Growth Performance, Diet Digestibility, and Chemical Composition of Mealworm (Tenebrio molitor L.) Fed Agricultural By-Products
Abstract
:Simple Summary
Abstract
1. Introduction
2. Materials and Methods
2.1. Diet Preparation
2.2. Insect Rearing and Experimental Design
2.3. Chemical Analysis
2.3.1. Proximate Composition
2.3.2. Uric Acid
2.3.3. Amino Acid Analysis
2.4. Performances and Digestibility Calculation
2.5. Statistical Analysis
3. Results
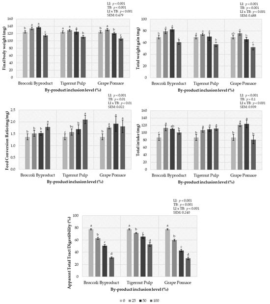
3.1. Performance and Digestibility
3.2. Chemical Composition of Insects
4. Discussion
5. Conclusions
Author Contributions
Funding
Data Availability Statement
Acknowledgments
Conflicts of Interest
References
- Derler, H.; Lienhard, A.; Berner, S.; Grasser, M.; Posch, A.; Rehorska, R. Use Them for What They Are Good at: Mealworms in Circular Food Systems. Insects 2021, 12, 40. [Google Scholar] [CrossRef] [PubMed]
- Van Huis, A.; Van Itterbeeck, J.; Klunder, H.; Mertens, E.; Halloran, A.; Muir, G.; Vantomme, P. Edible Insects: Future Prospects for Food and Feed Security; FAO Forestry paper 171; Food and Agriculture Organization of the United Nations: Rome, Italy, 2013; pp. 1–187. [Google Scholar]
- Garofalo, C.; Milanović, V.; Cardinali, F.; Aquilanti, L.; Clementi, F.; Osimani, A. Current Knowledge on the Microbiota of Edible Insects Intended for Human Consumption: A State-of-the-Art Review. Food Res. Int. 2019, 125, 108527. [Google Scholar] [CrossRef]
- Gasco, L.; Biancarosa, I.; Liland, N.S. From Waste to Feed: A Review of Recent Knowledge on Insects as Producers of Protein and Fat for Animal Feeds. Curr. Opin. Green Sustain. Chem. 2020, 23, 67–79. [Google Scholar] [CrossRef]
- Commission Regulation (EU) 2021/1372 of 17 August 2021 Amending Annex IV to Regulation (EC) No 999/2001 of the European Parliament and of the Council as Regards the Prohibition to Feed Non-Ruminant Farmed Animals, Other than Fur Animals, with Protein Derived from Animals. Available online: https://eur-lex.europa.eu/legal-content/EN/TXT/?uri=CELEX%3A32021R1372 (accessed on 12 January 2023).
- Harsányi, E.; Juhász, C.; Kovács, E.; Huzsvai, L.; Pintér, R.; Fekete, G.; Varga, Z.I.; Aleksza, L.; Gyuricza, C. Evaluation of Organic Wastes as Substrates for Rearing Zophobas morio, Tenebrio molitor, and Acheta domesticus Larvae as Alternative Feed Supplements. Insects 2020, 11, 604. [Google Scholar] [CrossRef]
- Malla, N.; Nørgaard, J.V.; Lærke, H.N.; Heckmann, L.-H.L.; Roos, N. Some Insect Species Are Good-Quality Protein Sources for Children and Adults: Digestible Indispensable Amino Acid Score (DIAAS) Determined in Growing Pigs. J. Nutr. 2022, 152, 1042–1051. [Google Scholar] [CrossRef] [PubMed]
- Cadinu, L.A.; Barra, P.; Torre, F.; Delogu, F.; Madau, F.A. Insect Rearing: Potential, Challenges, and Circularity. Sustainability 2020, 12, 4567. [Google Scholar] [CrossRef]
- Heckmann, L.H.; Andersen, J.L.; Gianotten, N.; Calis, M.; Fischer, C.H.; Calis, H. Sustainable mealworm production for feed and food. In Edible Insects in Sustainable Food Systems; Halloran, A., Flore, R., Vantomme, P., Roos, N., Eds.; Springer: New York, NY, USA, 2018; pp. 321–328. [Google Scholar] [CrossRef]
- Varelas, V. Food Wastes as a Potential New Source for Edible Insect Mass Production for Food and Feed: A review. Fermentation 2019, 5, 81. [Google Scholar] [CrossRef]
- Gasco, L.; Józefiak, A.; Henry, M. Beyond the Protein Concept: Health Aspects of Using Edible Insects on Animals. J. Insects Food Feed 2021, 7, 715–741. [Google Scholar] [CrossRef]
- Vasilopoulos, S.; Giannenas, I.; Savvidou, S.; Bonos, E.; Rumbos, C.I.; Papadopoulos, E.; Fortomaris, P.; Athanassiou, C.G. Growth Performance, Welfare Traits and Meat Characteristics of Broilers Fed Diets Partly Replaced with Whole Tenebrio molitor Larvae. Anim. Nutr. 2023, 13, 90–100. [Google Scholar] [CrossRef]
- Hong, J.; Han, T.; Kim, Y.Y. Mealworm (Tenebrio molitor Larvae) as an Alternative Protein Source for Monogastric Animal: A Review. Animals 2020, 10, 2068. [Google Scholar] [CrossRef]
- Danieli, P.P.; Lussiana, C.; Gasco, L.; Amici, A.; Ronchi, B. The Effects of Diet Formulation on the Yield, Proximate Composition, and Fatty Acid Profile of the Black Soldier Fly (Hermetia illucens L.) Prepupae Intended for Animal Feed. Animals 2019, 9, 178. [Google Scholar] [CrossRef] [PubMed]
- Van Broekhoven, S.; Oonincx, D.G.A.B.; van Huis, A.; van Loon, J.J.A. Growth Performance and Feed Conversion Efficiency of Three Edible Mealworm Species (Coleoptera: Tenebrionidae) on Diets Composed of Organic By-products. J. Insect Physiol. 2015, 73, 1–10. [Google Scholar] [CrossRef]
- Stull, V.J.; Kersten, M.; Bergmans, R.S.; Patz, J.A.; Paskewitz, S. Crude Protein, Amino Acid, and Iron Content of Tenebrio molitor (Coleoptera, Tenebrionidae) Reared on an Agricultural Byproduct from Maize Production: An Exploratory Study. Ann. Entomol. Soc. Am. 2019, 112, 533–543. [Google Scholar] [CrossRef]
- Liu, C.; Masri, J.; Perez, V.; Maya, C.; Zhao, J. Growth Performance and Nutrient Composition of Mealworms (Tenebrio molitor) Fed on Fresh Plant Materials-Supplemented Diets. Foods 2020, 9, 151. [Google Scholar] [CrossRef]
- Brai, A.; Vagaggini, C.; Pasqualini, C.; Poggialini, F.; Tarchi, F.; Francardi, V.; Dreassi, E. Use of Distillery By-Products as Tenebrio molitor Mealworm Feed Supplement. J. Insects Food Feed 2023, 9, 611–623. [Google Scholar] [CrossRef]
- Rho, M.S.; Lee, K.P. Behavioural and Physiological Regulation of Protein and Carbohydrates in Mealworm Larvae: A Geometric Analysis. J. Insect Physiol. 2022, 136, 104329. [Google Scholar] [CrossRef]
- Przemieniecki, S.W.; Kosewska, A.; Ciesielski, S.; Kosewska, O. Changes in the Gut Microbiome and Enzymatic Profile of Tenebrio molitor Larvae Biodegrading Cellulose, Polyethylene and Polystyrene Waste. Environ. Pollut. 2020, 256, 113265. [Google Scholar] [CrossRef] [PubMed]
- Ruschioni, S.; Loreto, N.; Foligni, R.; Mannozzi, C.; Raffaelli, N.; Zamporlini, F.; Pasquini, M.; Roncolini, A.; Cardinali, F.; Osimani, A.; et al. Addition of Olive Pomace to Feeding Substrate Affects Growth Performance and Nutritional Value of Mealworm (Tenebrio molitor L.) Larvae. Foods 2020, 9, 317. [Google Scholar] [CrossRef]
- Ghaly, A.E.; Alkoaik, F.N. The Yellow Mealworm as a Novel Source of Protein. Am. J. Agric. Biol. Sci. 2009, 4, 319–331. [Google Scholar] [CrossRef]
- Association of Official Analytical Chemists (AOAC). Official Methods of Analysis of AOAC International, 18th ed.; AOAC International: Gaithersburg, MD, USA, 2006. [Google Scholar]
- Real Decreto 2257/1994, de 25 de Noviembre, Por El Que Se Aprueba Los Métodos Oficiales de Análisis de Piensos o Alimentos para Animales y Sus Primeras Materias. Available online: https://www.boe.es/eli/es/rd/1994/11/25/2257 (accessed on 12 January 2023).
- Van Soest, P.J.; Robertson, J.B.; Lewis, B.A. Methods for Dietary Fiber, Neutral Detergent Fiber, and Nonstarch Polysaccharides in Relation to Animal Nutrition. J. Dairy Sci. 1991, 74, 3583–3597. [Google Scholar] [CrossRef]
- Marquardt, R.R. A Simple Spectrophotometric Method for the Direct Determination of Uric Acid in Avian Excreta. Poult. Sci. 1983, 62, 2106–2108. [Google Scholar] [CrossRef] [PubMed]
- Madrid, J.; Martínez, S.; López, C.; Orengo, J.; López, M.J.; Hernández, F. Effects of Low Protein Diets on Growth Performance, Carcass Traits and Ammonia Emission of Barrows and Gilts. Anim. Prod. Sci. 2013, 53, 146–153. [Google Scholar] [CrossRef]
- Oonincx, D.G.A.B.; Van Broekhoven, S.; Van Huis, A.; Van Loon, J.J.A. Feed Conversion, Survival and Development, and Composition of Four Insect Species on Diets Composed of Food By-Products. PLoS ONE 2015, 10, e0144601. [Google Scholar] [CrossRef] [PubMed]
- Van Peer, M.; Frooninckx, L.; Coudron, C.; Berrens, S.; Álvarez, C.; Deruytter, D.; Verheyen, G.; Van Miert, S. Valorisation Potential of Using Organic Side Streams as Feed for Tenebrio molitor, Acheta domesticus and Locusta migratoria. Insects 2021, 12, 796. [Google Scholar] [CrossRef]
- Rumbos, C.I.; Bliamplias, D.; Gourgouta, M.; Michail, V.; Athanassiou, C.G. Rearing Tenebrio molitor and Alphitobius diaperinus Larvae on Seed Cleaning Process Byproducts. Insects 2021, 12, 293. [Google Scholar] [CrossRef]
- Montalbán, A.; Sánchez, C.J.; Hernández, F.; Schiavone, A.; Madrid, J.; Martínez-Miró, S. Effects of Agro-Industrial Byproduct-Based Diets on the Growth Performance, Digestibility, Nutritional and Microbiota Composition of Mealworm (Tenebrio molitor L.). Insects 2022, 13, 323. [Google Scholar] [CrossRef]
- Kröncke, N.; Benning, R. Influence of Dietary Protein Content on the Nutritional Composition of Mealworm Larvae (Tenebrio molitor L.). Insects 2023, 14, 261. [Google Scholar] [CrossRef]
- Rumbos, C.; Oonincx, D.; Karapanagiotidis, I.; Vrontaki, M.; Gourgouta, M.; Asimaki, A.; Mente, E.; Athanassiou, C. Agricultural By-products from Greece as Feed for Yellow Mealworm Larvae: Circular Economy at a Local Level. J. Insects Food Feed 2022, 8, 9–22. [Google Scholar] [CrossRef]
- Li, L.; Stasiak, M.; Li, L.; Xie, B.; Fu, Y.; Gidzinski, D.; Dixon, M.; Liu, H. Rearing Tenebrio molitor in BLSS: Dietary Fiber Affects Larval Growth, Development, and Respiration Characteristics. Acta Astronaut. 2016, 118, 130–136. [Google Scholar] [CrossRef]
- Morales-Ramos, J.A.; Rojas, M.G.; Kelstrup, H.C.; Emery, V. Self-Selection of Agricultural By-Products and Food Ingredients by Tenebrio molitor (Coleoptera: Tenebrionidae) and Impact on Food Utilization and Nutrient Intake. Insects 2020, 11, 827. [Google Scholar] [CrossRef]
- Riaz, K.; Iqbal, T.; Khan, S.; Usman, A.; Al-Ghamdi, M.S.; Shami, A.; El Hadi Mohamed, R.A.; Almadiy, A.A.; Al Galil, F.M.A.; Alfuhaid, N.A.; et al. Growth Optimization and Rearing of Mealworm (Tenebrio molitor L.) as a Sustainable Food Source. Foods 2023, 12, 1891. [Google Scholar] [CrossRef] [PubMed]
- Rho, M.S.; Lee, K.P. Geometric Analysis of Nutrient Balancing in the Mealworm Beetle, Tenebrio molitor L. (Coleoptera: Tenebrionidae). J. Insect Physiol. 2014, 71, 37–45. [Google Scholar] [CrossRef] [PubMed]
- Cortes Ortiz, J.A.; Ruiz, A.T.; Morales-Ramos, J.A.; Thomas, M.; Rojas, M.G.; Tomberlin, J.K.; Yi, L.; Han, R.; Giroud, L.; Jullien, R.L. Insect Mass Production Technologies. In Insects as Sustainable Food Ingredients; Dossey, A.T., Rojas, M.G., Morales-Ramos, J.A., Eds.; Academic Press: Cambridge, UK, 2016; pp. 153–201. [Google Scholar] [CrossRef]
- Morales-Ramos, J.A.; Rojas, M.G.; Shapiro-Llan, D.I.; Tedders, W.L. Use of Nutrient Self-Selection as a Diet Refining Tool in Tenebrio molitor (Coleoptera: Tenebrionidae). J. Entomol. Sci. 2013, 48, 206–221. [Google Scholar] [CrossRef]
- Mancini, S.; Fratini, F.; Turchi, B.; Mattioli, S.; Dal Bosco, A.; Tuccinardi, T.; Nozic, S.; Paci, G. Former Foodstuff Products in Tenebrio molitor Rearing: Effects on Growth, Chemical Composition, Microbiological Load, and Antioxidant Status. Animals 2019, 9, 484. [Google Scholar] [CrossRef] [PubMed]
- Kotsou, K.; Chatzimitakos, T.; Athanasiadis, V.; Bozinou, E.; Adamaki-Sotiraki, C.; Rumbos, C.I.; Athanassiou, C.G.; Lalas, S.I. Waste Orange Peels as a Feed Additive for the Enhancement of the Nutritional Value of Tenebrio molitor. Foods 2023, 12, 783. [Google Scholar] [CrossRef] [PubMed]
- Bordiean, A.; Krzyżaniak, M.; Aljewicz, M.; Stolarski, M.J. Influence of Different Diets on Growth and Nutritional Composition of Yellow Mealworm. Foods 2022, 11, 3075. [Google Scholar] [CrossRef]


| Ingredient (g/kg DM) | CON a | 25BB | 50BB | 100BB | 25TP | 50TP | 100TP | 25GP | 50GP | 100GP |
|---|---|---|---|---|---|---|---|---|---|---|
| Bread remains | 861 | 611 | 361 | - | 611 | 361 | - | 611 | 361 | - |
| Brewer´s spent grains | 100 | 100 | 100 | - | 100 | 100 | - | 100 | 100 | - |
| Supplement b | 39 | 39 | 39 | 39 | 39 | 39 | 39 | 39 | 39 | 39 |
| Tigernut pulp | - | - | - | - | 250 | 500 | 961 | - | - | - |
| Broccoli by-product | 250 | 500 | 961 | - | - | - | - | - | - | |
| Grape pomace | 250 | 500 | 961 | |||||||
| Chemical composition (g/kg DM) | ||||||||||
| Ash | 22 | 45 | 68 | 115 | 19 | 15 | 9 | 30 | 38 | 54 |
| Crude protein | 143 | 160 | 178 | 205 | 123 | 104 | 56 | 138 | 133 | 114 |
| Starch | 680 | 484 | 287 | 0 | 530 | 382 | 191 | 484 | 287 | 0 |
| Ether extract | 11 | 20 | 30 | 41 | 57 | 102 | 186 | 35 | 60 | 101 |
| Neutral detergent fiber | 91 | 125 | 160 | 191 | 214 | 338 | 548 | 196 | 302 | 475 |
| Acid detergent fiber | 20 | 56 | 91 | 146 | 79 | 137 | 238 | 105 | 190 | 345 |
| Lignin acid detergent | 3.1 | 5 | 8 | 11 | 14 | 24 | 44 | 63 | 122 | 240 |
| Level of Incorporation (LI) | Type of By-Product (TB) | p-Value | |||||||||
|---|---|---|---|---|---|---|---|---|---|---|---|
| 0 | 25 | 50 | 100 | BB | TP | GP | SEM 1 | LI | TB | LI × TB 2 | |
| Cys | 0.79 | 0.77 | 0.78 | 0.76 | 0.76 | 0.78 | 0.78 | 0.030 | 0.150 | 0.430 | 0.454 |
| Asp | 8.01 | 8.18 | 8.08 | 8.45 | 8.15 | 8.18 | 8.22 | 0.298 | 0.247 | 0.750 | 0.948 |
| Ser | 5.26 | 5.23 | 5.49 | 5.28 | 5.26 | 5.35 | 5.32 | 0.115 | 0.290 | 0.855 | 0.994 |
| Glu | 9.72 | 12.45 | 12.06 | 12.60 | 12.02 | 11.25 | 11.85 | 0.438 | 0.123 | 0.754 | 0.951 |
| Gly | 6.36 | 5.83 | 5.07 | 5.74 | 5.97 | 5.45 | 5.83 | 0.253 | 0.392 | 0.694 | 0.734 |
| His | 4.00 | 3.12 | 3.38 | 3.26 | 3.51 | 3.58 | 3.23 | 0.120 | 0.102 | 0.471 | 0.393 |
| Arg | 6.91 | 5.92 | 6.51 | 6.11 | 6.48 | 6.53 | 6.08 | 0.154 | 0.165 | 0.450 | 0.591 |
| Thr | 4.64 | 4.23 | 4.46 | 4.28 | 4.47 | 4.44 | 4.29 | 0.109 | 0.142 | 0.612 | 0.884 |
| Ala | 8.13 | 8.29 | 7.82 | 8.45 | 7.26 b | 8.50 a | 8.76a | 0.186 | 0.676 | 0.014 | 0.024 |
| Met | 2.22 | 2.40 | 2.26 | 2.16 | 2.36 | 2.14 | 2.28 | 0.148 | 0.945 | 0.831 | 0.833 |
| Pro | 7.04 | 7.82 | 7.42 | 7.43 | 6.81 b | 7.77 a | 7.69 a | 0.112 | 0.166 | 0.008 | 0.522 |
| Tyr | 8.72 | 7.30 | 8.08 | 6.78 | 8.07 | 8.02 | 7.07 | 0.475 | 0.515 | 0.639 | 0.524 |
| Val | 6.33 | 6.74 | 6.72 | 6.76 | 6.54 | 6.71 | 6.67 | 0.080 | 0.221 | 0.677 | 0.914 |
| Lys | 5.16 | 6.17 | 5.81 | 6.40 | 5.93 | 5.50 | 6.23 | 0.222 | 0.270 | 0.426 | 0.603 |
| Ile | 4.60 | 4.81 | 4.85 | 4.73 | 4.69 | 4.77 | 4.78 | 0.085 | 0.744 | 0.908 | 0.961 |
| Leu | 7.63 | 7.25 | 7.40 | 7.33 | 7.42 | 7.42 | 7.36 | 0.048 | 0.077 | 0.853 | 0.684 |
| Phe | 4.75 | 3.51 | 3.82 | 3.49 | 4.17 | 3.99 | 3.51 | 0.179 | 0.091 | 0.333 | 0.507 |
Disclaimer/Publisher’s Note: The statements, opinions and data contained in all publications are solely those of the individual author(s) and contributor(s) and not of MDPI and/or the editor(s). MDPI and/or the editor(s) disclaim responsibility for any injury to people or property resulting from any ideas, methods, instructions or products referred to in the content. |
© 2023 by the authors. Licensee MDPI, Basel, Switzerland. This article is an open access article distributed under the terms and conditions of the Creative Commons Attribution (CC BY) license (https://creativecommons.org/licenses/by/4.0/).
Share and Cite
Montalbán, A.; Martínez-Miró, S.; Schiavone, A.; Madrid, J.; Hernández, F. Growth Performance, Diet Digestibility, and Chemical Composition of Mealworm (Tenebrio molitor L.) Fed Agricultural By-Products. Insects 2023, 14, 824. https://doi.org/10.3390/insects14100824
Montalbán A, Martínez-Miró S, Schiavone A, Madrid J, Hernández F. Growth Performance, Diet Digestibility, and Chemical Composition of Mealworm (Tenebrio molitor L.) Fed Agricultural By-Products. Insects. 2023; 14(10):824. https://doi.org/10.3390/insects14100824
Chicago/Turabian StyleMontalbán, Ana, Silvia Martínez-Miró, Achille Schiavone, Josefa Madrid, and Fuensanta Hernández. 2023. "Growth Performance, Diet Digestibility, and Chemical Composition of Mealworm (Tenebrio molitor L.) Fed Agricultural By-Products" Insects 14, no. 10: 824. https://doi.org/10.3390/insects14100824
APA StyleMontalbán, A., Martínez-Miró, S., Schiavone, A., Madrid, J., & Hernández, F. (2023). Growth Performance, Diet Digestibility, and Chemical Composition of Mealworm (Tenebrio molitor L.) Fed Agricultural By-Products. Insects, 14(10), 824. https://doi.org/10.3390/insects14100824

