Simple Summary
Chilo sacchariphagus Bojer is an important sugarcane pest globally. The identification of key genes associated with sex determination and differentiation will provide important basic information for the sterile insect technique control strategy. In this study, the comparative transcriptomic analysis of female and male adults revealed sex-biased gene expression, indicating putative genetic elements of sex determination and differentiation in this species.
Abstract
Chilo sacchariphagus Bojer is an important sugarcane pest globally. Along with genetic modification strategies, the sterile insect technique (SIT) has gained more attention as an environment-friendly method for pest control. The identification of key genes associated with sex determination and differentiation will provide important basic information for this control strategy. As such, the transcriptome sequencing of female and male adults was conducted in order to understand the sex-biased gene expression and molecular basis of sex determination and differentiation in this species. A total of 60,429 unigenes were obtained; among them, 34,847 genes were annotated. Furthermore, 11,121 deferentially expressed genes (DEGs) were identified, of which 8986 were male-biased and 2135 were female-biased genes. The male-biased genes were enriched for carbon metabolism, peptidase activity and transmembrane transport, while the female-biased genes were enriched for the cell cycle, DNA replication, and the MAPK signaling pathway. In addition, 102 genes related to sex-determination and differentiation were identified, including the protein toll, ejaculatory bulb-specific protein, fruitless, transformer-2, sex-lethal, beta-Catenin, sox, gata4, beta-tubulin, cytosol aminopeptidase, seminal fluid, and wnt4. Furthermore, transcription factors such as myb, bhlh and homeobox were also found to be potentially related to sex determination and differentiation in this species. Our data provide new insights into the genetic elements associated with sex determination and differentiation in Chilo sacchariphagus, and identified potential candidate genes to develop pest-control strategies.
1. Introduction
The stem borer C. sacchariphagus, which lays eggs on the surface of sugarcane leaf, causes huge economic damage to sugarcane crops [1]. Currently, sugarcane borer is mainly controlled by chemicals with undesirable environmental impacts; thus, alternative environment-friendly borer control measures are being sought. The sterile insect technique (SIT) is a biological method for the control of insect pests [2,3] such as Bactrocera tau [4,5]. Bombyx mori is an important model species of Lepidoptera insects, and this transgene-based female-specific lethal system has potential for controlling lepidopteran pests such as C. sacchariphagus [6]. Moreover, the SIT is increasingly used to control lepidopteran pests [7]. The key to the SIT is the production of large numbers of sterile males. This is currently achieved by ionizing irradiation for classical SIT [7], or through the use of conditional lethality systems resulting in the death of male and female progeny from field-released males [8]. Additional genetic manipulations resulting in male sterility have been proposed, including the targeting of sperm-specific genes for male fertility and sex-determination genes resulting in chromosomal females developing as sterile phenotypic males [8,9].
Genes expressed in both sexes but showing relatively higher expression in one sex have been characterized as sex-biased genes [10]. These genes—which are assumed to contribute to sex differences including behavioral, physiological and morphological dimorphisms [11]—have been studied in several insects. For example, in Drosophila melanogaster, most differentially expressed genes were male-biased genes [12], whereas most of the sex-biased genes are female-biased in Tribolium castaneum and Anopheles gambiae [13]. In past decades, studies on sugarcane borer C. sacchariphagus were mainly focused on plant quarantine, integrated pest management [14,15,16], chemosensory-related genes [17], and biological characteristics and management practices [18]. However, little is known about the sex determination and differentiation mechanisms in this pest. The genes involved in sex determination and differentiation can be used for SIT [4,8,19]. Dissecting the regulatory mechanism and identifying key genes regulating sex determination and differentiation will help develop novel pest management strategies such as the SIT for controlling this insect pest.
The functions of several genes related to determination and differentiation have been elucidated in some insects. In Drosophila melanogaster, the sex determination cascade is known to be controlled by the sex-lethal gene (Sxl) [20]. In addition to female sex determination, Sxl might be related to germline development in Bombyx mori [21], while it is involved in oogenesis in Drosophila [21,22]. The Sxl is responsible for the sex-specific splicing of primary transcripts of the sex-determination master switch gene, transformer (tra) [21]. The production of female dsx (doublesex) requires both tra and transformer2 (tra2) to form a complex and bind to the dsx 13-nucleotide repeated sequences (dsxre) [20,23,24,25]. The sex-specific splicing of doublesex (dsx) by transformer (tra) makes up a conserved gene axis [26]. Moreover, the tra-tra2 complex is also associated with the splicing of fruitless (fru), which functions in male sexual development and in male courtship behavior in Drosophila [20,27,28]. Importantly, the primary sex determination signals showed divergent evolution in other insect species, including Musca domestica, Ceratitis capitata, Aedes aegypti, and Anopheles gambiae. For example, their m-factors play a key role in sex differentiation, and in mosquito species, nix and yob regulate sex differentiation by determining the male-specific splicing of dsx [29]. In honeybee, the csd (complementary sex determiner) gene is the initial signal for sex determination [30]. Meanwhile, masc and piwi-interacting RNA (piRNA) regulate the masculinization of embryos in silkworm [31]. Similarly, several factors—such as wnts, soxs, gata4, ca (cytosol aminopeptidase), sfp (seminal fluid protein) [32,33,34] and beta-tubulin isoform (beta2-tubulin in dipterans and beta4-tubulin in Bombyx mori) [9,35,36,37]—were found to modulate sexual organ development in fruit files, A. aegypti and other species. In brief, a large number of studies on sex determination or differentiation-related genes in mammals and Diptera insects have been reported, whereas only a few reports on Lepidoptera insects, including the model species silkworm Bombyx mori exist.
Transcriptome sequencing provides detailed information on all RNA molecules, such as mRNA, tRNA rRNA and noncoding RNAs [38]. It has been used for the screening of genes associated with various traits in sugarcane, such as sucrose accumulation [39,40], smut resistance [41,42] and the response to low nitrogen [43]. Transcriptome analysis was also used for the identification of sex-determining genes in many insects, such as Plutella xylostella [44], Phlebotominae sand flies [45], whitefly [46], Sogatella furcifera [47] and Zeugodacus tau (Walker) [48].
Sex determination and differentiation-related genes have been reported in some insects but not in sugarcane borer C. sacchariphagus. Hence, in this study, we analyzed the transcriptome of male and female adult sugarcane borers, and using the transcriptome dataset we explored the metabolic pathways and identified candidate genes associated with sex determination and differentiation. This work thereby presents new insights into the sex determination and differentiation in sugarcane stem borer, and also offers reference targets for the use of SIT to control this insect pest.
2. Materials and Methods
2.1. Sample Collection and Preparation
The eggs of C. sacchariphagus, collected from a sugarcane crop in Guangxi, China, were reared at 27 ± 1 °C with 75 ± 5% relative humidity in a 14:10 h light:dark cycle at the Sugarcane Research Institute (SRI), Guangxi Academy of Agricultural Sciences (GXAAS), Nanning, Guangxi, China. The larvae were reared on an artificial diet under the same conditions. From our experience, we noticed that the female and male adults mate at night, and after eclosion, they lay eggs mostly in the first and second night, and fewer later on. We suspected that the obvious reproductive differentiation of the sexes will have occurred in 2-day-old adults. Therefore, after successive generations, the 2-day-old females and adults were randomly selected as the female and male group samples, respectively. Each group sample included 3 individuals, and three biological replicates were sampled. All of the samples were immediately frozen in liquid nitrogen and stored at −80 °C prior to the RNA extraction.
2.2. RNA Isolation, cDNA Library Preparation and Sequencing
For each sample, the total RNA was isolated using a Trizol reagent according to the manufacturer’s instructions (Invitrogen, Carlsbad, CA, USA). The quantity and quality of RNA were measured by agarose gel electrophoresis and on a Bioanalyzer 2100 system (Agilent Technologies, Santa Clara, CA, USA). The concentration was checked using a Qubit® RNA Assay Kit in Qubit®2.0 Flurometer (Life Technologies, Carlsbad, CA, USA). RNA with high purity, concentration and integrity was chosen for the cDNA library construction and further sequencing. mRNA was purified from the total RNA using magnetic beads with oligo (dT), and was then broken into small fragments. These RNA fragments were used for cDNA synthesis using a FastQuant RT Kit (Tiangen, Beijing, China). cDNA libraries were generated, and the cDNA libraries were sequenced using a BGI MGISEQ-2000 (BGI, Shenzhen, China).
2.3. De Novo Transcriptome Assembly and Annotation
The raw reads with adapters, primers, low-quality sequences, and ambiguous “N” nucleotides were processed to obtain the clean reads using a custom Perl script. The clean reads were assembled using Trinity v2.4.0 (min_kmer_cov:3) software [49]. Corset version 4.6 software was used to remove redundant transcripts [50]. BUSCO analysis was performed to determine the quality of the assembled transcripts [51]. Functional annotations were performed using BLASTx v2.2.28+ (e-value = 1 × 10−5) against public databases—including the NCBI non-reduntant protein database (Nr), Swiss-Prot database, Clusters of orthologous groups for eukaryotic complete genomes database (KOG), Kyoto encyclopedia of genes and genomes (KEGG) pathway database, and Gene Ontology (GO)—with a cutoff value of E < 10−5. The GO and KEGG enrichment analysis was performed using software clusterProfiler 4.0 (p AdjustMethod = “BH”) [52].
2.4. Identification of Deferentially Expressed Genes (DEGs)
For the discovery of DEGs between differently sexed adults, edgeR 3.0.8 (FDR < 0.05 & |log2(foldchange)| > 1) [53] was applied. The reads were mapped to the transcriptome unigenes to calculate FPKM (Fragments Per Kilobase of transcript per Million) using RSEMv1.2.15 software (mismatch 0) [54] to analyze the gene expression levels, and the DEGs were screened with a fold-change ≥2 and a false discovery rate (FDR) < 0.05.
2.5. Protein–Protein Interaction (PPI) Network
Protein–Protein Interaction (PPI) Network Analysis was conducted using STRING (https://string-db.org/, accessed on 17 March 2022) (e-value = 1 × 10−10) [55]. The DEGs were mapped onto the PPI network, and an interaction score of >0.4 was set as the threshold value. A PPI network was visualized and constructed using Cytoscape v3.6.0 [56] software. The nodes with the greatest numbers of interactions with neighboring nodes were considered to be hub nodes.
2.6. Validation of the Gene Expression Level by qRT-PCR
The expressions of 5 genes related to sex determination and differentiation were selected randomly, and their expressions were quantified by qRT-PCR, as described previously [40]. The reactions were performed as follows: 95 °C for 3 min, followed by 45 cycles of denaturation at 95 °C for 10 s, then annealing at 57 °C for 10 s and extension at 72℃ for 20 s. The elongation factor 1-alpha gene (Unigene19366_All) obtained from this transcriptome data was used as a reference. The primers used for amplification are listed in Table S1. All of the reactions were performed with 3 replicates. The threshold cycle (CT) was determined and the 2−ΔΔCt equation was used to calculate the gene expression levels. The data were subjected to analysis of variance using SPSS18.0 (Analytical software, IBM, Armonk, NY, USA).
3. Results
3.1. Transcriptome Analysis of the Male and Female Chilo sacchariphagus Bojer Adults
The transcriptome sequencing generated a total of 260.53 Mb raw reads (https://ngdc.cncb.ac.cn/gsa/browse/CRA006380, accessed on 17 March 2022). After filtering, 38.50 Gb bases were retained (Table 1), from which f 60,429 unigenes were obtained (https://ngdc.cncb.ac.cn/omix/release/OMIX001036, accessed on 17 March 2022). The average length, N50, and GC content of these unigenes were 1618 bp, 3275 bp, and 38.01%, respectively. The assembled transcripts showed good BUSCO completeness, as shown in Table 2, with a complete BUSCOs ratio up to 88.7%. The functional annotation of the unigenes was performed using seven databases: NCBI non-redundant protein sequences [NR], NCBI non-redundant nucleotide sequences [NT], clusters of orthologous groups of proteins [KOG/COG], Swiss-Prot, the Kyoto Encyclopedia of Genes and Genomes (KEGG; www.genome.jp/kegg, accessed on 23 May 2022), Gene Ontology [GO], and InterPro databases. Finally, a total of 34,847 unigenes were annotated, which account for 57.67% of the total unigenes assembled (https://ngdc.cncb.ac.cn/omix/release/OMIX001092, accessed on 21 April 2022) (Table 3 and Table S2).
Table 1.
Summary of the C. sacchariphagus transcriptome.
Table 2.
BUSCO analysis of the assembled transcripts.
Table 3.
Summary of the annotations of the assembled C. sacchariphagus unigenes.
3.2. Identification of Sex-Biased Genes
Using the FPKM-mapped reads method, and with our assembled transcriptome as a reference, genes expressed in males and females were identified. DEGs with a >2 fold change and FDR < 0.05 were defined as significant sex-biased (SB) genes. Of the 11,121 DEGs identified, 8986 DEGs exhibited relatively higher expression levels in males than females, and they were considered to be male-biased genes (Table S3), while 2135 DEGs showed higher expressions in females, and they formed the female-biased genes (Figure 1 and Figure 2; Table S4), based on previous criteria [10].
Figure 1.
Total DEGs in the dataset. Red indicates up-regulated genes in males (male-biased genes), and blue indicates up-regulated genes in females (female-biased genes).
Figure 2.
The expression trend of DEGs across all of the samples. The red color represents higher expression, and the blue color indicates lower expression.
In order to further elucidate the pathways in which the sex-biased genes participate, we performed KEGG analysis on the 8986 male-biased genes and the 2135 female-biased genes. Many female-biased genes were attributed to pathways related to the cell cycle, wnt signaling pathway, MAPK signaling pathway, dorso-ventral axis formation, DNA replication and RNA polymerase, etc. (Figure 3). Furthermore, these genes involved in the above-mentioned pathways have been reported to have direct or indirect effects on insect sex determination and differentiation.
Figure 3.
KEGG enrichment of the female-biased genes. The size of the dots corresponds to the number of DEPs in each pathway. The color displays the significance of enrichment.
A large number of male-biased genes can be attributed to pathways associated with glycine, serine and threonine metabolism, vitamin digestion and absorption, pentose and glucuronate interconversions, the biosynthesis of amino acids, carbon metabolism, arginine and proline metabolism, and glutathione metabolism (Figure 4). These metabolic pathways may provide energy for the development and reproductive behaviour of males.
Figure 4.
KEGG enrichment of the male-biased genes. The size of the dots corresponds to the number of DEPs in each pathway. The color displays the significance of the enrichment.
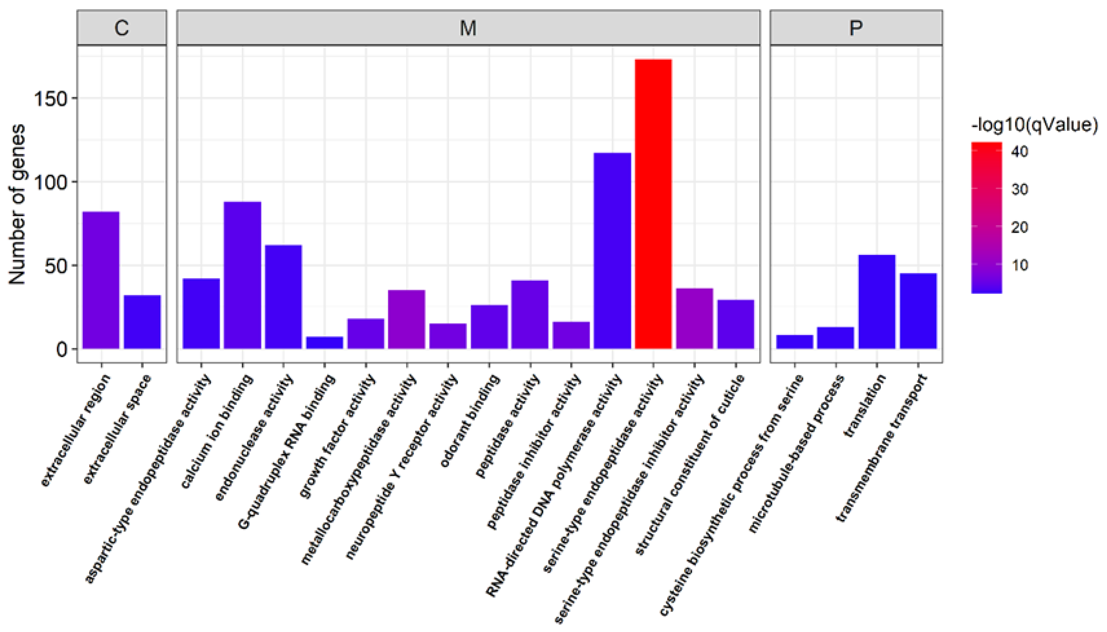
We also conducted GO enrichment analysis to evaluate the metabolic processes that the genes are involved in. The male-biased genes were enriched in serine-type endopeptidase activity, serine-type endopeptidase inhibitor activity, neuropeptide Y receptor activity, peptidase activity, odorant binding and the transmembrane transport-related metabolic process (Figure 5).
Figure 5.
Gene ontology classification of the male-biased genes. C: cell component; M: molecular function; P: biological process.
However, female-biased genes were enriched in the metabolic processes related to transcription factor binding, the regulation of transcription by RNA polymerase II, DNA replication, transmembrane receptor protein serine/threonine kinase activity, and the mitotic cell cycle (Figure 6).
Figure 6.
Gene Ontology classification of female-biased genes. C: cell component; M: molecular function; P: biological process.
Moreover, we found that a number of transcription factors (TFs)—such as c2h2, homeobox, bhlh and thap—were differentially associated with male and female borers, implying their role in sex determination and differentiation (Figure 7; Table S5). Interestingly, more TFs were male-biased than female-biased.
Figure 7.
Analysis of the total and deferentially expressed transcription factors. The blue column indicates the TFs identified in this work, the red column indicates TFs expressed higher in female and the green column indicates TFs expressed higher in male.
3.3. Identification of the Genes Related to Sex Determination and Differentiation
The core genes related to sex determination and differentiation are conserved among the arthropods, and the functions of some of these genes have been elucidated [23,24,25,26,47]. Therefore, with the annotation of the sex-related genes identified in our study, we searched for the sex determination and differentiation genes in sugarcane borers. Overall, we identified 110 sex determination and differentiation genes (Table S6), including protein toll, ejaculatory bulb-specific protein 3, fruitless, transformer-2 (tra2), sex-lethal, beta-catenin, sox, gata4, beta-tubulin, cytosol aminopeptidase, seminal fluid protein and wnt4. Among them, beta-catenin, wnt4 and tra2 showed higher expression in female borers, while sex-lethal, gata4, ejaculatory bulb-specific protein 3, toll and cytosol aminopeptidase had higher expression in male borers. Besides this, most of the seminal fluid protein and beta-tubulin genes were expressed more abundantly in male rather than female borers (Figure 8).
Figure 8.
Expression of sex-determining genes in male and female borers. The different horizontal bars represent different gene IDs with the same annotation. The red and green colours indicate increased and decreased gene expression levels, respectively, following the quantitative scale (+ve and -ve numbers) shown above each heatmap. In each heatmap, the left and right columns represent the gene expressions in female and male adults, respectively. The expression patterns of sex-lethal, tra2 and wnt4 (A), fruitless (B), seminal fluid proteins (C), beta-catenin (D), beta-tubulin (E), gata4 (F), ejaculatory bulb-specific protein (G), toll (H), cytosol aminopeptidase (I) and sox (J) in the female and male adults.
3.4. Construction of the Gene Network Involved in Sex Determination and Differentiation
In order to explore the interaction network among sex determination and differentiation-related genes in sugarcane borer, we performed a protein–protein interaction (PPI) network analysis using the STRING database [55] and Cytoscape [56] on the 110 sex determination and differentiation genes and the TFs identified in this work. The PPI network contained 296 nodes and 104 edges. According to the PPI network, six genes (degree ≥7) were selected as hub genes, including gata4 (Unigene10060_All), beta-tubulin (Unigene7114_All/CL2807.Contig1_All/Unigene14411_All) and beta-catenin (CL2862.Contig1_All/CL4096.Contig1_All). Among them, gata4 had the highest degrees (with the most connected genes), suggesting that it may play a crucial role in sex determination and differentiation in sugarcane borer. In addition, some TFs—including myb, bhlh and homeobox—were also present in the PPI network, indicating their involvement in sex determination and differentiation in C. sacchariphagus (Figure 9).
Figure 9.
PPI network of sex determination and differentiation-related genes in Chilo sacchariphagus.
3.5. Verification of DEGs Using qRT-PCR
In order to validate the reliability of the transcriptome sequencing data, the expressions of five genes (CL1718.Contig1_All/fruitless-like, CL4096.Contig1_All/beta-catenin, Unigene6400_All/cytosol aminopeptidase, Unigene11772_All/seminal fluid protein and CL6380.Contig6_All/gata4) were randomly selected from the 102 sex-determining and sex-differential genes identified in this work, and were analysed by qRT-PCR, with the elongation factor 1-alpha gene (Unigene19366_All) as reference. The dissolution curve of all of the primers had a single peak without any miscellaneous peak. The amplification efficiency of the reference gene was 98%. The relative mRNA expression of the unigenes assessed by qRT–PCR (Figure 10) was very similar to the levels shown in the RNA-seq analysis, suggesting the reproducibility and accuracy of the RNA-seq results.
Figure 10.
Expression levels of the genes given by high-throughput sequencing and qRT-PCR. The Y axis (left) indicates the relative expression by qRT-PCR, and the Y axis (right) indicates the FPKM caculated by RNA-seq.
4. Discussion
Sugarcane borer, C. sacchariphagus, is a major agricultural pest causing severe economic loss to the sugarcane industry [1]. The SIT is an environment-friendly and efficient technique to control insect pests [2,3]; it has been successfully used to control lepidopteran pests, and provides insights into field performance [7]. The identification of sex determination and differentiation genes will facilitate the development of the SIT for borer control in sugarcane. Transcriptomic analysis has become an effective method for the analyzing differential gene expression, discovering new genes and obtaining transcriptional information related to vital traits [38,57]. In this study, we analyzed the female and male adults of C. sacchariphagus transcriptome. A total of 11,121 DEGs were identified, of which, 8936 DEGs were male-biased genes and 2135 DEGs were female-biased, indicating that more genes were upregulated in male than in female sugarcane borers. This is a common phenomenon in insects [58,59].
Gene Ontology (GO) analysis showed that the identified sex-biased genes were highly enriched in the processes associated with reproductive functions. For example, male-biased genes were enriched in the process of transmembrane transport, which may be mainly associated with the motile nature of sperm [12], and were also enriched in serine-type endopeptidase activities. These enrichments seen in borer are similar to those seen in the insects Plutella xylostella and Aedes aegypti [9,44]. Serine-type endopeptidase activity is expected to be associated with the development of sex-specific organs [9]. Microtubule-based process and calcium ion binding proteins were also found to be enriched in male adult sugarcane borer, which is consistent with the findings in Aedes aegypti [60]. This result can be explained by the function of microtubule-based processes, which are associated with spermatogenesis and sperm composition [9], and calcium-dependent regulation, which is necessary for normal sperm motility [60].
Furthermore, similarly to previous studies in Drosophila, mosquitoes and Daphnia [61,62,63], female-biased genes in sugarcane borer were enriched in the process of DNA replication and the component of nucleosome. DNA replication was required for egg production [12,64,65], and may also be related to maternally deposited gene products [12]. Nucleosomes have an important role in the development of sex-specific organs [9].
KEGG enrichment results provided molecular insights into the sexually dimorphic traits of C. sacchariphagus. In this study, female-biased genes are mainly associated with the cell cycle, DNA duplication and carbohydrate biosynthesis, which may facilitate the reproductive ability of females. However, male-biased genes were enriched in pathways including carbon, lipoic acid, glycine, serine, threonine, ascorbate, aldarate, arginine and proline metabolism. They may provide energy for the development of males.
Based on the sex determination and differentiation-related genes reported in other insects [66,67,68], we searched our DEGs and identified 110 sex determination and differentiation-related genes from C. sacchariphagus, including protein toll, ejaculatory bulb-specific protein 3, fruitless, transformer-2, sex-lethal (Sxl), beta-catenin, sox9, gata4, beta-tubulin, cytosol aminopeptidase, seminal fluid protein and wnt4. Among them, some were related to female determination, such as Sxl, wnt4 and bata-catenin, and some were related to male determination, including sox and gata4. Some sex-biased genes were associated with sex organ components and development, including cytosol aminopeptidase protein and seminal fluid protein. In Drosophila melanogaster, sex determination is controlled by five main genes—sex-lethal (Sxl), transformer (tra), transformer-2 (tra-2), doublesex (dsx) and fruitless (fru)—hierarchically organized in a regulative cascade: Sxl − > tra + tra-2 − > dsx, fru [20,69,70]. Furthermore, the functions of these genes in sex determination have also been identified in other insect orders, such as Diptera, Coleoptera, Lepidoptera and Hymenoptera [30,71,72]. In the sex determination signaling pathway in Drosophila melanogaster, Sxl regulates its own pre-mRNA splicing, and the splicing of tra is controlled by Sxl [66]. In silkworm, Bombyx mori, a different signal casade related to sex determination and differentiation consisting of Feminizer piRNA, Masculinizer, Argonaute RISC Catalytic Component 3, and female-specific dsx forms the primary components [73]. In our work, tra2 showed higher expression in females, but Sxl was expressed more abundantly in males than in females. As such, further study is proposed to verify whether the activation of the tra2 only occurs in female C sacchariphagus and Sxl only occurs in male borers. DEGs associated with sex signal casades in silkworm were not found in our C sacchariphagus transcriptomic analysis, suggesting potential functional divergence in sex signalling in Lepidoptera insects.
When we focused on sex differentiation, we found genes involved in sexual organ components and development. gata4, beta-catenin, wnt4, sox9, beta-tubulin, ca and sfp were found to be differentially expressed in female and male adults. gata4 is a key regulator of male sex differentiation and determination, including testis differentiation, in mammals [74]. In mice, gata4 is down-regulated in female embryonic gonads [67]. gata4 suppresses ovary-specific genes and blastoderm-specific protein 25D [75]. However, in our work, gata4 showed higher expression in female adult borers than in males, implying that the gene gata4 has a more complex function in sex determination in this species.
beta-catenin was present in the gonads of both sexes, and it was necessary for ovarian differentiation in mice [68]. The expression of Wnt4 becomes ovary-specific at sex determination in mammals [76]. The bmix female mutants were sterile and had irregular external genitalia, and their Bmwnt1 activity was significantly downregulated [77]. We showed that wnt-2 contributes to the survival of a male-specific population of somatic gonadal precursor cells (SGPs) in Drosophila melanogaster [78]. wnt/β-catenin signaling regulates Helicoverpa armigera pupal development [79]. In our work, beta-catenin and wnt4 showed higher expression in female adult borer, suggesting that they may be necessary to female germ cell survival and ovary development [77].
The sox9 gene is essential for testis development, and is expressed in a male-specific manner which is related to primary sex determination in humans [80]. We have found that the Drosophila embryonic gonad is already sexually dimorphic at the time of initial gonad formation. Male-specific somatic gonadal precursors (msSGPs) contribute only to testis development, and the expression of one of them—a Drosophila homolog of sox9 (sox100B)—is essential for testis formation in humans [80]. tub (beta-tubulin), ca (cytosol aminopeptidase) and sfp (seminal fluid protein) are up-regulated in males, which has an important functional effect on male fertility [32,33,34]. The testis-specific β2-tubulin gene in D. melanogaster has been determined to function in spermatogenesis [35]. Mutant β2-tubulin disrupts sperm development and causes male sterility [36]. The cytosol aminopeptidase protein was found to be an A. aegypti sperm composition protein [8]. In insects, SFP is produced in the male accessory glands, which significantly increases male fitness [37]. In our work, sox9, tub, CA and sfp were mostly abundant in male rather than female borers, implying that they may play a role in male fertility.
Expression analysis related to sex-determining genes in C. sacchariphagus was also analysed in Liu et al.’s studies [81]. There are many important differences between our results and Liu et al.’s findings. Firstly, in the KEGG and GO analysis of Liu et al. [81], “signal transduction mechanisms”, “posttranslational modification, protein turnover, chaperones”, and “environmental information processing” appeared as the main enriched pathways. However, in our work, “cell cycle”, “wnt signaling pathway”, “MAPK signaling pathway”, “dorso-ventral axis formation”, “DNA replication” and “RNA polymerase”, “lycine, serine and threonine metabolism”, “vitamin digestion and absorption”, and “pentose and glucuronate interconversions” emerged as the main pathways in which the sex-bias genes mainly participate. This is a major and significant difference in the experimental outcomes between these two studies. Secondly, the DEGs in our results are greatly different from those reported by Liu et al. They focused on the genes tra2, dsxF, dsxM, emc, gro X4, gro X9, ix, fru, da X3, fl(2)d, vir, Sxl, runt, fem, csd, and rbp1. However, the key DEGs we found were ejaculatory bulb-specific protein 3, fruitless, transformer-2, sex-lethal, beta-catenin, sox, gata4, beta-tubulin, cytosol aminopeptidase, seminal fluid protein and wnt4, and those related to the protein toll. Thirdly, we additionally identified TFs relevant to sex determination and differentiation, and used protein–protein interaction analysis to reveal the regulatory networks of transcription factors and sex determination-related genes, providing new insights into sex-related gene regulation. Thus, our research presents important new knowledge in this area, complementary to the previous study, and provides new sights into the molecular elements of sex determination and development of this major sugarcane pest.
Taken together, the sex determination and differentiation-related genes identified in this study are candidate targets for the development of SIT for controlling C. sacchariphagu. In this respect, gata4, beta-tubulin, beta-Catenin, myb and bhlh are particularly valuable because they form the hub genes in the sex-related regulatory network. Based on these findings, a putative model is proposed (Figure 11). This includes fruitless, transformer-2 and sex-lethal as sex-determining factors; wnt4 and beta-catenin for ovarian differentiation; and gata4 and sox9 for testis development, beta-tubulin for spermatogenesis, and cytol aminopeptidase and seminal fluid protein for male accessory components. Here, it is also worth noting that the myb, bbhlh and homeobox TFs could be controlling sex determination and differentiation by regulating the activity of the above-mentioned genes. The genetic manipulation-based SIT has been used successfully in Lepidoptera moth insects, such as the diamondback moth [7], pink bollworm [82] and silkworm [6], suggesting the possibility of SIT for sugarcane borer control. Moreover, we used RNAi to silence genes in sugarcane borer, which further strengthen the application of SIT in sugarcane borer for male feminization, female masculinization and impaired reproduction ability. Clearly, a gene shows functional divergence in different species [29,30,31]. As such, more experiments are needed in order to determine candidate gene functions in sugarcane borer unequivocally.
Figure 11.
Genes related to sex determination and differentiation in Chilo sacchariphagus. The genes listed on the left of the circle showed higher expression in females, and the ones on the right side showed higher expression in males.
5. Conclusions
Sugarcane borer, C. sacchariphagus Bojer is an important sugarcane pest. In order to understand the molecular basis of sex determination and differentiation, and to provide targets for the development of the sterile insect technique, we performed transcriptome sequencing of six cDNA libraries of female and male adults of C. sacchariphagus. We assembled 60,429 unigenes, of which 11,121 were DEGs between males and females, with male-biased genes being four-fold more numerous than female-biased genes. Sex-biased genes are very likely to be involved in reproductive functions and the sexually dimorphic traits of C. sacchariphagus. We also identified 102 sex determination and differentiation-related genes, including protein toll, ejaculatory bulb-specific protein 3, fruitless, transformer-2, sex-lethal, beta-catenin, sox, gata4, beta-tubulin, cytosol aminopeptidase, seminal fluid protein and wnt4. Moreover, TFs myb, bhlh and homeobox may also be potentially related to sex determination and differentiation in sugarcane borer (Figure 11). This work, for the first time, reported potential molecular regulators and regulatory mechanisms of sex determination and differentiation in sugarcane borer. It also presents target candidate genes for the further functional dissection of sex determination and differentiation phenomena, and to develop control strategies for this important sugarcane pest.
Supplementary Materials
The following supporting information can be downloaded at https://www.mdpi.com/article/10.3390/insects13060500/s1. Table S1: Primers used for qRT-PCR; Table S2: List of the total annotated unigenes; Table S3: List of male-biased genes; Table S4: List of female-biased genes; Table S5: List of transcription factors which showed differential expression between males and females; Table S6: List of sex-determining genes identified in this work.
Author Contributions
Conceptualization, A.-M.L., H.-W.T. and D.-L.H.; methodology, A.-M.L., W.-Z.H., J.-L.W., M.W. and Z.-L.C.; software, A.-M.L. and M.W.; validation, A.-M.L., Z.-L.C. and F.L.; formal analysis and investigation, J.-L.W., W.-Z.H., C.-X.Q., Y.-Q.P. and X.-K.S.; data curation, A.-M.L., F.L. and M.W.; writing—original draft preparation, A.-M.L.; writing—review and editing, D.-L.H. and P.L.; supervision, D.-L.H. and P.L.; project administration, H.-W.T. and P.L.; funding acquisition, A.-M.L. and H.-W.T. All authors have read and agreed to the published version of the manuscript.
Funding
This work was supported by the National Key R&D Program of China (2020YFD10006005), the Science and Technology Major Project of Guangxi (AA20108005), the Natural Science Foundation of Guangxi (2021GXNSFBA075010), and the Fundamental Research Fund of Guangxi Academy of Agriculture Sciences (2021JM34, 2021YT010).
Institutional Review Board Statement
Not applicable.
Data Availability Statement
The datasets generated and/or analysed during the current study are available from the Genome Sequence Archive in the National Genomics Data Center, China National Center for Bioinformation/Beijing Institute of Genomics, Chinese Academy of Sciences (GSA ID: CRA006380; https://bigd.big.ac.cn/gsa/browse/CRA006380, accessed on 17 March 2022).
Acknowledgments
We gratefully acknowledge The Beijing Genomics Institute for their technical support.
Conflicts of Interest
The authors have no conflict of interest to declare.
References
- Qin, Z.-Q.; Goebel, F.-R.; Li, D.-W.; Wei, J.-J.; Song, X.-P.; Luo, Y.-W.; Liu, L.; Deng, Z.-Y. Occurrence of Telenomus dignus (Gahan) on the Sugarcane Borers, Scirpophaga intacta Snellen and Chilo sacchariphagus Bojer in Guangxi Province, China. Sugar Tech 2018, 20, 725–729. [Google Scholar] [CrossRef]
- Cladera, J.L.; Vilardi, J.C.; Juri, M.; Paulin, L.E.; Giardini, M.C.; Cendra, P.V.G.; Segura, D.F.; Lanzavecchia, S.B. Genetics and biology of Anastrepha fraterculus: Research supporting the use of the sterile insect technique (SIT) to control this pest in Argentina. BMC Genom. Data 2014, 15, S12. [Google Scholar] [CrossRef] [PubMed] [Green Version]
- Plá, I.; de Oteyza, J.G.; Tur, C.; Martínez, M.; Dalmau, V. Sterile Insect Technique Programme against Mediterranean Fruit Fly in the Valencian Community (Spain). Insects 2021, 12, 415. [Google Scholar] [CrossRef]
- Hendrichs, J.; Franz, G.; Rendon, P. Increased effectiveness and applicability of the sterile insect technique through male-only releases for control of Mediterranean fruit flies during fruiting seasons. J. Appl. Entomol. 2010, 119, 371–377. [Google Scholar] [CrossRef]
- Thongsaiklaing, T.; Nipitwattanaphon, M.; Ngernsiri, L. The transformer2 gene of the pumpkin fruit fly, Bactrocera tau (Walker), functions in sex determination, male fertility and testis development. Insect Mol. Biol. 2018, 27, 766–779. [Google Scholar] [CrossRef] [PubMed]
- Tan, A.; Fu, G.; Jin, L.; Guo, Q.; Li, Z.; Niu, B.; Meng, Z.; Morrison, N.I.; Alphey, L.; Huang, Y. Transgene-based, female-specific lethality system for genetic sexing of the silkworm, Bombyx mori. Proc. Natl. Acad. Sci. USA 2013, 110, 6766–6770. [Google Scholar] [CrossRef] [PubMed] [Green Version]
- Marec, F.; Vreysen, M.J.B. Advances and Challenges of Using the Sterile Insect Technique for the Management of Pest Lepidoptera. Insects 2019, 10, 371. [Google Scholar] [CrossRef] [Green Version]
- Alphey, L. Re-engineering the sterile insect technique. Insect Biochem. Mol. Biol. 2002, 32, 1243–1247. [Google Scholar] [CrossRef]
- Degner, E.C.; Ahmed-Braimah, Y.; Borziak, K.; Wolfner, M.F.; Harrington, L.C.; Dorus, S. Proteins, Transcripts, and Genetic Architecture of Seminal Fluid and Sperm in the Mosquito Aedes aegypti. Mol. Cell. Proteom. 2018, 18, S6–S22. [Google Scholar] [CrossRef]
- Ellegren, H.; Parsch, J. The evolution of sex-biased genes and sex-biased gene expression. Nat. Rev. Genet. 2007, 8, 689–698. [Google Scholar] [CrossRef]
- Liu, P.-C.; Hao, D.-J.; Hu, H.-Y.; Wei, J.-R. Sexual dimorphism and sex-biased gene expression in an egg parasitoid species, Anastatus disparis. BMC Genom. 2020, 21, 492. [Google Scholar] [CrossRef]
- Parisi, M.; Nuttall, R.; Edwards, P.; Minor, J.; Naiman, D.; Lü, J.; Doctolero, M.; Vainer, M.; Chan, C.; Malley, J.; et al. A survey of ovary-, testis-, and soma-biased gene expression in Drosophila melanogaster adults. Genome Biol. 2004, 5, R40. [Google Scholar] [CrossRef] [PubMed] [Green Version]
- Baker, D.A.; Nolan, T.; Fischer, B.; Pinder, A.; Crisanti, A.; Russell, S. A comprehensive gene expression atlas of sex- and tissue-specificity in the malaria vector, Anopheles gambiae. BMC Genom. 2011, 12, 296. [Google Scholar] [CrossRef] [PubMed] [Green Version]
- Tao, Z. Control of insect pests in sugarcane: Ipm approaches in China. Sugar Tech 2004, 6, 273–279. [Google Scholar]
- Tingjun, C. The Outbreak and Chemical Control of Sugarcane Borers. Sugarcane 1998, 5, 22–25. [Google Scholar]
- Jacob, V.; Tibère, R.; Nibouche, S. Few Sensory Cues Differentiate Host and Dead-End Trap Plant for the Sugarcane Spotted Borer Chilo sacchariphagus (Lepidoptera: Crambidae). J. Chem. Ecol. 2021, 47, 153–166. [Google Scholar] [CrossRef]
- Liu, J.; Liu, H.; Yi, J.; Mao, Y.; Li, J.; Sun, D.; An, Y.; Wu, H. Transcriptome Characterization and Expression Analysis of Chemosensory Genes in Chilo sacchariphagus (Lepidoptera Crambidae), a Key Pest of Sugarcane. Front. Physiol. 2021, 12, 636353. [Google Scholar] [CrossRef]
- Kfir, R.; Overholt, W.A.; Khan, Z.R.; Polaszek, A. Biology and Management of Economically Important Lepidopteran Cereal Stem Borers in Africa. Annu. Rev. Entomol. 2002, 47, 701–731. [Google Scholar] [CrossRef]
- Dyck, V.A.; Hendrichs, J.P.; Robinson, A.S. Sterile Insect Technique Principles and Practice in Area-Wide Integrated Pest Management; CRC Press: Boca Raton, FL, USA, 2020. [Google Scholar]
- Sanchez, L. Sex-determining mechanisms in insects. Int. J. Dev. Biol. 2008, 52, 837–856. [Google Scholar] [CrossRef] [Green Version]
- Sakai, H.; Oshima, H.; Yuri, K.; Gotoh, H.; Daimon, T.; Yaginuma, T.; Sahara, K.; Niimi, T. Dimorphic sperm formation by Sex-lethal. Proc. Natl. Acad. Sci. USA 2019, 116, 10412–10417. [Google Scholar] [CrossRef] [Green Version]
- Meccariello, A.; Salvemini, M.; Primo, P.; Hall, B.; Koskinioti, P.; Dalíková, M.; Gravina, A.; Gucciardino, M.A.; Forlenza, F.; Gregoriou, M.-E.; et al. Maleness-on-the-Y (MoY) orchestrates male sex determination in major agricultural fruit fly pests. Science 2019, 365, 1457–1460. [Google Scholar] [CrossRef] [PubMed]
- Amrein, H.; Maniatis, T.; Nöthiger, R. Alternatively spliced transcripts of the sex-determining gene tra-2 of Drosophila encode functional proteins of different size. EMBO J. 1990, 9, 3619–3629. [Google Scholar] [CrossRef] [PubMed]
- Hedley, M.L.; Maniatis, T. Sex-specific splicing and polyadenylation of dsx pre-mRNA requires a sequence that binds specifically to tra-2 protein in vitro. Cell 1991, 65, 579–586. [Google Scholar] [CrossRef]
- Salvemini, M.; Robertson, M.; Aronson, B.; Atkinson, P.; Polito, L.C.; Saccone, G. Ceratitis capitata transformer-2 gene is required to establish and maintain the autoregulation of Cctra, the master gene for female sex determination. Int. J. Dev. Biol. 2009, 53, 109–120. [Google Scholar] [CrossRef] [Green Version]
- Verhulst, E.C.; van de Zande, L.; Beukeboom, L.W. Insect sex determination: It all evolves around transformer. Curr. Opin. Genet. Dev. 2010, 20, 376–383. [Google Scholar] [CrossRef] [Green Version]
- Rideout, E.; Billeter, J.-C.; Goodwin, S.F. The Sex-Determination Genes fruitless and doublesex Specify a Neural Substrate Required for Courtship Song. Curr. Biol. 2007, 17, 1473–1478. [Google Scholar] [CrossRef] [Green Version]
- Shirangi, T.R.; Taylor, B.J.; McKeown, M. A double-switch system regulates male courtship behavior in male and female Drosophila melanogaster. Nat. Genet. 2006, 38, 1435–1439. [Google Scholar] [CrossRef]
- Hopkins, B.R.; Kopp, A. Evolution of sexual development and sexual dimorphism in insects. Curr. Opin. Genet. Dev. 2021, 69, 129–139. [Google Scholar] [CrossRef]
- Gempe, T.; Beye, M. Function and evolution of sex determination mechanisms, genes and pathways in insects. Bioessays 2011, 33, 52–60. [Google Scholar] [CrossRef] [Green Version]
- Kiuchi, T.; Koga, H.; Kawamoto, M.; Shoji, K.; Sakai, H.; Arai, Y.; Ishihara, G.; Kawaoka, S.; Sugano, S.; Shimada, T.; et al. A single female-specific piRNA is the primary determiner of sex in the silkworm. Nature 2014, 509, 633–636. [Google Scholar] [CrossRef]
- Lee, G.-S.; He, Y.; Dougherty, E.J.; Jimenez-Movilla, M.; Avella, M.; Grullon, S.; Sharlin, D.S.; Guo, C.; Blackford, J.A.; Awasthi, S.; et al. Disruption of Ttll5/Stamp Gene (Tubulin Tyrosine Ligase-like Protein 5/SRC-1 and TIF2-associated Modulatory Protein Gene) in Male Mice Causes Sperm Malformation and Infertility. J. Biol. Chem. 2013, 288, 15167–15180. [Google Scholar] [CrossRef] [PubMed] [Green Version]
- Khatun, A.; Kang, K.-H.; Ryu, D.-Y.; Rahman, S.; Kwon, W.-S.; Pang, M.-G. Effect of Aminopeptidase N on functions and fertility of mouse spermatozoa in vitro. Theriogenology 2018, 118, 182–189. [Google Scholar] [CrossRef] [PubMed]
- King, M.; Eubel, H.; Millar, A.H.; Baer, B. Proteins within the seminal fluid are crucial to keep sperm viable in the honeybee Apis mellifera. J. Insect Physiol. 2011, 57, 409–414. [Google Scholar] [CrossRef] [PubMed]
- Kemphues, K.J.; Kaufman, T.C.; Raff, R.A.; Raff, E.C. The testis-specific β-tubulin subunit in Drosophila melanogaster has multiple functions in spermatogenesis. Cell 1982, 31, 655–670. [Google Scholar] [CrossRef]
- Kemphues, K.J.; Raff, E.C.; Raff, R.A.; Kaufman, T.C. Mutation in a testis-specific β-tubulin in Drosophila: Analysis of its effects on meiosis and map location of the gene. Cell 1980, 21, 445–451. [Google Scholar] [CrossRef]
- Gillott, C. Male Accessory Gland Secretions: Modulators of Female Reproductive Physiology and Behavior. Annu. Rev. Entomol. 2003, 48, 163–184. [Google Scholar] [CrossRef]
- Huang, D.-L.; Gao, Y.-J.; Gui, Y.-Y.; Chen, Z.-L.; Qin, C.-X.; Wang, M.; Liao, Q.; Yang, L.-T.; Li, Y.-R. Transcriptome of High-Sucrose Sugarcane Variety GT35. Sugar Tech 2016, 18, 520–528. [Google Scholar] [CrossRef]
- Chen, Z.; Qin, C.; Wang, M.; Liao, F.; Liao, Q.; Liu, X.; Li, Y.; Lakshmanan, P.; Long, M.; Huang, D. Ethylene-mediated improvement in sucrose accumulation in ripening sugarcane involves increased sink strength. BMC Plant Biol. 2019, 19, 285. [Google Scholar] [CrossRef]
- Wang, M.; Li, A.; Liao, F.; Qin, C.; Chen, Z.; Zhou, L.; Li, Y.; Li, X.; Lakshmanan, P.; Huang, D. Control of sucrose accumulation in sugarcane (Saccharum spp. hybrids) involves miRNA-mediated regulation of genes and transcription factors associated with sugar metabolism. GCB Bioenergy 2022, 14, 173–191. [Google Scholar] [CrossRef]
- Wu, Q.; Xu, L.; Guo, J.; Su, Y.; Que, Y. Transcriptome Profile Analysis of Sugarcane Responses to Sporisorium scitaminea Infection Using Solexa Sequencing Technology. BioMed Res. Int. 2013, 2013, 298920. [Google Scholar] [CrossRef] [Green Version]
- Huang, N.; Ling, H.; Su, Y.; Liu, F.; Xu, L.; Su, W.; Wu, Q.; Guo, J.; Gao, S.; Que, Y. Transcriptional analysis identifies major pathways as response components to Sporisorium scitamineum stress in sugarcane. Gene 2018, 678, 207–218. [Google Scholar] [CrossRef]
- Yang, Y.; Gao, S.; Su, Y.; Lin, Z.; Guo, J.; Li, M.; Wang, Z.; Que, Y.; Xu, L. Transcripts and low nitrogen tolerance: Regulatory and metabolic pathways in sugarcane under low nitrogen stress. Environ. Exp. Bot. 2019, 163, 97–111. [Google Scholar] [CrossRef]
- Zhao, Q.; Zhong, W.; He, W.; Li, Y.; Li, Y.; Li, T.; Vasseur, L.; You, M. Genome-wide profiling of the alternative splicing provides insights into development in Plutella xylostella. BMC Genom. 2019, 20, 463. [Google Scholar] [CrossRef] [PubMed] [Green Version]
- Petrella, V.; Aceto, S.; Colonna, V.; Saccone, G.; Sanges, R.; Polanska, N.; Volf, P.; Gradoni, L.; Bongiorno, G.; Salvemini, M. Identification of sex determination genes and their evolution in Phlebotominae sand flies (Diptera, Nematocera). BMC Genom. 2019, 20, 522. [Google Scholar] [CrossRef] [Green Version]
- Liu, Y.; Xie, W.; Guo, L.; Yang, X.; Yang, J.; Wang, S.; Wu, Q.; Zhou, X.; Zhang, Y. Genome-wide dissection of sex determination genes in the highly invasive whitefly species Bemisia tabaci Q/MED. Insect Mol. Biol. 2019, 28, 509–519. [Google Scholar] [CrossRef]
- Lin, J.; He, J.; Liang, A.; Wang, F. Transcriptome profiling and dimorphic expression of sex-related genes in fifth-instar nymphs of Sogatella furcifera, an important rice pest. Genomics 2020, 112, 1105–1111. [Google Scholar] [CrossRef] [PubMed]
- Liu, P.; Zheng, W.; Qiao, J.; Li, Z.; Deng, Z.; Yuan, Y.; Zhang, H. Early embryonic transcriptomes of Zeugodacus tau provide insight into sex determination and differentiation genes. Insect Sci. 2021. [Google Scholar] [CrossRef]
- Grabherr, M.G.; Haas, B.J.; Yassour, M.; Levin, J.Z.; Thompson, D.A.; Amit, I.; Adiconis, X.; Fan, L.; Raychowdhury, R.; Zeng, Q.D.; et al. Full-length transcriptome assembly from RNA-Seq data without a reference genome. Nat. Biotechnol. 2011, 29, 644–652. [Google Scholar] [CrossRef] [Green Version]
- Davidson, N.M.; Oshlack, A. Corset: Enabling differential gene expression analysis for de novo assembled transcriptomes. Genome Biol. 2014, 15, 410. [Google Scholar] [CrossRef]
- Seppey, M.; Manni, M.; Zdobnov, E.M. BUSCO: Assessing Genome Assembly and Annotation Completeness. Methods Mol. Biol. 2019, 1962, 227–245. [Google Scholar] [CrossRef]
- Yu, G.; Wang, L.-G.; Han, Y.; He, Q.-Y. clusterProfiler: An R Package for Comparing Biological Themes Among Gene Clusters. Omi. J. Integr. Biol. 2012, 16, 284–287. [Google Scholar] [CrossRef] [PubMed]
- Robinson, M.D.; McCarthy, D.J.; Smyth, G.K. EdgeR: A Bioconductor package for differential expression analysis of digital gene expression data. Bioinformatics 2010, 26, 139. [Google Scholar] [CrossRef] [PubMed] [Green Version]
- Li, B.; Dewey, C.N. RSEM: Accurate transcript quantification from RNA-Seq data with or without a reference genome. BMC Bioinform. 2011, 12, 323. [Google Scholar] [CrossRef] [PubMed] [Green Version]
- Franceschini, A.; Simonovic, M.; Roth, A.; Mering, C.V.; Szklarczyk, D.; Pletscherfrankild, S.; Jensen, L.J.; Kuhn, M.M.; Lin, J.; Minguez, P. STRING v9.1: Protein-protein interaction networks, with increased coverage and integration. Nucleic Acids Res. 2013, 41, 808–815. [Google Scholar] [CrossRef] [Green Version]
- Shannon, P.; Markiel, A.; Ozier, O.; Baliga, N.S.; Wang, J.T.; Ramage, D.; Amin, N.; Schwikowski, B.; Ideker, T. Cytoscape: A software environment for integrated models of Biomolecular Interaction Networks. Genome Res. 2003, 13, 2498–2504. [Google Scholar] [CrossRef]
- Hrdlickova, R.; Toloue, M.; Tian, B. RNA-Seq methods for transcriptome analysis. Wiley Interdiscip. Rev. Rna. 2017, 8, e1364. [Google Scholar] [CrossRef] [Green Version]
- Davis, J.C.; Brandman, O.; Petrov, D.A. Protein Evolution in the Context of Drosophila Development. J. Mol. Evol. 2005, 60, 774–785. [Google Scholar] [CrossRef]
- Connallon, T.; Knowles, L.L. Intergenomic conflict revealed by patterns of sex-biased gene expression. Trends Genet. 2005, 21, 495–499. [Google Scholar] [CrossRef]
- Degner, E.C.; Harrington, L.C. A mosquito sperm’s journey from male ejaculate to egg: Mechanisms, molecules, and methods for exploration. Mol. Reprod. Dev. 2016, 83, 897–911. [Google Scholar] [CrossRef]
- Ranz, J.M.; Castillo-Davis, C.I.; Meiklejohn, C.D.; Hartl, D.L. Sex-Dependent Gene Expression and Evolution of the Drosophila Transcriptome. Science 2003, 300, 1742–1745. [Google Scholar] [CrossRef]
- Hahn, M.W.; Lanzaro, G.C. Female-biased gene expression in the malaria mosquito Anopheles gambiae. Curr. Biol. 2005, 15, R192–R193. [Google Scholar] [CrossRef] [PubMed] [Green Version]
- Eads, B.D.; Colbourne, J.K.; Bohuski, E.; Andrews, J. Profiling sex-biased gene expression during parthenogenetic reproduction in Daphnia pulex. BMC Genom. 2007, 8, 464. [Google Scholar] [CrossRef] [Green Version]
- Meinertzhagen, I.A.; Hanson, T.E. The Development of Drosophila melanogaster. 1993. Available online: https://www.researchgate.net/publication/283413477_The_Development_of_Drosophila_melanogaster (accessed on 23 May 2022).
- Sæbøe-Larssen, S.; Lyamouri, M.; Merriam, J.; Oksvold, M.P.; Lambertsson, A. Ribosomal Protein Insufficiency and the Minute Syndrome in Drosophila: A Dose-Response Relationship. Genetics 1998, 148, 1215–1224. [Google Scholar] [CrossRef] [PubMed]
- Penalva, L.O.F.; Sánchez, L. RNA Binding Protein Sex-Lethal (Sxl) and Control of Drosophila Sex Determination and Dosage Compensation. Microbiol. Mol. Biol. Rev. 2003, 67, 343–359. [Google Scholar] [CrossRef] [PubMed] [Green Version]
- Viger, R.; Mertineit, C.; Trasler, J.; Nemer, M. Transcription factor GATA-4 is expressed in a sexually dimorphic pattern during mouse gonadal development and is a potent activator of the Mullerian inhibiting substance promoter. Development 1998, 125, 2665–2675. [Google Scholar] [CrossRef] [PubMed]
- Liu, C.-F.; Bingham, N.; Parker, K.; Yao, H.H.-C. Sex-specific roles of beta-catenin in mouse gonadal development. Hum. Mol. Genet. 2009, 18, 405–417. [Google Scholar] [CrossRef] [Green Version]
- Schutt, C.; Nothiger, R. Structure, function and evolution of sex-determining systems in Dipteran insects. Development 2000, 127, 667–677. [Google Scholar] [CrossRef]
- Erickson, J.W.; Quintero, J.J. Indirect Effects of Ploidy Suggest X Chromosome Dose, not the X:A Ratio, Signals Sex in Drosophila. PLoS Biol. 2007, 5, e332. [Google Scholar] [CrossRef] [Green Version]
- Saccone, G.; Pane, A.; Polito, L. Sex determination in flies, fruitflies and butterflies. Genetica 2002, 116, 15–23. [Google Scholar] [CrossRef]
- Xu, J.; Zhan, S.; Chen, S.; Zeng, B.; Li, Z.; James, A.A.; Tan, A.; Huang, Y. Sexually dimorphic traits in the silkworm, Bombyx mori, are regulated by doublesex. Insect Biochem. Mol. Biol. 2017, 80, 42–51. [Google Scholar] [CrossRef] [Green Version]
- Bopp, D.; Saccone, G.; Beye, M. Sex Determination in Insects: Variations on a Common Theme. Sex. Dev. 2014, 8, 20–28. [Google Scholar] [CrossRef] [PubMed] [Green Version]
- Miyamoto, Y.; Taniguchi, H.; Hamel, F.; Silversides, D.W.; Viger, R.S. A GATA4/WT1 cooperation regulates transcription of genes required for mammalian sex determination and differentiation. BMC Mol. Biol. 2008, 9, 44. [Google Scholar] [CrossRef] [PubMed] [Green Version]
- Osei-Amo, S.; Hussein, M.; Asad, S.; Hugo, L.; Asgari, S. Wolbachia -induced transcription factor GATA4 suppresses ovary-specific genes blastoderm-specific protein 25D and imaginal disc growth factor. Insect Mol. Biol. 2018, 27, 295–304. [Google Scholar] [CrossRef] [PubMed]
- Vainio, S.; Heikkila, M.; Kispert, A.; Chin, N.; Andrew, P.M. Female development in mammals is regulated by Wnt-4 signalling. (cover story). Nature 1999, 397, 405. [Google Scholar] [CrossRef]
- Xu, J.; Yu, Y.; Chen, K.; Huang, Y. Intersex regulates female external genital and imaginal disc development in the silkworm. Insect Biochem. Mol. Biol. 2019, 108, 1–8. [Google Scholar] [CrossRef]
- Deshpande, G.; Nouri, A.; Schedl, P. Wnt Signaling in Sexual Dimorphism. Genetics 2015, 202, 661–673. [Google Scholar] [CrossRef] [Green Version]
- Chen, W.; Xu, W.-H. Wnt/β-catenin signaling regulates Helicoverpa armigera pupal development by up-regulating c-Myc and AP-4. Insect Biochem. Mol. Biol. 2014, 53, 44–53. [Google Scholar] [CrossRef]
- Defalco, T.J.; Geraldine, V.; Jenkins, A.B.; Michael, M.J.; Steven, R.; Mark, V.D. Sex-specific apoptosis regulates sexual dimorphism in the Drosophila embryonic gonad. Dev. Cell 2003, 5, 205–216. [Google Scholar] [CrossRef] [Green Version]
- Liu, J.B.; Wu, H.; Yi, J.Q.; Li, J.H.; Cheng, Y.J.; Zhang, Y.F.; Sun, D.L.; An, Y.X. Transcriptome characterization and expression analysis related to sex-determining genes in Chilo sacchariphagus (Lepidoptera Crambidae), a key pest of sugarcane. Entomol. Res. 2022, 52, 77–79. [Google Scholar] [CrossRef]
- Jin, L.; Walker, A.S.; Fu, G.; Harvey-Samuel, T.; Dafa’Alla, T.; Miles, A.; Marubbi, T.; Granville, D.; Humphrey-Jones, N.; O’Connell, S.; et al. Engineered Female-Specific Lethality for Control of Pest Lepidoptera. ACS Synth. Biol. 2013, 2, 160–166. [Google Scholar] [CrossRef]
Publisher’s Note: MDPI stays neutral with regard to jurisdictional claims in published maps and institutional affiliations. |
© 2022 by the authors. Licensee MDPI, Basel, Switzerland. This article is an open access article distributed under the terms and conditions of the Creative Commons Attribution (CC BY) license (https://creativecommons.org/licenses/by/4.0/).










