneicosadien-11-one, labile sex pheromone of the whitemarked tussock moth, Orgyia leucostigma. J. Chem. Ecol. 2003, 29, 589–601. [Google Scholar] [CrossRef] [PubMed]
- Grant, G.G.; Coppens, M.D.; Hartling, L.K.; O’Shea, D.; Winter, D.; Gordon, J.; Rudderham, J.; Liu, W. Operational monitoring of the whitemarked tussock moth with Multipher traps generating the unstable pheromone component (Z,Z)-6,9-heneicosadien-11-one from a precursor. Entomol. Exp. Et Appl. 2008, 126, 174–178. [Google Scholar] [CrossRef]
- Grant, G.G. Field trials on disruption of pheromone communication of tussock moths. J. Econ. Entomol. 1978, 71, 453–457. [Google Scholar] [CrossRef]
- Grant, G.G.; Liu, W.; Slessor, K.N.; Abou-Zaid, M.M. Sustained production of the labile pheromone component, (Z,Z)-6,9-heneicosadien-11-one, from a stable precursor for monitoring the whitemarked tussock moth. J. Chem. Ecol. 2006, 32, 1731–1741. [Google Scholar] [CrossRef] [PubMed]
- Gries, R.; Khaskin, G.; Clearwater, J.; Hasman, D.; Schaefer, P.W.; Khaskin, E.; Miroshnychenko, O.M.; Hosking, G.; Gries, G. (Z,Z)-6,9-Heneicosadien-11-one: Major sex pheromone component of painted apple moth, Teia anartoides. J. Chem. Ecol. 2005, 31, 603–620. [Google Scholar] [CrossRef] [PubMed]
- El-Sayed, A.M.; Gibb, A.R.; Suckling, D.M.; Bunn, B.; Fielder, S.; Comeskey, D.; Manning, L.A.; Foster, S.P.; Morris, B.D.; Ando, T.; et al. Identification Of sex pheromone components of the painted apple moth: A tussock moth with a thermally labile pheromone component. J. Chem. Ecol. 2005, 31, 621–646. [Google Scholar] [CrossRef] [PubMed]
- Magsi, F.H.; Li, Z.; Cai, X.; Yamamoto, M.; Bian, L.; Zhao, Y.; Zhou, L.; Xiu, C.; Fu, N.; Ando, T.; et al. Identification of a unique three-component sex pheromone produced by the tea black tussock moth, Dasychira baibarana (Lepidoptera: Erebidae: Lymantriinae). Pest Manag. Sci. 2022, 78, 2607–2617. [Google Scholar] [CrossRef] [PubMed]
- Grant, G.G. Extraction and bioassay of female sex pheromone of white-marked tussock moth, Orgyia leucostigma (Lepidoptera: Lymantriidae). Can. Entomol. 1975, 107, 303–309. [Google Scholar] [CrossRef]
- Mayo, P.D.; Abeysekera, S.D.; Silk, P.J.; MaGee, D.I. A new synthesis of (Z,Z)-11,11-dimethoxy-6,9-heneicosadiene and 2-((Z,Z)-1,4-decadienyl)-2-ndecyl-1,3-dioxolane, precursors of (Z,Z)-6,9-heneicosadien-11-one, a pheromone component of the whitemarked tussock moth, Orgyia leucostigma (J.E. Smith) (Lepidoptera: Erebidae). Can. J. Chem. 2022, 100, 422–428. [Google Scholar]
- Zar, J.H. Biostatistical Analysis, 4th ed.; Prentice Hall: Upper Saddle River, NJ, USA, 1999; pp. 269–271. [Google Scholar]
- Streinz, L.; Horák, A.; Vrkoč, J.; Hrdý, I. Propheromones derived from codlemone. J. Chem. Ecol. 1993, 19, 1–9. [Google Scholar] [CrossRef] [PubMed]
- Grodner, J.; Zander, R. Sex propheromone of the pine tree lappet moth Dendrolimus pini and its use in attractant-based monitoring system. Pestycydy/Pestic. 2010, 1–4, 43–49. (In English) [Google Scholar]
- Harper, A.R.; Unelius, C.R.; Townsend, R.J.; Suckling, D.M. Dose reduction and alternatives to the phenol pheromone in monitoring and management of the grass grub Costelytra zealandica. Pest Manag. Sci. 2017, 73, 2252–2258. [Google Scholar] [CrossRef] [PubMed]
- Liu, X.; Macaulay, E.D.M.; Pickett, J.A. Propheromones that release pheromonal carbonyl compounds in light. J. Chem. Ecol. 1984, 10, 809–822. [Google Scholar] [CrossRef]
- Schowalter, T.D. Biology and management of the whitemarked tussock moth (Lepidoptera: Erebidae). J. Integr. Pest Manag. 2018, 9, 26. [Google Scholar] [CrossRef]
- Grant, G.G. Mating behavior of the whitemarked tussock moth and role of female scales in releasing male copulatory attempts. Ann. Entomol. Soc. Am. 1981, 74, 100–105. [Google Scholar] [CrossRef]
- Grant, G.G.; Frech, D.; MacDonald, L.; Slessor, K.N.; King, G.G.S. Copulation releaser pheromone in body scales of female whitemarked tussock moth, Orgyia leucostigma (Lepidoptera: Lymantriidae): Identification and behavioral role. J. Chem. Ecol. 1987, 13, 345–355. [Google Scholar] [CrossRef] [PubMed]


| Expt. Number | Lure Treatments | Release Device | Site(s) | Year(s) |
|---|---|---|---|---|
| 1 | (Z,Z)-11, 11-dimethoxy-6, 9-heneicosadiene [=precursor A] | Rubber septum | Five Islands Park | 2019 |
| (Z,Z)-6,9-heneicosadien-11-one ethylene ketal [=precursor B] | Rubber septum | Earltown | 2019, 2020 | |
| Precursor A + acetic acid [=lure A] | Rubber septum | Stillwater | 2019 | |
| Precursor B + acetic acid [=lure B] | Rubber septum | Biorachan Road | 2021 | |
| Acetic acid | Rubber septum | Riversdale | 2022 | |
| Blank | Rubber septum | 595 Old Greenfield Rd | 2022 | |
| 1175 Old Greenfield Rd | 2022 | |||
| 2A | Lure A | Rubber septum | Stillwater | 2020 |
| Lure B | Rubber septum | |||
| Precursor A | Rubber septum | |||
| Precursor B | Rubber septum | |||
| Acetic acid | Rubber septum | |||
| Blank septa | Rubber septum | |||
| Lure A aged 1 week at room temperature | Rubber septum | |||
| Lure B aged 1 week at room temperature | Rubber septum | |||
| 2B | Lure A | Rubber septum | Dalhousie Mtn. | 2021 |
| Lure B | Rubber septum | |||
| Precursor A | Rubber septum | |||
| Precursor B | Rubber septum | |||
| Acetic acid | Rubber septum | |||
| Blank | Rubber septum | |||
| Lure A aged 5 days at room temperature | Rubber septum | |||
| Lure B aged 5 days at room temperature | Rubber septum | |||
| Precursor A aged 5 days at room temperature | Rubber septum | |||
| Precursor B aged 5 days at room temperature | Rubber septum | |||
| 3 | Lure A | Rubber septum | Five Islands Park | 2020 |
| Lure B | Rubber septum | |||
| Precursor A | Rubber septum | |||
| Precursor B | Rubber septum | |||
| Acetic acid | Rubber septum | |||
| Blank | Rubber septum | |||
| WMTM lure (Great lakes IPM) | Rubber septum | |||
| 4 | Lure A | Rubber septum | Proudfoot Rd. | 2021 |
| Lure B | Rubber septum | |||
| Precursor A | Rubber septum | |||
| Precursor B | Rubber septum | |||
| Acetic acid | Rubber septum | |||
| Blank | Rubber septum | |||
| 50 μL acetic acid [AA] | Vial-based lure | |||
| 2 mg pheromone precursor A [PA] | Vial-based lure | |||
| 2 mg pheromone precursor A + 50 μL acetic acid [PA + AA] | Vial-based lure |
| Year | 2019 + 2020 | 2021 | 2022 | |||
|---|---|---|---|---|---|---|
| Treatment | Mean | SE | Mean | SE | Mean | SE |
| Lure A | 14.9 | 3.85 a | 1.33 | 0.76 bc | 1.67 | 0.56 b |
| Lure B | 3.33 | 0.87 b | 5.33 | 2.30 ab | 1.21 | 0.43 b |
| Precursor A | 2.00 | 0.63 b | 12.0 | 1.46 a | 9.96 | 2.18 a |
| Precursor B | 0.25 | 0.14 c | 5.83 | 4.45 b | 0.08 | 0.06 c |
| Acetic acid | 0.42 | 0.94 c | 0 | 0 c | 0 | 0 c |
| Blank septa | 0 | 0 c | 0 | 0 c | 0 | 0 c |
| Expt 2A | Expt 2B | |||
|---|---|---|---|---|
| Treatment | Mean | SE | Mean | SE |
| Lure A | 0.13 | 0.13 b | 2.00 | 0.85 c |
| Lure B | 1.38 | 0.53 a | 5.00 | 2.89 bc |
| Precursor A | 0.25 | 0.16 b | 8.00 | 1.25 ab |
| Precursor B | 0.13 | 0.13 b | 1.14 | 0.63 c |
| Acetic acid | 0 | 0 b | 0 | 0 c |
| Blank septa | 0 | 0 b | 0 | 0 c |
| Lure A aged | 0 | 0 b | 2.43 | 2.27 c |
| Lure B aged | 0 | 0 b | 0.71 | 0.36 c |
| Precursor A aged | - | - | 13.6 | 2.85 a |
| Precursor B aged | - | - | 1.71 | 0.84 c |
| Treatment | Mean | SE |
|---|---|---|
| Lure A | 0 | 0 b |
| Lure B | 3.25 | 1.65 a |
| Precursor A | 0 | 0 b |
| Precursor B | 0.25 | 0.14 b |
| Acetic acid | 0 | 0 b |
| Blank septa | 0 | 0 b |
| WMTM lure | 0.50 | 0.29 ab |
| Treatment | Mean | SE |
|---|---|---|
| Lure A | 0.78 | 0.43 c |
| Lure B | 12.5 | 6.17 ab |
| Precursor A | 24.4 | 6.55 a |
| Precursor B | 8.25 | 3.67 ab |
| Acetic acid | 0 | 0 c |
| Blank septa | 0 | 0 c |
| Vial- acetic acid (AA) | 0 | 0 c |
| Vial-precursor A (PA) | 0.63 | 0.50 c |
| Vial-PA + AA | 1.29 | 0.61 bc |
Disclaimer/Publisher’s Note: The statements, opinions and data contained in all publications are solely those of the individual author(s) and contributor(s) and not of MDPI and/or the editor(s). MDPI and/or the editor(s) disclaim responsibility for any injury to people or property resulting from any ideas, methods, instructions or products referred to in the content. |
© 2023 by the authors. Licensee MDPI, Basel, Switzerland. This article is an open access article distributed under the terms and conditions of the Creative Commons Attribution (CC BY) license (https://creativecommons.org/licenses/by/4.0/).
Share and Cite
Mayo, P.; Abeysekera, S.D.; Silk, P.J.; MaGee, D.I.; Leclair, G.; Sweeney, J.; Ogden, J. Field Test of the Propheromones of the Whitemarked Tussock Moth (WMTM) Orgyia leucostigma (J.E. Smith) (Lepidoptera: Erebidae). Insects 2023, 14, 880. https://doi.org/10.3390/insects14110880
Mayo P, Abeysekera SD, Silk PJ, MaGee DI, Leclair G, Sweeney J, Ogden J. Field Test of the Propheromones of the Whitemarked Tussock Moth (WMTM) Orgyia leucostigma (J.E. Smith) (Lepidoptera: Erebidae). Insects. 2023; 14(11):880. https://doi.org/10.3390/insects14110880
Chicago/Turabian StyleMayo, Peter, Sumudu Deepa Abeysekera, Peter J. Silk, David I. MaGee, Gaetan Leclair, Jon Sweeney, and Jeffrey Ogden. 2023. "Field Test of the Propheromones of the Whitemarked Tussock Moth (WMTM) Orgyia leucostigma (J.E. Smith) (Lepidoptera: Erebidae)" Insects 14, no. 11: 880. https://doi.org/10.3390/insects14110880
APA StyleMayo, P., Abeysekera, S. D., Silk, P. J., MaGee, D. I., Leclair, G., Sweeney, J., & Ogden, J. (2023). Field Test of the Propheromones of the Whitemarked Tussock Moth (WMTM) Orgyia leucostigma (J.E. Smith) (Lepidoptera: Erebidae). Insects, 14(11), 880. https://doi.org/10.3390/insects14110880
