The Residual Efficacy of SumiShield™ 50WG and K-Othrine® WG250 IRS Formulations Applied to Different Building Materials against Anopheles and Aedes Mosquitoes
Abstract
Simple Summary
Abstract
1. Introduction
2. Materials and Methods
2.1. Mosquito Strains
2.2. Test Surfaces
2.3. Preparation of Test Surfaces
2.4. WHO Susceptibility Tube Bioassay
2.4.1. Investigating Additional Mortality beyond 24 h Post-Exposure to Clothianidin
2.4.2. Investigating the Effect of Varied Exposure Time on Clothianidin Efficacy
2.5. WHO Cone Bioassay
Residual Efficacy of Clothianidin IRS over Time
2.6. Data Analysis
3. Results
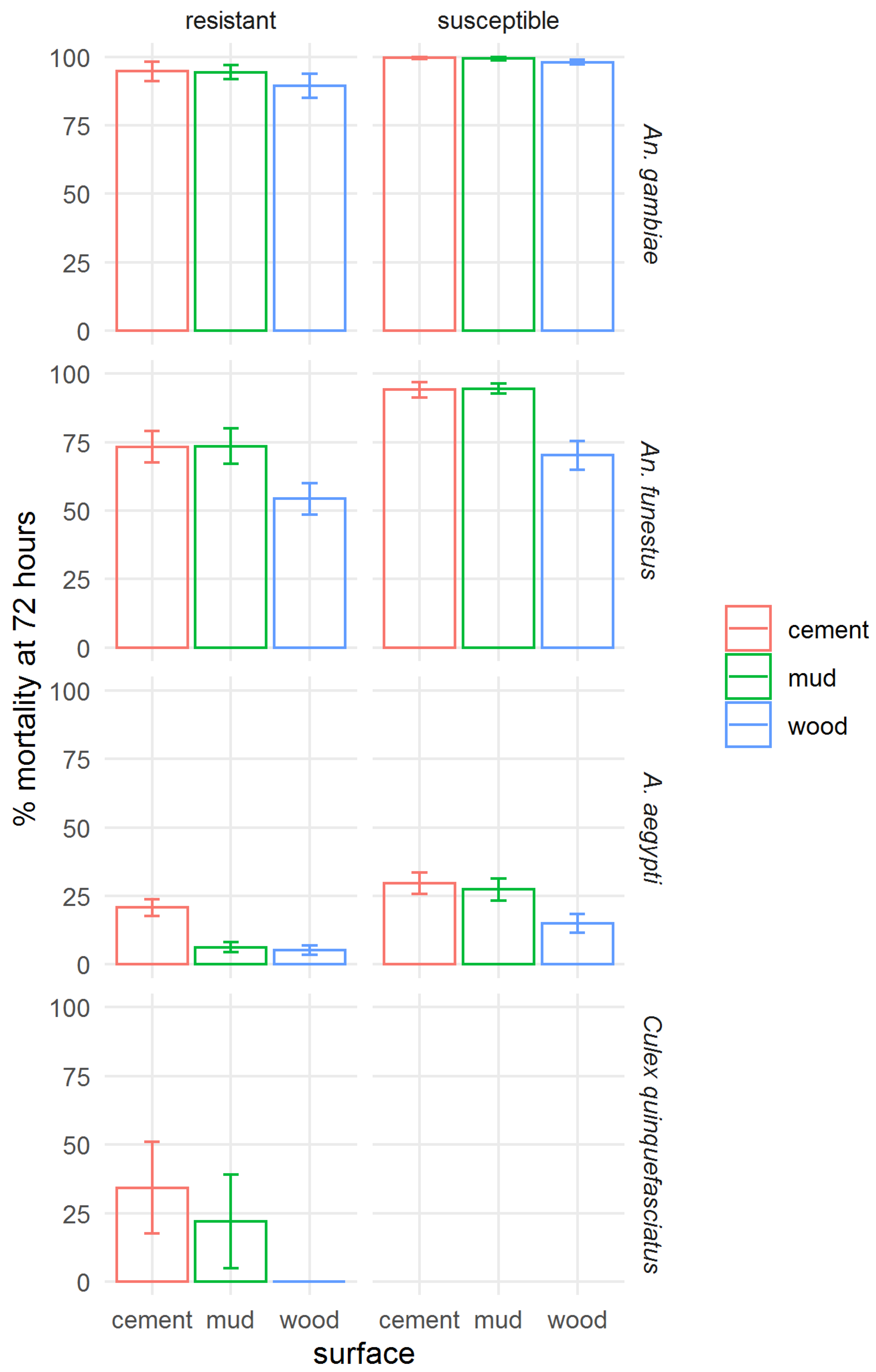
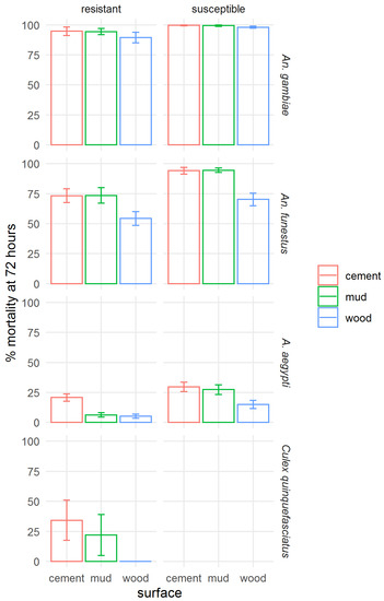
3.1. WHO Tube Bioassay: Additional Mortality beyond 24 h Post-Exposure to Clothianidin
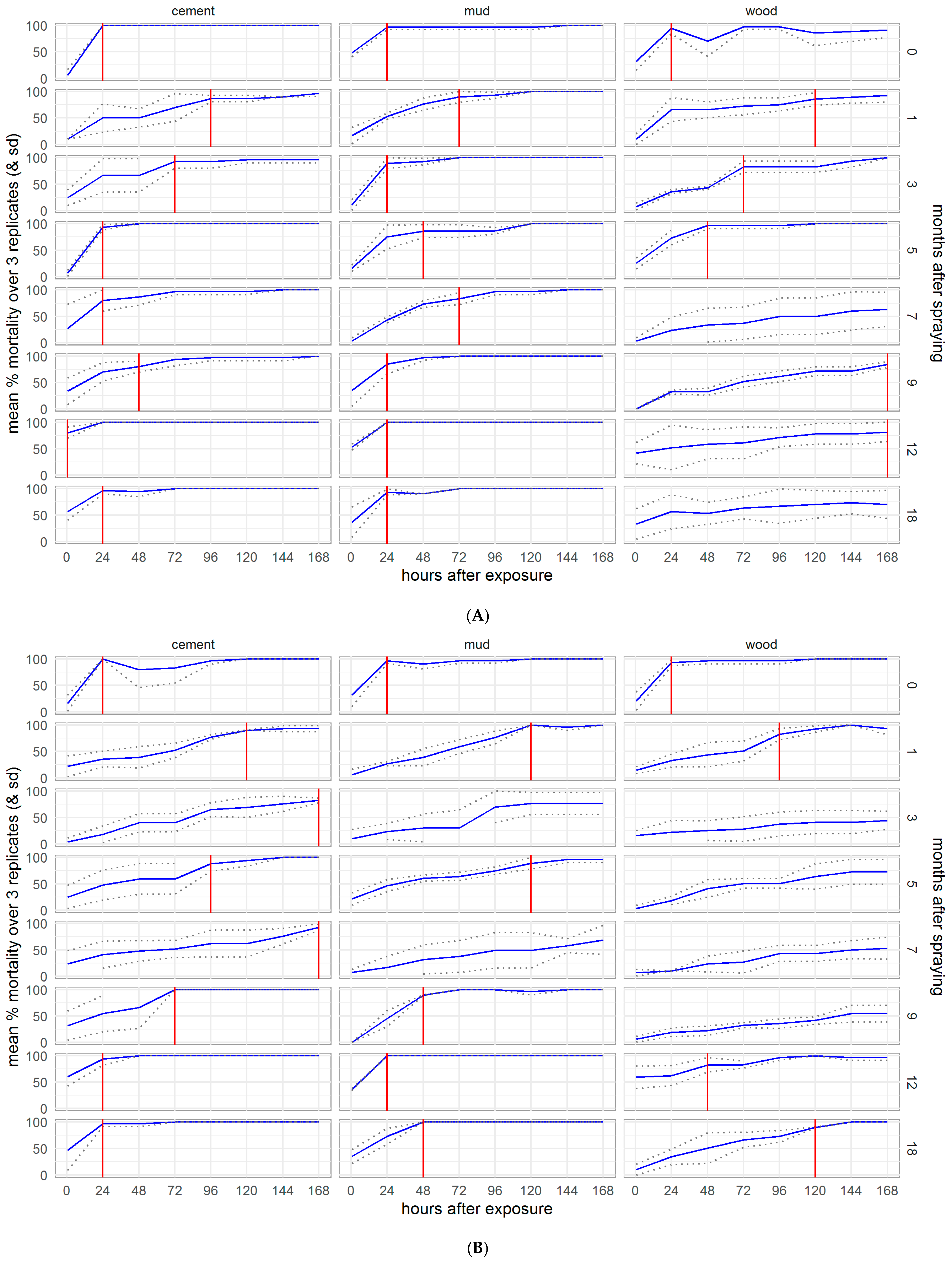
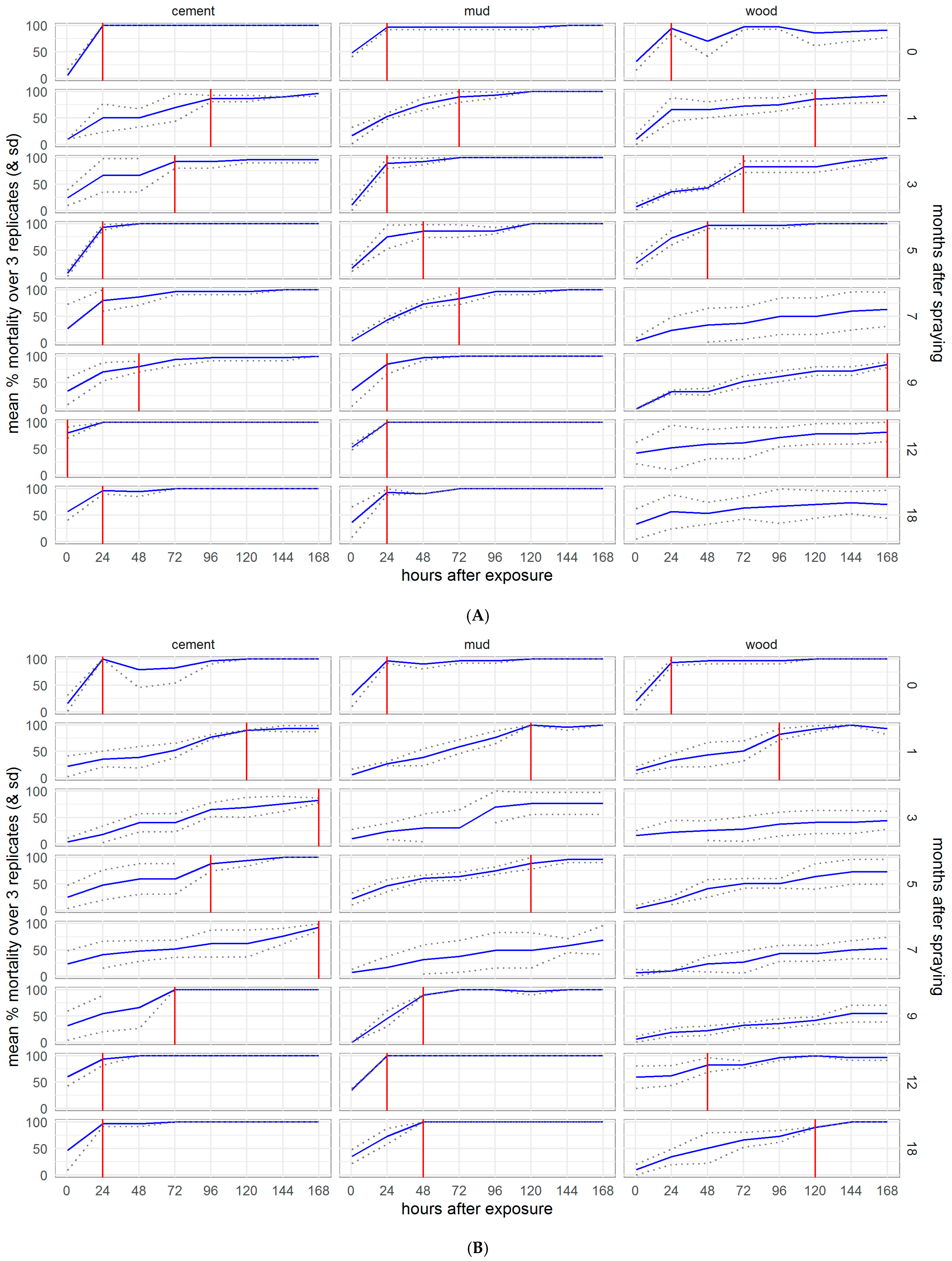
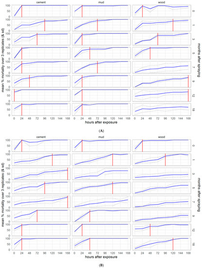
3.2. WHO Cone Test: Residual Efficacy of Clothianidin IRS over Time
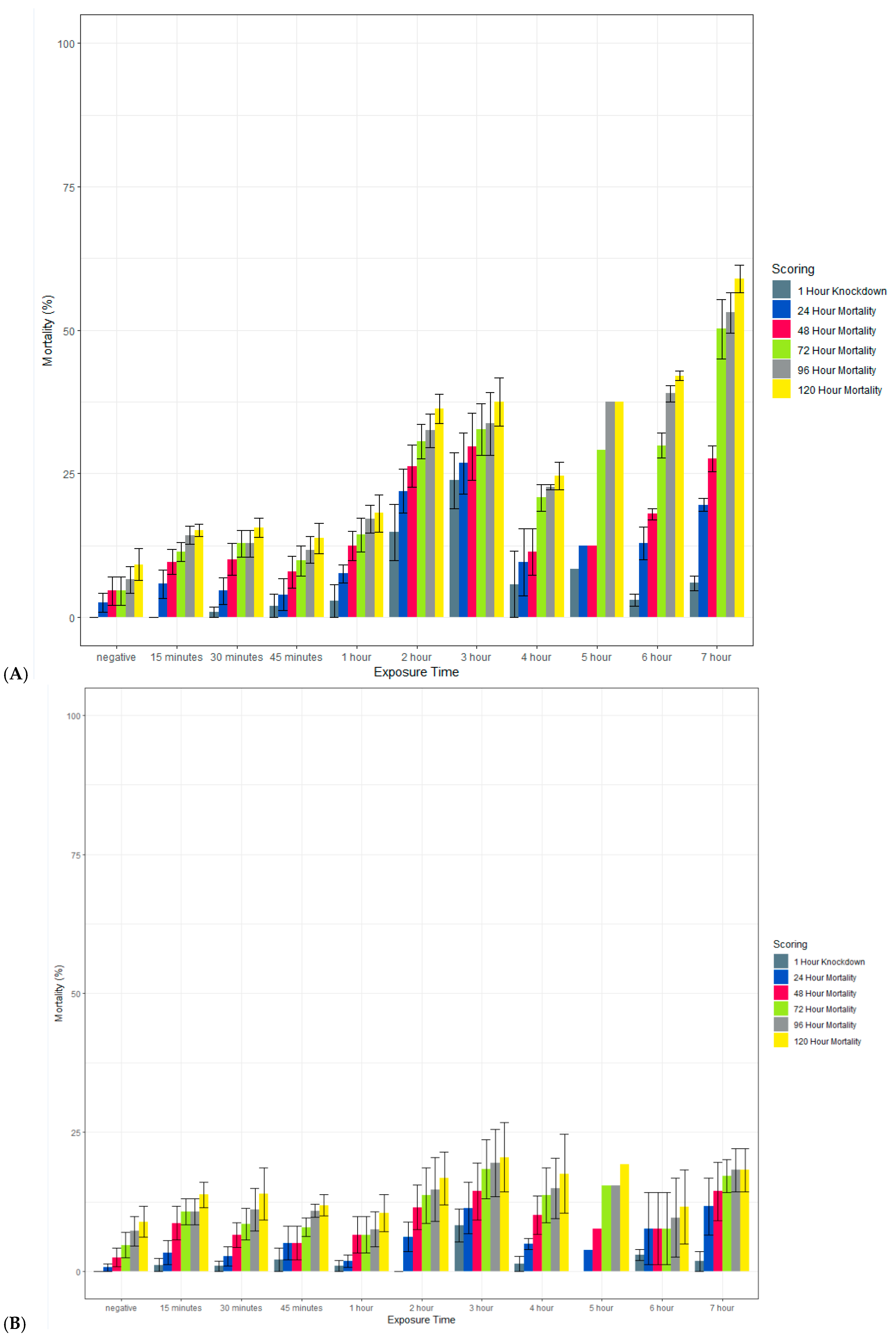
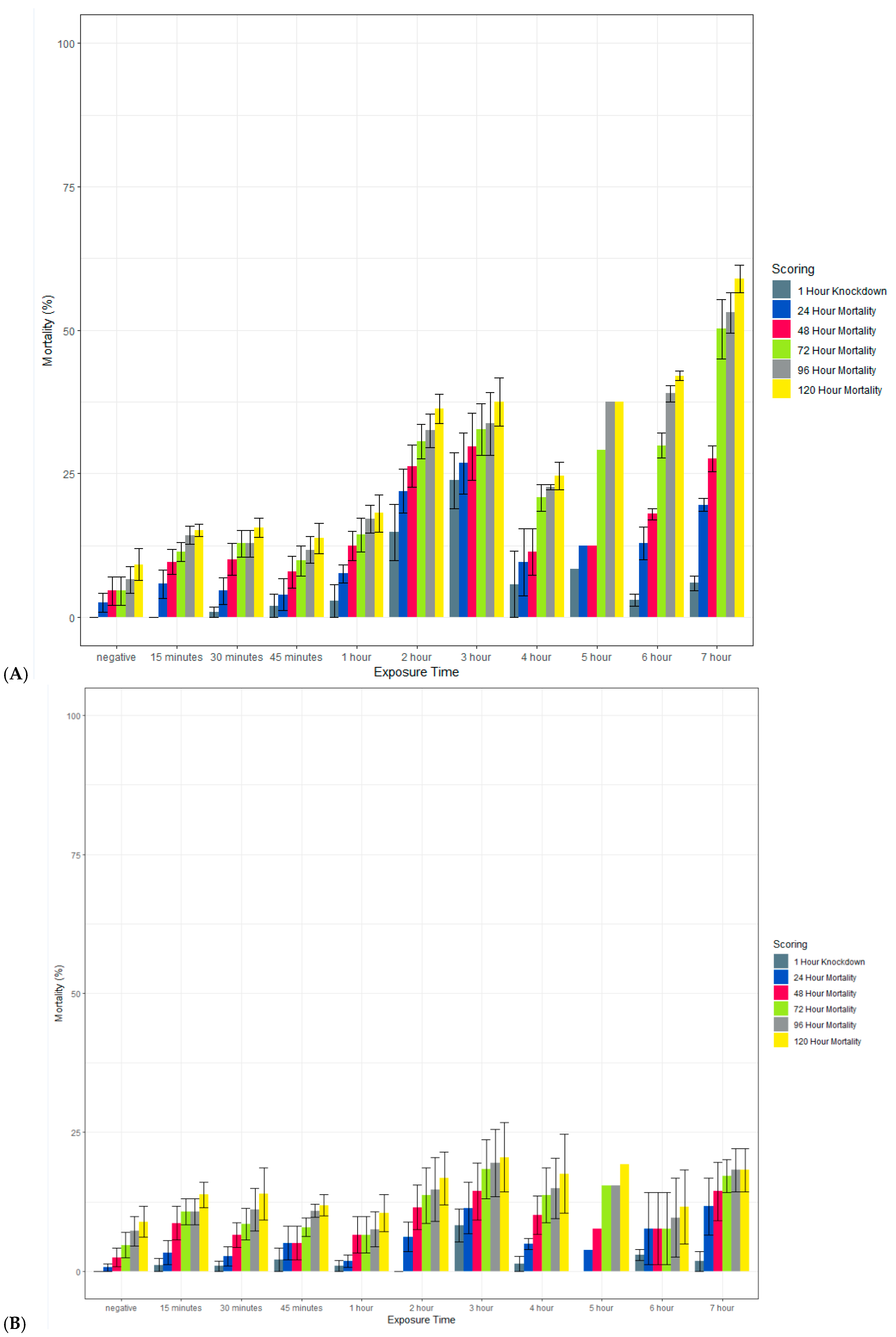
3.3. The Effect of Varied Exposure Time on Clothianidin Efficacy
4. Discussion
5. Conclusions
Supplementary Materials
Author Contributions
Funding
Institutional Review Board Statement
Informed Consent Statement
Data Availability Statement
Acknowledgments
Conflicts of Interest
References
- Bhatt, S.; Weiss, D.J.; Cameron, E.; Bisanzio, D.; Mappin, B.; Dalrymple, U.; Battle, K.E.; Moyes, C.L.; Henry, A.; Eckhoff, P.A.; et al. The effect of malaria control on Plasmodium falciparum in Africa between 2000 and 2015. Nature 2015, 526, 207–211. [Google Scholar] [CrossRef] [PubMed]
- WHO. Indoor Residual Spraying: An Operational Manual for IRS for Malaria Transmission, Control and Elimination, 2nd ed.; World Health Organization, 2015; Available online: https://apps.who.int/iris/handle/10665/177242 (accessed on 17 February 2022).
- Ranson, H.; Lissenden, N. Insecticide Resistance in African Anopheles Mosquitoes: A Worsening Situation that Needs Urgent Action to Maintain Malaria Control. Trends Parasitol. 2016, 32, 187–196. [Google Scholar] [CrossRef]
- WHO. World Malaria Report 2020: 20 Years of Global Progress and Challenges; World Health Organization: Geneva, Switzerland, 2020. [Google Scholar]
- Williams, J.; Flood, L.; Praulins, G.; Ingham, V.A.; Morgan, J.; Lees, R.S.; Ranson, H. Characterisation of Anopheles strains used for laboratory screening of new vector control products. Parasites Vectors 2019, 12, 522. [Google Scholar] [CrossRef]
- WHO. Prequalified Vector Control Products|WHO-Prequalification of Medical Products (IVDs, Medicines, Vaccines and Immunization Devices, Vector Control). 2020. Available online: https://extranet.who.int/pqweb/vector-control-products/prequalified-product-list (accessed on 2 August 2021).
- Ngwej, L.M.; Hattingh, I.; Mlambo, G.; Mashat, E.M.; Kashala, J.-C.K.; Malonga, F.K.; Bangs, M.J. Indoor residual spray bio-efficacy and residual activity of a clothianidin-based formulation (SumiShield® 50WG) provides long persistence on various wall surfaces for malaria control in the Democratic Republic of the Congo. Malaria J. 2019, 18, 72. [Google Scholar] [CrossRef]
- Marti-Soler, H.; Máquina, M.; Opiyo, M.; Alafo, C.; Sherrard-Smith, E.; Malheia, A.; Cuamba, N.; Sacoor, C.; Rabinovich, R.; Aide, P.; et al. Effect of wall type, delayed mortality and mosquito age on the residual efficacy of a clothianidin-based indoor residual spray formulation (SumiShieldTM 50WG) in southern Mozambique. PLoS ONE 2021, 16, e0248604. [Google Scholar] [CrossRef]
- Sreehari, U.; Raghavendra, K.; Tiwari, S.N.; Sreedharan, S.; Ghosh, S.K.; Valecha, N. Small-scale (Phase II) evaluation of the efficacy and residual activity of SumiShield® 50 WG (clothianidin 50%, w/w) for indoor residual spraying in comparison to deltamethrin, bendiocarb and pirimiphos-methyl for malaria vector control in Karnataka state. J. Vector Borne Dis. 2018, 55, 122–129. [Google Scholar] [CrossRef] [PubMed]
- Dagg, K.; Irish, S.; Wiegand, R.E.; Shililu, J.; Yewhalaw, D.; Messenger, L.A. Evaluation of toxicity of clothianidin (neonicotinoid) and chlorfenapyr (pyrrole) insecticides and cross-resistance to other public health insecticides in Anopheles arabiensis from Ethiopia. Malaria J. 2019, 18, 49. [Google Scholar] [CrossRef]
- Uragayala, S.; Kamaraju, R.; Tiwari, S.N.; Sreedharan, S.; Ghosh, S.K.; Valecha, N. Village-scale (Phase III) evaluation of the efficacy and residual activity of SumiShield® 50 WG (Clothianidin 50%, w/w) for indoor spraying for the control of pyrethroid-resistant Anopheles culicifacies Giles in Karnataka state, India. Trop. Med. Int. Health 2018, 23, 605–615. [Google Scholar] [CrossRef] [PubMed]
- Kweka, E.; Mahande, A.; Ouma, J.; Karanja, W.; Msangi, S.; Temba, V.; Lyaruu, L.; Himeidan, Y. Novel indoor residual spray insecticide with extended mortality effect: A Case of SumiShield 50WG Against Wild Resistant Populations of Anopheles arabiensis in Northern Tanzania. Global Health Sci. Pract. 2018, 6, 758–765. [Google Scholar] [CrossRef] [PubMed]
- World Health Organization. Vector Control for Malaria and Other Mosquito-Borne Diseases. Report of a WHO Study Group; World Health Organization: Geneva, Switzerland, 1995. [Google Scholar]
- Vatandoost, H.; Abai, M.R.; Abbasi, M.; Shaeghi, M.; Abtahi, M.; Rafie, F. Designing of a laboratory model for evaluation of the residual effects of deltamethrin (K-othrine WP 5%) on different surfaces against malaria vector, Anopheles stephensi (Diptera: Culicidae). J. Vector Borne Dis. 2009, 46, 261–267. [Google Scholar]
- Ibrahim, K.T.; Popoola, K.O.; Akure, K.O. Laboratory Evaluation of Residual Efficacy of Actellic 300 CS (Pirimiphos-Methyl) and K-Othrine WG 250 (Deltamethrin) on Different Indoor Surfaces. Int. J. Insect Sci. 2017, 9, 117954331773298. [Google Scholar] [CrossRef] [PubMed]
- Etang, J.; Nwane, P.; Mbida, J.A.; Piameu, M.; Manga, B.; Souop, D.; Awono-Ambene, P. Variations of insecticide residual bio-efficacy on different types of walls: Results from a community-based trial in south Cameroon. Malaria J. 2011, 10, 333. [Google Scholar] [CrossRef]
- Haji, K.A.; Thawer, N.G.; Khatib, B.O.; Mcha, J.H.; Rashid, A.; Ali, A.S.; Jones, C.; Bagi, J.; Magesa, S.M.; Ramsan, M.M.; et al. Efficacy, persistence and vector susceptibility to pirimiphos-methyl (Actellic® 300CS) insecticide for indoor residual spraying in Zanzibar. Parasites Vectors 2015, 8, 628. [Google Scholar] [CrossRef] [PubMed]
- Potter, C. An improved laboratory apparatus for applying direct sprays and surface films, with data on the electrostatic charge on atomized spray fluids. Ann. Appl. Biol. 1952, 39, 1–28. [Google Scholar] [CrossRef]
- Roychoudhury, N.; Lata, S.; Mishra, R.K. Potter spray tower. Van Sangyan 2016, 3, 31–32. [Google Scholar]
- WHO. Guidelines for Testing Adulticides for Indoor Residual Spraying and Treatment of Mosquito Nets; WHO: Geneva, Switzerland, 2006; No. WHO/CDS/NTD/WHOPES/GCDPP/2006.3. [Google Scholar]
- Oxborough, R.M.; N’Guessan, R.; Kitau, J.; Tungu, P.K.; Malone, D.; Mosha, F.W.; Rowland, M.W. A new class of insecticide for malaria vector control: Evaluation of mosquito nets treated singly with indoxacarb (oxadiazine) or with a pyrethroid mixture against Anopheles gambiae and Culex quinquefasciatus. Malaria J. 2015, 14, 353. [Google Scholar] [CrossRef] [PubMed][Green Version]
- WHO. Test Procedures for Insecticide Resistance Monitoring in Malaria Vector Mosquitoes; World Health Organization: Geneva, Switzerland, 2016. [Google Scholar] [CrossRef]
- Abbott, W.S. A method of computing the effectiveness of an insecticide. J. Econ. Entomol. 1925, 18, 265–267. Available online: http://www.ncbi.nlm.nih.gov/pubmed/3333059 (accessed on 4 January 2017). [CrossRef]
- Lees, R.; Praulins, G.; Davies, R.; Brown, F.; Parsons, G.; White, A.; Ranson, H.; Small, G.; Malone, D. A testing cascade to identify repurposed insecticides for next-generation vector control tools: Screening a panel of chemistries with novel modes of action against a malaria vector. Gates Open Res. 2019, 3, 1464. [Google Scholar] [CrossRef]
- Agossa, F.R.; Padonou, G.G.; Koukpo, C.Z.; Zola-Sahossi, J.; Azondekon, R.; Akuoko, O.K.; Ahoga, J.; N’Dombidje, B.; Akinro, B.; Fassinou, A.J.Y.H.; et al. Efficacy of a novel mode of action of an indoor residual spraying product, SumiShield® 50WG against susceptible and resistant populations of Anopheles gambiae (s.l.) in Benin, West Africa. Parasites Vectors 2018, 11, 293. [Google Scholar] [CrossRef] [PubMed]
- Ngufor, C.; Fongnikin, A.; Rowland, M.; N’Guessan, R. Indoor residual spraying with a mixture of clothianidin (a neonicotinoid insecticide) and deltamethrin provides improved control and long residual activity against pyrethroid resistant Anopheles gambiae sl in Southern Benin. PLoS ONE 2017, 12, e0189575. [Google Scholar] [CrossRef]
- Centers for Disease Control and Prevention. Guideline for Evaluating Insecticide Resistance in Vectors Using the CDC Bottle Bioassay. CDC Methods 2012. [Google Scholar] [CrossRef]
- Agumba, S.; Gimnig, J.E.; Ogonda, L.; Ombok, M.; Kosgei, J.; Munga, S.; Guyah, B.; Omondi, S.; Ochomo, E. Diagnostic dose determination and efficacy of chlorfenapyr and clothianidin insecticides against Anopheles malaria vector populations of western Kenya. Malaria J. 2019, 18, 243. [Google Scholar] [CrossRef]
- Oxborough, R.M.; Seyoum, A.; Yihdego, Y.; Dabire, R.; Gnanguenon, V.; Wat’Senga, F.; Agossa, F.R.; Yohannes, G.; Coleman, S.; Samdi, L.M.; et al. Susceptibility testing of Anopheles malaria vectors with the neonicotinoid insecticide clothianidin; Results from 16 African countries, in preparation for indoor residual spraying with new insecticide formulations. Malaria J. 2019, 18, 264. [Google Scholar] [CrossRef]
- WHO. Global Plan for Insecticide Resistance Management in Malaria Vectors; World Health Organization Press: Geneva, Switzerland, 2012; p. 13. [Google Scholar]
- Owusu, H.F.; Chitnis, N.; Müller, P. Insecticide susceptibility of Anopheles mosquitoes changes in response to variations in the larval environment. Sci. Rep. 2017, 7, 3667. [Google Scholar] [CrossRef] [PubMed]
- Kulma, K.; Saddler, A.; Koella, J.C. Effects of Age and Larval Nutrition on Phenotypic Expression of Insecticide-Resistance in Anopheles Mosquitoes. PLoS ONE 2013, 8, e58322. [Google Scholar] [CrossRef] [PubMed]
- Oliver, S.V.; Brooke, B.D. The effect of larval nutritional deprivation on the life history and DDT resistance phenotype in laboratory strains of the malaria vector Anopheles arabiensis. Malaria J. 2013, 12, 44. [Google Scholar] [CrossRef] [PubMed]









Publisher’s Note: MDPI stays neutral with regard to jurisdictional claims in published maps and institutional affiliations. |
© 2022 by the authors. Licensee MDPI, Basel, Switzerland. This article is an open access article distributed under the terms and conditions of the Creative Commons Attribution (CC BY) license (https://creativecommons.org/licenses/by/4.0/).
Share and Cite
Lees, R.S.; Praulins, G.; Lissenden, N.; South, A.; Carson, J.; Brown, F.; Lucas, J.; Malone, D. The Residual Efficacy of SumiShield™ 50WG and K-Othrine® WG250 IRS Formulations Applied to Different Building Materials against Anopheles and Aedes Mosquitoes. Insects 2022, 13, 112. https://doi.org/10.3390/insects13020112
Lees RS, Praulins G, Lissenden N, South A, Carson J, Brown F, Lucas J, Malone D. The Residual Efficacy of SumiShield™ 50WG and K-Othrine® WG250 IRS Formulations Applied to Different Building Materials against Anopheles and Aedes Mosquitoes. Insects. 2022; 13(2):112. https://doi.org/10.3390/insects13020112
Chicago/Turabian StyleLees, Rosemary Susan, Giorgio Praulins, Natalie Lissenden, Andy South, Jessica Carson, Faye Brown, John Lucas, and David Malone. 2022. "The Residual Efficacy of SumiShield™ 50WG and K-Othrine® WG250 IRS Formulations Applied to Different Building Materials against Anopheles and Aedes Mosquitoes" Insects 13, no. 2: 112. https://doi.org/10.3390/insects13020112
APA StyleLees, R. S., Praulins, G., Lissenden, N., South, A., Carson, J., Brown, F., Lucas, J., & Malone, D. (2022). The Residual Efficacy of SumiShield™ 50WG and K-Othrine® WG250 IRS Formulations Applied to Different Building Materials against Anopheles and Aedes Mosquitoes. Insects, 13(2), 112. https://doi.org/10.3390/insects13020112

