Radiation Hormesis to Improve the Quality of Adult Spodoptera litura (Fabr.)
Abstract
Simple Summary
Abstract
1. Introduction
2. Materials and Methods
2.1. Culture and Maintenance of Spodoptera litura
2.2. Irradiation Treatments
2.3. Development
2.4. Longevity
2.5. Tissue Collection for qPCR
2.6. RNA Extraction and cDNA Synthesis
2.7. Measurement of Gene Expression of Candidate Genes
2.8. Statistical Analyses
3. Results
3.1. Low-Dose Ionizing Radiation and Development Parameters
3.2. Low-Dose Irradiation and Adult Moth Lifespan
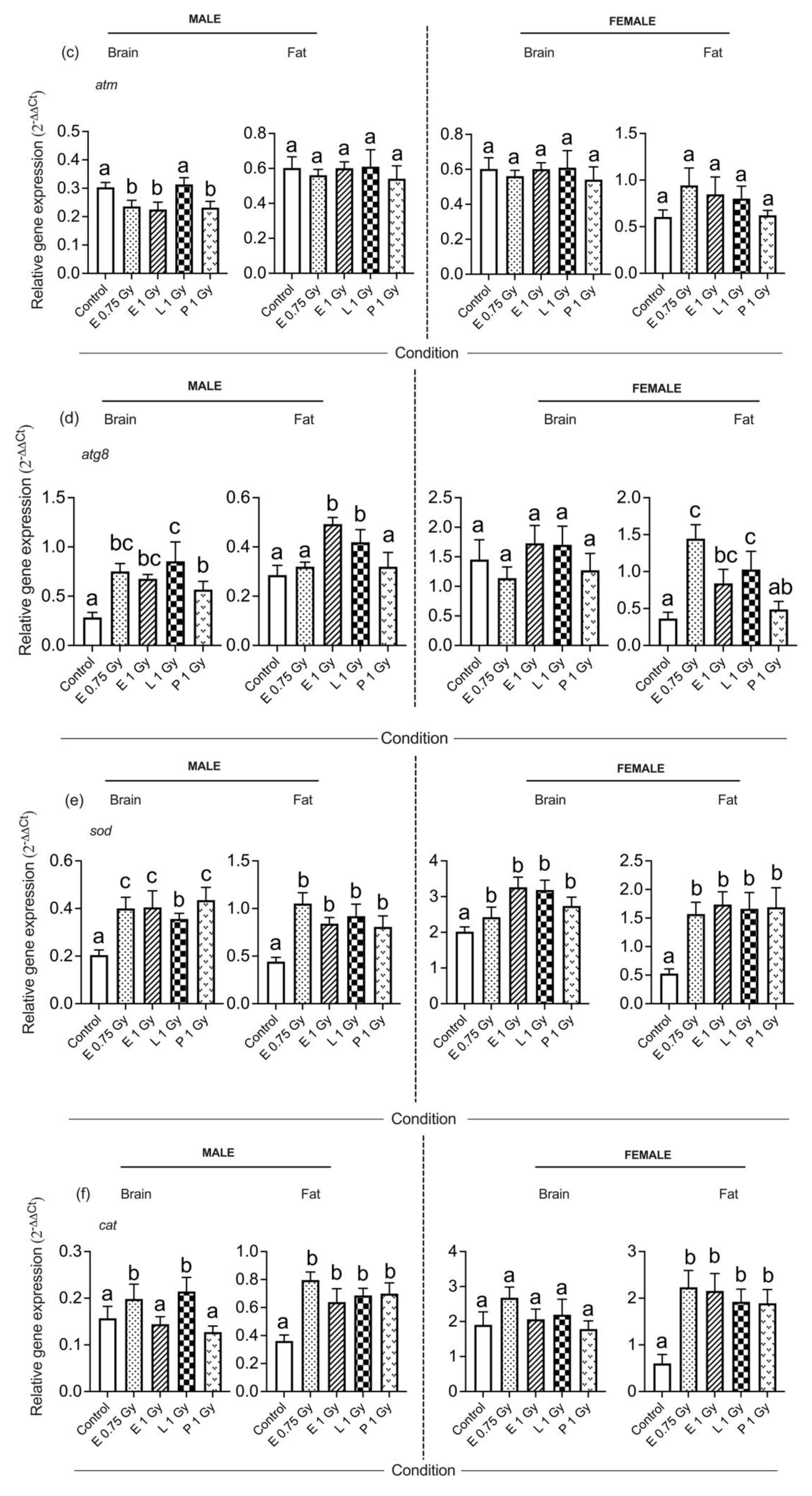
3.3. Hormetic Gamma Doses and Gene Expression
4. Discussion
5. Conclusions
Author Contributions
Funding
Institutional Review Board Statement
Informed Consent Statement
Data Availability Statement
Acknowledgments
Conflicts of Interest
References
- Bragard, C.; Dehnen-Schmutz, K.; Di Serio, F.; Gonthier, P.; Jacques, M.A.; Miret, J.A.J.; Justesen, A.F.; Magnusson, C.S.; Milonas, P.; Navas-Cortes, J.A.; et al. Pest categorisation of Spodoptera litura. EFSA J. 2019, 17, e05765. [Google Scholar] [PubMed]
- Selin-Rani, S.; Senthil-Nathan, S.; Revathi, K.; Chandrasekaran, R.; Thanigaivel, A.; Vasantha-Srinivasan, P.; Ponsankar, A.; Edwin, E.S.; Pradeepa, V. Toxicity of Alangium salvifolium Wang chemical constituents against the tobacco cutworm Spodoptera litura Fab. Pestic. Biochem. Physio. 2016, 126, 92–101. [Google Scholar] [CrossRef] [PubMed]
- Proverbs, M.D. Sterile insect technique in codling moth control. In Sterile Insect Technique and Radiation in Insect Control; International Atomic Energy Agency: Vienna, Austria, 1982. [Google Scholar]
- Seth, R.K.; Sharma, V.P. Inherited sterility by substerilizing radiation in Spodoptera litura (Lepidoptera: Noctuidae): Bioefficacy and potential for pest suppression. Fla. Entomol. 2001, 183–193. [Google Scholar] [CrossRef]
- López-Martínez, G.; Carpenter, J.E.; Hight, S.D.; Hahn, D.A. Anoxia-conditioning hormesis alters the relationship between irradiation doses for survival and sterility in the cactus moth, Cactoblastis cactorum (Lepidoptera: Pyralidae). Fla. Entomol. 2016, 99, 95–104. [Google Scholar] [CrossRef]
- Condon, C.H.; White, S.; Meagher, R.L.; Jeffers, L.A.; Bailey, W.D.; Hahn, D.A. Effects of low-oxygen environments on the radiation tolerance of the cabbage looper moth (Lepidoptera: Noctuidae). J. Econ. Entomol. 2017, 110, 80–86. [Google Scholar] [CrossRef]
- Calabrese, E.J.; Baldwin, L.A. The dose determines the stimulation (and poison): Development of a chemical hormesis database. Int. J. Toxicol. 1997, 16, 545–559. [Google Scholar] [CrossRef]
- Calabrese, E.J.; Blain, R. The occurrence of hormetic dose responses in the toxicological literature, the hormesis database: An overview. Toxicol. Appl. Pharmacol. 2005, 202, 289–301. [Google Scholar] [CrossRef]
- Kendig, E.L.; Le, H.H.; Belcher, S.M. Defining hormesis: Evaluation of a complex concentration response phenomenon. Int. J. Toxicol. 2010, 29, 235–246. [Google Scholar] [CrossRef]
- Jager, T.; Barsi, A.; Ducrot, V. Hormesis on life-history traits: Is there such thing as a free lunch? Ecotoxicology 2013, 22, 263–270. [Google Scholar] [CrossRef]
- Guedes, R.N.C.; Cutler, G.C. Insecticide-induced hormesis and arthropod pest management. Pest Manag. Sci. 2014, 70, 690–697. [Google Scholar] [CrossRef]
- Cutler, G. Insects, insecticides and hormesis: Evidence and considerations for study. Dose-Response 2013, 11, 154–177. [Google Scholar] [CrossRef]
- Calabrese, E.J. Hormesis: Why it is important to toxicology and toxicologists. Environ. Toxicol. Chem. 2008, 27, 1451–1474. [Google Scholar] [CrossRef]
- Kabilan, U.; Graber, T.E.; Alain, T.; Klokov, D. Ionizing Radiation and Translation Control: A Link to Radiation Hormesis? Int. J. Mol. Sci. 2020, 21, 6650. [Google Scholar] [CrossRef]
- Saunders, L.R.; Verdin, E. Stress response and aging. Science 2009, 323, 1021–1022. [Google Scholar] [CrossRef] [PubMed]
- Blander, G.; Guarente, L. The Sir2 family of protein deacetylases. Annu. Rev. Biochem. 2004, 73, 417–435. [Google Scholar] [CrossRef] [PubMed]
- Brooks, C.L.; Gu, W. How does SIRT1 affect metabolism, senescence and cancer? Nat. Rev. Cancer 2009, 9, 123–128. [Google Scholar] [CrossRef] [PubMed]
- Michan, S.; Sinclair, D. Sirtuins in mammals: Insights into their biological function. Biochem. J. 2007, 404, 1–13. [Google Scholar] [CrossRef] [PubMed]
- Brunet, A.; Sweeney, L.B.; Sturgill, J.F.; Chua, K.F.; Greer, P.L.; Lin, Y.; Tran, H.; Ross, S.E.; Mostoslavsky, R.; Cohen, H.Y.; et al. Stress-dependent regulation of FOXO transcription factors by the SIRT1 deacetylase. Science 2004, 303, 2011–2015. [Google Scholar] [CrossRef] [PubMed]
- Moskalev, A.A.; Plyusnina, E.N.; Shaposhnikov, M.V. (2011). Radiation hormesis and radioadaptive response in Drosophila melanogaster flies with different genetic backgrounds: The role of cellular stress-resistance mechanisms. Biogerontology 2011, 12, 253–263. [Google Scholar] [CrossRef] [PubMed]
- Sláviková, S.; Shy, G.; Yao, Y.; Glozman, R.; Levanony, H.; Pietrokovski, S.; Elazar, Z.; Galili, G. The autophagy-associated Atg8 gene family operates both under favourable growth conditions and under starvation stresses in Arabidopsis plants. J. Exp. Bot. 2005, 56, 2839–2849. [Google Scholar] [CrossRef] [PubMed]
- Kaushik, S.; Cuervo, A.M. Autophagy as a cell-repair mechanism: Activation of chaperone-mediated autophagy during oxidative stress. Mol. Aspects Med. 2006, 27, 444–454. [Google Scholar] [CrossRef]
- Juhász, G.; Érdi, B.; Sass, M.; Neufeld, T.P. Atg7-dependent autophagy promotes neuronal health, stress tolerance, and longevity but is dispensable for metamorphosis in Drosophila. Genes Dev. 2007, 21, 3061–3066. [Google Scholar] [CrossRef] [PubMed]
- Swanlund, J.M.; Kregel, K.C.; Oberley, T.D. Autophagy following heat stress: The role of aging and protein nitration. Autophagy 2008, 4, 936–939. [Google Scholar] [CrossRef] [PubMed]
- Kang, C.; Avery, L. Systemic regulation of autophagy in Caenorhabditis elegans. Autophagy 2009, 5, 565–566. [Google Scholar] [CrossRef] [PubMed][Green Version]
- Fuchs, S.; Bundy, J.G.; Davies, S.K.; Viney, J.M.; Swire, J.S.; Leroi, A.M. A metabolic signature of long life in Caenorhabditis elegans. BMC Biol. 2010, 8, 1–12. [Google Scholar] [CrossRef] [PubMed]
- Madeo, F.; Tavernarakis, N.; Kroemer, G. Can autophagy promote longevity? Nat. Cell Biol. 2010, 12, 842–846. [Google Scholar] [CrossRef] [PubMed]
- Kops, G.J.; Dansen, T.B.; Polderman, P.E.; Saarloos, I.; Wirtz, K.W.; Coffer, P.J.; Huang, T.T.; Bos, J.L.; Medema, R.H.; Burgering, B.M. Forkhead transcription factor FOXO3a protects quiescent cells from oxidative stress. Nature 2002, 419, 316–321. [Google Scholar] [CrossRef]
- Seth, R.K.; Khan, Z.; Rao, D.K.; Zarin, M. Appraisal of sperm dynamics as a crucial trait of radio-sterilized Spodoptera litura (Lepidoptera: Noctuidae) and its F1 progeny for evaluation of the ‘Inherited Sterility technique’ for pest suppression. Fla. Entomol. 2016, 99, 105–118. [Google Scholar] [CrossRef]
- Seth, R.K.; Khan, Z.; Rao, D.K.; Zarin, M. Flight activity and mating behavior of irradiated Spodoptera litura (Lepidoptera: Noctuidae) males and their F1 progeny for use of Inherited Sterility in pest management approaches. Fla. Entomol. 2016, 99, 119–130. [Google Scholar] [CrossRef]
- Seth, R.K.; Sharma, V.P. Effect of substerilising ionizing radiation on life tables and intrinsic rate of increase of F-1 progeny of Spodoptera litura (Lepidoptera: Noctuidae). Uttar Pradesh J. Zool. 1999, 27, 121–130. [Google Scholar]
- Raulston, J.R. B-vitamin supplements required for soy flour-wheat germ diet used in rearing tobacco budworms. Ann. Entomol. Soc. Am. 1975, 68, 387–388. [Google Scholar] [CrossRef]
- Sambrook, J.; Russell, D.W. Purification of nucleic acids by extraction with phenol: Chloroform. Cold Spring Harb. Protoc. 2006, 2006, pdb-prot4455. [Google Scholar]
- Livak, K.J.; Schmittgen, T.D. Analysis of relative gene expression data using real-time quantitative PCR and the 2− ΔΔCT method. Methods 2001, 25, 402–408. [Google Scholar] [CrossRef] [PubMed]
- Kaplan, E.L.; Meier, P. Nonparametric estimation from incomplete observations. J. Am. Stat. Assoc. 1958, 53, 457–481. [Google Scholar] [CrossRef]
- Klassen, W.; Curtis, C.F.; Hendrichs, J. History of the sterile insect technique. In Sterile Insect Technique; CRC Press: Boca Raton, FL, USA, 2021; pp. 1–44. [Google Scholar]
- Zhao, Y.; Wang, Q.; Ding, J.; Wang, Y.; Zhang, Z.; Liu, F.; Mu, W. Sublethal effects of chlorfenapyr on the life table parameters, nutritional physiology and enzymatic properties of Bradysia odoriphaga (Diptera: Sciaridae). Pestic. Biochem. Phys. 2018, 148, 93–102. [Google Scholar] [CrossRef] [PubMed]
- Nascarella, M.A.; Stoffolano, J.G., Jr.; Stanek III, E.J.; Kostecki, P.T.; Calabrese, E.J. Hormesis and stage specific toxicity induced by cadmium in an insect model, the queen blowfly, Phormia regina (Meig.). Environ. Pollut. 2003, 124, 257–262. [Google Scholar] [CrossRef]
- Leite, G.L.; de Paulo, P.D.; Zanuncio, J.C.; Tavares, W.D.S.; Alvarenga, A.C.; Dourado, L.R.; Bispo, E.P.R.; Soares, M.A. Nicosulfuron plus atrazine herbicides and Trichogrammatidae (Hymenoptera) in no-choice test: Selectivity and hormesis. Bull. Environ. Contam. Toxicol. 2017, 99, 589–594. [Google Scholar] [CrossRef]
- Rabelo, M.M.; Matos, J.M.L.; Santos-Amaya, O.F.; França, J.C.; Gonçalves, J.; Paula-Moraes, S.V.; Guedes, R.N.; Pereira, E.J.G. Bt-toxin susceptibility and hormesis-like response in the invasive southern armyworm (Spodoptera eridania). Crop Prot. 2020, 132, 105129. [Google Scholar] [CrossRef]
- Vimal, N.; Angmo, N.; Sengupta, M.; Seth, R.K. Assessing the radiation hormesis on the reproductive behaviour of male Spodoptera litura (F.) treated with low dose ionizing radiation in the pre-imaginal stages. Indian J. Entomol. 2022, 1–6. [Google Scholar] [CrossRef]
- Zhikrevetskaya, S.; Peregudova, D.; Danilov, A.; Plyusnina, E.; Krasnov, G.; Dmitriev, A.; Moskalev, A. Effect of low doses (5–40 cGy) of gamma-irradiation on lifespan and stress-related genes expression profile in Drosophila melanogaster. PLoS ONE 2015, 10, e0133840. [Google Scholar] [CrossRef]
- White, L.D.; Hutt, R.B. Effects of gamma irradiation on longevity and oviposition of the codling moth. J. Econ. Entomol. 1970, 63, 866–869. [Google Scholar] [CrossRef] [PubMed]
- Lamb, M.J. The effects of radiation on the longevity of female Drosophila subobscura. J. Insect Physiol. 1964, 10, 487–497. [Google Scholar] [CrossRef]
- Henry, Y.; Renault, D.; Colinet, H. Hormesis-like effect of mild larval crowding on thermotolerance in Drosophila flies. J. Exp. Biol. 2018, 221, jeb169342. [Google Scholar] [CrossRef] [PubMed]
- Shaw, B.; Brain, P.; Wijnen, H.; Fountain, M.T. Implications of sub-lethal rates of insecticides and daily time of application on Drosophila suzukii lifecycle. Crop Prot. 2019, 121, 182–194. [Google Scholar] [CrossRef]
- Yu, Y.; Shen, G.; Zhu, H.; Lu, Y. Imidacloprid-induced hormesis on the fecundity and juvenile hormone levels of the green peach aphid Myzus persicae (Sulzer). Pestic. Biochem. Phys. 2010, 98, 238–242. [Google Scholar] [CrossRef]
- Rozman, K.K.; Doull, J. Scientific foundations of hormesis. Part 2. Maturation, strengths, limitations, and possible applications in toxicology, pharmacology, and epidemiology. Crit. Rev. Toxicol. 2003, 33, 451–462. [Google Scholar] [CrossRef] [PubMed]
- Min, K.T.; Benzer, S. Spongecake and eggroll: Two hereditary diseases in Drosophila resemble patterns of human brain degeneration. Curr. Biol. 1997, 7, 885–888. [Google Scholar] [CrossRef]
- Liu, Y.; Liu, H.; Liu, S.; Wang, S.; Jiang, R.J.; Li, S. Hormonal and nutritional regulation of insect fat body development and function. Arch. Insect Biochem. Physiol. 2009, 71, 16–30. [Google Scholar] [CrossRef] [PubMed]
- Hoffmann, J.; Romey, R.; Fink, C.; Yong, L.; Roeder, T. Overexpression of Sir2 in the adult fat body is sufficient to extend lifespan of male and female Drosophila. Aging 2013, 5, 315. [Google Scholar] [CrossRef] [PubMed]
- Arden, K.C. FOXO animal models reveal a variety of diverse roles for FOXO transcription factors. Oncogene 2008, 27, 2345–2350. [Google Scholar] [CrossRef]
- Chen, A.T.Y.; Guo, C.; Itani, O.A.; Budaitis, B.G.; Williams, T.W.; Hopkins, C.E.; McEachin, R.C.; Pande, M.; Grant, A.R.; Yoshina, S.; et al. Longevity genes revealed by integrative analysis of isoform-specific daf-16/FoxO mutants of Caenorhabditis elegans. Genetics 2015, 201, 613–629. [Google Scholar] [CrossRef] [PubMed]
- Giannakou, M.E.; Goss, M.; Junger, M.A.; Hafen, E.; Leevers, S.J.; Partridge, L. Long-lived Drosophila with overexpressed dFOXO in adult fat body. Science 2004, 305, 361. [Google Scholar] [CrossRef]
- Hwangbo, D.S.; Gersham, B.; Tu, M.P.; Palmer, M.; Tatar, M. Drosophila dFOXO controls lifespan and regulates insulin signalling in brain and fat body. Nature 2004, 429, 562–566. [Google Scholar] [CrossRef]
- Kataoka, T. Study of antioxidative effects and anti-inflammatory effects in mice due to low-dose X-irradiation or radon inhalation. J. Radiat. Res. 2013, 54, 587–596. [Google Scholar] [CrossRef] [PubMed]
- Sharma, S.; Singla, N.; Chadha, V.D.; Dhawan, D.K. A concept of radiation hormesis: Stimulation of antioxidant machinery in rats by low dose ionizing radiation. Hell. J. Nucl. Med. 2019, 22, 43–48. [Google Scholar] [PubMed]
- Shiloh, Y. ATM and ATR: Networking cellular responses to DNA damage. Curr. Opin. Genet. Dev. 2001, 11, 71–77. [Google Scholar] [CrossRef]
- Yajima, H.; Lee, K.J.; Zhang, S.; Kobayashi, J.; Chen, B.P. DNA double-strand break formation upon UV-induced replication stress activates ATM and DNA-PKcs kinases. J. Mol. Biol. 2009, 385, 800–810. [Google Scholar] [CrossRef] [PubMed]
- Guo, Z.; Kozlov, S.; Lavin, M.F.; Person, M.D.; Paull, T.T. ATM activation by oxidative stress. Science 2010, 330, 517–521. [Google Scholar] [CrossRef] [PubMed]
- Alvarez, V.E.; Kosec, G.; Sant’Anna, C.; Turk, V.; Cazzulo, J.J.; Turk, B. Autophagy is involved in nutritional stress response and differentiation in Trypanosoma cruzi. J. Biol. Chem. 2008, 283, 3454–3464. [Google Scholar] [CrossRef] [PubMed]
- Kang, C.; Avery, L. Systemic regulation of starvation response in Caenorhabditis elegans. Genes Dev. 2009, 23, 12–17. [Google Scholar] [CrossRef] [PubMed]
- Levine, B.; Yuan, J. Autophagy in cell death: An innocent convict? J. Clin. Investing. 2005, 115, 2679–2688. [Google Scholar] [CrossRef] [PubMed]
- Xie, Z.; Klionsky, D.J. Autophagosome formation: Core machinery and adaptations. Nat. Cell Biol. 2007, 9, 1102–1109. [Google Scholar] [CrossRef] [PubMed]
- Salminen, A.; Kaarniranta, K. Regulation of the aging process by autophagy. Trends Mol. Med. 2009, 15, 217–224. [Google Scholar] [CrossRef] [PubMed]
- Shpilka, T.; Weidberg, H.; Pietrokovski, S.; Elazar, Z. Atg8: An autophagy-related ubiquitin-like protein family. Genome Biol. 2011, 12, 1–11. [Google Scholar] [CrossRef] [PubMed]
- Kroemer, G.; Mariño, G.; Levine, B. Autophagy and the integrated stress response. Mol. Cell 2010, 40, 280–293. [Google Scholar] [CrossRef] [PubMed]
- Kim, H.; Bernard, M.E.; Flickinger, J., Jr.; Epperly, M.W.; Wang, H.; Dixon, T.M.; Shields, D.; Houghton, F.; Zhang, X.; Greenberger, J.S. The autophagy-inducing drug carbamazepine is a radiation protector and mitigator. Int. J. Radiat. Biol. 2011, 87, 1052–1060. [Google Scholar] [CrossRef] [PubMed]
- Chargui, A.; Zekri, S.; Jacquillet, G.; Rubera, I.; Ilie, M.; Belaid, A.; Duranton, C.; Tauc, M.; Hofman, P.; Poujeol, P.; et al. Cadmium-induced autophagy in rat kidney: An early biomarker of subtoxic exposure. Toxicol. Sci. 2011, 121, 31–42. [Google Scholar] [CrossRef]
- López-Martínez, G.; Carpenter, J.E.; Hight, S.D.; Hahn, D.A. Low-oxygen hormetic conditioning improves field performance of sterile insects by inducing beneficial plasticity. Evol. Appl. 2021, 14, 566–576. [Google Scholar] [CrossRef] [PubMed]
- López-Martínez, G.; Meagher, R.L.; Jeffers, L.A.; Bailey, W.D.; Hahn, D.A. Low oxygen atmosphere enhances post-irradiation survival of Trichoplusia ni (Lepidoptera: Noctuidae). Fla. Entomol. 2016, 99, 24–33. [Google Scholar]
- Cutler, G.C.; Amichot, M.; Benelli, G.; Guedes, R.N.C.; Qu, Y.; Rix, R.R.; Ullah, F.; Desneux, N. Hormesis and insects: Effects and interactions in agroecosystems. Sci. Total Environ. 2022, 825, 153899. [Google Scholar] [CrossRef]





| S. No. | Gene | Primer Sequences | Accession No. |
|---|---|---|---|
| 1 | EF1 α | F 5′-GACAAACGTACCCATCGAGAAG-3′ R 5′-GATACCAGCCTCGAACTCAC-3′ | XM_022965580.1 |
| 2 | foxo | F 5′-TGGTGGATGATCAATCCTGATG-3′ R 5′-CCTTCTTCTTTACTCTGCCTCTT-3′ | XM_022969964.1 |
| 3 | sirtuin 2 like/sirt1 | F 5′-GCTCATCATCATGGGTTCCT-3′ R 5′-CCTGCCTTCTCACGGTTTAT-3′ | XM_022962252.1 |
| 4 | atm | F 5′-CCCTCACCACACATTACCTATC-3′ R 5′-CCCGCTCGCGTTCATTATTA-3′ | XM_022978157.1 |
| 5 | atg8 | F 5′-GGAGTGCGCAATACCTCAA-3′ R 5′-CGGAACACGATCAGGATACTTC-3′ | JX183217.1 |
| 6 | sod | F 5′-GCCAACCTAGTTAGCATGTAAGA-3′ R 5′-ATGTGCCCTGCACCAATAA-3′ | XM_022972232.1 |
| 7 | cat | F 5′-TGAGACCAGAAACCACACATC-3′ R 5′-GTGCCACTCCTTGAGCATTA-3′ | JQ663444.1 |
| 8 | p53 | F 5′-AGTCTAGCGACACCTCTAAGT-3′ R 5′-GTTCTCCTTCCCTTCCTGATTAC-3′ | XM_022971404.1 |
| (a) | |||||||
| Control | 0.25 Gy | 0.5 Gy | 0.75 Gy | 1 Gy | 1.25 Gy | F Value | |
| Pupal Weight (g) | 0.273 ± 0.004 a | 0.267 ± 0.003 a | 0.265 ± 0.002 a | 0.287 ± 0.003 b | 0.298 ± 0.003 c | 0.262 ± 0.003 a | 16.99 (5, 54) |
| Pupation (%) | 88.6 ± 2.24 ab | 83.2 ± 3.46 a | 85.2 ± 3.85 ab | 88.4 ± 2.71 ab | 92.5 ± 1.91 b | 83.5 ± 4.98 a | 10.08 (5, 54) |
| Adult Emergence (%) | 81.9 ±2.90 ab | 75.3 ± 2.11 a | 77.5 ± 4.75 a | 88.5 ± 3.08 bc | 91.2 ± 1.90 c | 79.4 ± 2.70 a | 9.17 (5, 54) |
| Development Period(Egg-Adult) (days) | 27.3 ± 0.07 a | 27.3 ± 0.06 a | 27.5 ± 0.08 a | 27.4 ± 0.07 a | 26.8 ± 0.06 b | 26.7 ± 0.09 b | 12.03 (5, 54) |
| Growth Index | 2.96 ± 0.11 ab | 2.74 ± 0.13 a | 2.81 ± 0.11 a | 3.21 ± 0.14 bc | 3.38 ± 0.16 c | 2.87 ± 0.12 a | 7.76 (5, 54) |
| (b) | |||||||
| Control | 0.25 Gy | 0.5 Gy | 0.75 Gy | 1 Gy | 1.25 Gy | F Value | |
| Pupal Weight (g) | 0.275 ± 0.003 a | 0.27 ± 0.003 a | 0.265 ± 0.003 a | 0.26 ± 0.003 a | 0.272 ± 0.003 a | 0.275 ± 0.003 a | 7.42 (5,54) |
| Pupation (%) | 88.2 ± 2.95 ab | 85.7 ± 2.35 a | 87.5 ± 1.75 a | 88.51 ± 1.95 ab | 92.8 ± 1.91 b | 84.50 ± 2.34 a | 6.33 (5,54) |
| Adult Emergence (%) | 82.7 ±2.8 ab | 79.5 ± 2.2 a | 82.3 ± 1.7 ab | 84.9 ± 2.1 ab | 88.9 ± 2.7 b | 78 ± 2.6 a | 3.82 (5,54) |
| Development Period(L3-Adult) (days) | 12.9 ± 0.07 a | 13.0 ± 0.06 ab | 13.1 ± 0.07 b | 12.4 ± 0.06 a | 12.8 ± 0.06 a | 13.0 ± 0.07 ab | 2.29 (5,54) |
| Growth Index | 6.33 ± 0.24 ab | 6.11 ± 0.25 a | 6.28 ± 0.27 ab | 6.5 ± 0.26 ab | 7.01 ± 0.22 b | 6.01 ± 0.23 a | 4.29 (5,54) |
| (c) | |||||||
| Control | 0.25 Gy | 0.5 Gy | 0.75 Gy | 1 Gy | 1.25 Gy | F Value | |
| Adult Emergence (%) | 83.5 ±1.9 a | 81.7 ± 2.2 a | 82.9 ± 1.8 a | 79.5 ± 1.5 a | 84.5 ± 1.9 a | 79.7 ± 2.2 a | 0.76 (5, 54) |
| Development Period(Pupa-Adult) (days) | 7.4 ± 0.05 a | 7.5 ± 0.07 a | 7.4 ± 0.07 a | 7.4 ± 0.06 a | 7.4 ± 0.06 a | 7.4 ± 0.06 a | 0.62 (5,54) |
| Growth Index | 11.24 ± 0.33 a | 10.8 ± 0.42 a | 11.10 ± 0.40 a | 10.71 ± 0.32 a | 11.39 ± 0.34 a | 11.05 ± 0.49 a | 0.90 (5,54) |
| Control | 0.25 Gy | 0.5 Gy | 0.75 Gy | 1 Gy | 1.25 Gy | F Value | |
|---|---|---|---|---|---|---|---|
| LDIR administered to Egg | |||||||
| Virgin Male | 7.9 ± 0.16 a | 8.1 ± 0.14 a | 8.3 ± 0.13 a | 9.2 ± 0.19 b | 9.7 ± 0.21 b | 8.1 ± 0.13 a | 20.45 (5, 54) |
| Virgin Female | 8.1 ± 0.15 a | 8.3 ± 0.17 a | 8.4 ± 0.12 a | 9.1 ± 0.13 b | 9.7 ± 0.16 c | 8.3 ± 0.16 a | 16.89 (5,54) |
| Mated Male | 7.7 ± 0.16 a | 7.9 ± 0.17 a | 7.9 ± 0.13 a | 8.6 ± 0.28 b | 9.1 ± 0.25 b | 7.9 ± 0.17 a | 6.84 (5, 54) |
| Mated Female | 8.1 ± 0.15 a | 8.2 ± 0.16 a | 8.4 ± 0.22 a | 9.0 ± 0.21 b | 9.4 ± 0.21 b | 8.3 ± 0.16 a | 8.07 (5, 54) |
| LDIR administered to Larva | |||||||
| Virgin Male | 7.7 ± 0.14 a | 8.1 ± 0.15 a | 8.0 ± 0.17 a | 8.2 ± 0.14 a | 9.6 ± 0.18 b | 8.1 ± 0.15 a | 17.24 (5, 54) |
| Virgin Female | 8.7 ± 0.16 ab | 8.7 ± 0.15 ab | 9.1 ± 0.17 ab | 9.2 ± 0.19 b | 10.7 ± 0.22 c | 8.6 ± 0.18 a | 18.31 (5, 54) |
| Mated Male | 7.7 ± 0.17 a | 8.1 ± 0.22 a | 8.2 ± 0.21 a | 8.6 ± 0.21 b | 9.6 ± 0.25 c | 7.9 ± 0.18 a | 9.62 (5, 54) |
| Mated Female | 8.2 ± 0.14 a | 8.4 ± 0.15 a | 8.5 ± 0.17 a | 8.7 ± 0.16 a | 10.2 ± 0.27 b | 8.4 ± 0.17 a | 16.03 (5, 54) |
| LDIR administered to Pupa | |||||||
| Virgin Male | 8.0 ± 0.12 a | 8.1 ± 0.15 a | 7.9 ± 0.15 a | 8.2 ± 0.15 a | 9.0 ± 0.17 b | 7.8 ± 0.16 a | 7.32 (5, 54) |
| Virgin Female | 8.5 ± 0.14 a | 8.6 ± 0.14 a | 8.6 ± 0.15 a | 8.6 ± 0.15 a | 9.5 ± 0.172 b | 8.3 ± 0.12 a | 8.87 (5, 54) |
| Mated Male | 7.5 ± 0.13 a | 7.4 ± 0.13 a | 7.4 ± 0.16 a | 7.7 ± 0.18 a | 8.6 ± 0.19 b | 7.5 ± 0.14 a | 8.78 (5, 54) |
| Mated Female | 7.9 ± 0.15 a | 8.0 ± 0.16 a | 8.0 ± 0.17 a | 8.2 ± 0.17 a | 8.9 ± 0.17 b | 7.8 ± 0.19 a | 6.02 (5, 54) |
Publisher’s Note: MDPI stays neutral with regard to jurisdictional claims in published maps and institutional affiliations. |
© 2022 by the authors. Licensee MDPI, Basel, Switzerland. This article is an open access article distributed under the terms and conditions of the Creative Commons Attribution (CC BY) license (https://creativecommons.org/licenses/by/4.0/).
Share and Cite
Vimal, N.; Angmo, N.; Sengupta, M.; Seth, R.K. Radiation Hormesis to Improve the Quality of Adult Spodoptera litura (Fabr.). Insects 2022, 13, 933. https://doi.org/10.3390/insects13100933
Vimal N, Angmo N, Sengupta M, Seth RK. Radiation Hormesis to Improve the Quality of Adult Spodoptera litura (Fabr.). Insects. 2022; 13(10):933. https://doi.org/10.3390/insects13100933
Chicago/Turabian StyleVimal, Neha, Nilza Angmo, Madhumita Sengupta, and Rakesh Kumar Seth. 2022. "Radiation Hormesis to Improve the Quality of Adult Spodoptera litura (Fabr.)" Insects 13, no. 10: 933. https://doi.org/10.3390/insects13100933
APA StyleVimal, N., Angmo, N., Sengupta, M., & Seth, R. K. (2022). Radiation Hormesis to Improve the Quality of Adult Spodoptera litura (Fabr.). Insects, 13(10), 933. https://doi.org/10.3390/insects13100933
