RNA Sequencing Reveals the Potential Adaptation Mechanism to Different Hosts of Grapholita molesta
Abstract
Simple Summary
Abstract
1. Introduction
2. Materials and Methods
2.1. Insect Culture and Host Category
2.2. Growth and Development Parameters of Feeding on Different Hosts
2.3. Midgut Protease Activity of Larvae Fed on Different Hosts
2.4. Sample Collection and RNA Extraction
2.5. Library Preparation and Sequencing
2.6. Quality Control and Normalization
2.7. Transcriptome Sequence Mapping to the Reference Genome
2.8. Quantification of Gene Expression Levels
2.9. Differentially Expressed Genes (DEG)
2.10. GO and KEGG Pathway Enrichment Analysis
2.11. WGCNA
2.12. Quantitative Real-Time PCR (qRT-PCR)
2.13. Statistical
3. Results
3.1. Effects of Different Hosts on Growth and Development
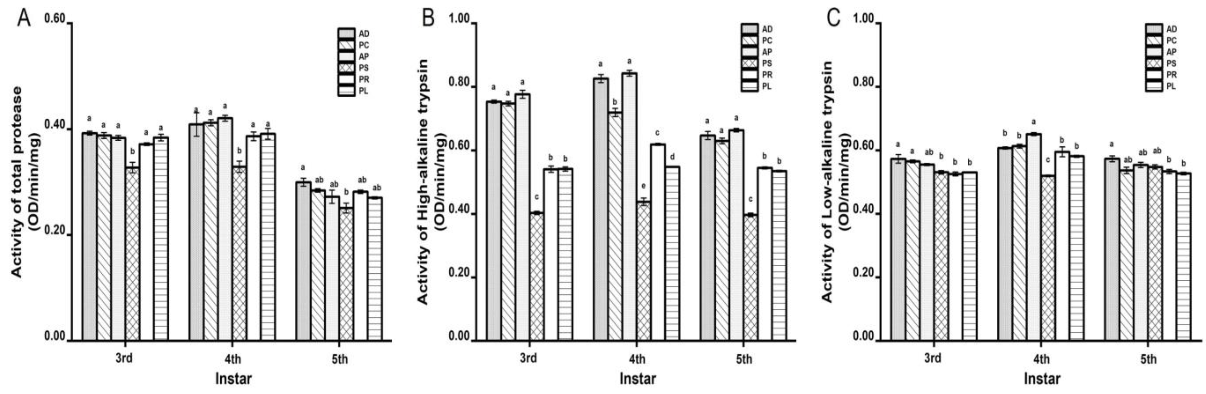
3.2. Effects of Different Hosts on Protease Activity in Larval Midgut
3.3. Summary Transcriptome Sequencing Data
3.4. Map and Annotation Analysis
3.5. Analysis of Gene Expression Levels
3.6. Differentially Expressed Gene (DEG) Analysis
3.7. GO and KEGG Pathway Enrichment Analyses
3.8. Gene Co-Expression Network Interactions
3.9. Quantitative Real-Time PCR (qRT-PCR) Analyses
4. Discussion
5. Conclusions
Supplementary Materials
Author Contributions
Funding
Institutional Review Board Statement
Data Availability Statement
Acknowledgments
Conflicts of Interest
References
- Du, J.; Li, G.; Xu, X.; Wu, J. Development and fecundity performance of oriental fruit moth (Lepidoptera: Tortricidae) reared on Shoots and fruits of peach and pear in different seasons. Environ. Entomol. 2015, 44, 1522–1530. [Google Scholar] [CrossRef]
- Chen, L.H.; Tian, K.; Wang, G.R.; Xu, X.L.; He, K.H.; Liu, W.; Wu, J.X. The general odorant receptor GmolOR9 from Grapholita molesta (Lepidoptera: Tortricidae) is mainly tuned to eight host-plant volatiles. Insect Sci. 2020, 27, 1233–1243. [Google Scholar] [CrossRef]
- Chen, L.; Tian, K.; Xu, X.; Fang, A.; Cheng, W.; Wang, G.; Liu, W.; Wu, J. Detecting host-plant volatiles with odorant receptors from Grapholita molesta (Busck) (Lepidoptera: Tortricidae). J. Agric. Food Chem. 2020, 68, 2711–2717. [Google Scholar] [CrossRef]
- Wei, H.; Tan, S.; Li, Z.; Li, J.; Moural, T.W.; Zhu, F.; Liu, X. Odorant degrading carboxylesterases modulate foraging and mating behaviors of Grapholita molesta. Chemosphere 2021, 270, 128647. [Google Scholar] [CrossRef]
- Wei, H.; Tan, S.; Yan, S.; Li, Z.; Shen, J.; Liu, X. Nanocarrier-mediated transdermal dsRNA-NPF1 delivery system contributes to pest control via inhibiting feeding behavior in Grapholita molesta. J. Pest Sci. 2022, 95, 983–995. [Google Scholar] [CrossRef]
- Xu, D.; Yang, H.; Zhuo, Z.; Lu, B.; Hu, J.; Yang, F. Characterization and analysis of the transcriptome in Opisina arenosella from different developmental stages using single-molecule real-time transcript sequencing and RNA-seq. Int. J. Biol. Macromol. 2021, 169, 216–227. [Google Scholar] [CrossRef]
- Chen, H.; Lin, L.; Ali, F.; Xie, M.; Zhang, G.; Su, W. Using next-generation sequencing to detect differential expression genes in Bradysia odoriphaga after exposure to insecticides. Int. J. Mol. Sci. 2017, 18, 2445. [Google Scholar] [CrossRef]
- Hou, Q.L.; Chen, E.H. RNA-seq analysis of gene expression changes in cuticles during the larval-pupal metamorphosis of Plutella xylostella. Comp. Biochem. Physiol. Part D Genom. Proteom. 2021, 39, 100869. [Google Scholar] [CrossRef]
- Lin, H.; Xia, X.; Yu, L.; Vasseur, L.; Gurr, G.M.; Yao, F.; Yang, G.; You, M. Genome-wide identification and expression profiling of serine proteases and homologs in the diamondback moth, Plutella xylostella (L.). BMC Genom. 2015, 16, 1054. [Google Scholar] [CrossRef]
- Lei, Y.; Zhu, X.; Xie, W.; Wu, Q.; Wang, S.; Guo, Z.; Xu, B.; Li, X.; Zhou, X.; Zhang, Y. Midgut transcriptome response to a Cry toxin in the diamondback moth, Plutella xylostella (Lepidoptera: Plutellidae). Gene 2014, 533, 180–187. [Google Scholar] [CrossRef]
- Gu, J.; Huang, L.X.; Gong, Y.J.; Zheng, S.C.; Liu, L.; Huang, L.H.; Feng, Q.L. De novo characterization of transcriptome and gene expression dynamics inepidermis during the larval-pupal metamorphosis ofcommon cutworm. Insect Biochem. Mol. Biol. 2013, 43, 794–808. [Google Scholar] [CrossRef]
- Ou, J.; Deng, H.M.; Zheng, S.C.; Huang, L.H.; Feng, Q.L.; Liu, L. Transcriptomic analysis of developmental features of Bombyx mori wing disc during metamorphosis. BMC Genom. 2014, 15, 820. [Google Scholar] [CrossRef]
- de la Paz Celorio-Mancera, M.; Heckel, D.G.; Vogel, H. Transcriptional analysis of physiological pathways in a generalist herbivore: Responses to different host plants and plant structures by the cotton bollworm, Helicoverpa armigera. Entomol. Exp. Appl. 2012, 144, 123–133. [Google Scholar] [CrossRef]
- Han, G.; Liu, Q.; Li, C.; Xu, B.; Xu, J. Transcriptome sequencing reveals Cnaphalocrocis medinalis against baculovirus infection by oxidative stress. Mol. Immunol. 2021, 129, 63–69. [Google Scholar] [CrossRef]
- Li, H.; Jiang, W.; Zhang, Z.; Xing, Y.; Li, F. Transcriptome Analysis and Screening for Potential Target Genes for RNAi-Mediated Pest Control of the Beet Armyworm, Spodoptera exigua. PLoS ONE 2013, 8, e65931. [Google Scholar] [CrossRef]
- Zhang, X.; Zheng, Y.; Jagadeeswaran, G.; Ren, R.; Sunkar, R.; Jiang, H. Identification and developmental profiling of conserved and novel microRNAs in Manduca sexta. Insect Biochem Mol Biol. 2012, 42, 381–395. [Google Scholar] [CrossRef]
- Bajda, S.; Dermauw, W.; Greenhalgh, R.; Nauen, R.; Tirry, L.; Clark, R.M.; van Leeuwen, T. Transcriptome profiling of a spirodiclofen susceptible and resistant strain of the European red mite Panonychus ulmi using strand-specific RNA-seq. BMC Genom. 2015, 16, 974. [Google Scholar] [CrossRef]
- Mamidala, P.; Wijeratne, A.J.; Wijeratne, S.; Kornacker, K.; Sudhamalla, B.; Rivera-Vega, L.J.; Hoelmer, A.; Meulia, T.; Jones, S.C.; Mittapalli, O. RNA-Seq and molecular docking reveal multi-level pesticide resistance in the bed bug. BMC Genom. 2012, 13, 6. [Google Scholar] [CrossRef]
- Liu, X.; Wu, D.; Zhang, Y.; Zhou, H.; Lai, T.; Ding, W. RNA-Seq Analysis Reveals Candidate Targets for Curcumin against Tetranychus cinnabarinus. Biomed. Res. Int. 2016, 2016, 2796260. [Google Scholar] [CrossRef]
- Tu, X.B.; Zhao, H.L.; Zhang, Z.H. Transcriptome approach to understand the potential mechanisms of resistant and susceptible alfalfa (Medicago sativa L.) cultivars in response to aphid feeding. J. Integr. Agric. 2018, 17, 2518–2527. [Google Scholar] [CrossRef]
- Li, G.; Du, J.; Li, Y.; Wu, J. Identification of putative olfactory genes from the oriental fruit moth Grapholita molesta via an antennal transcriptome analysis. PLoS ONE 2015, 10, e0142193. [Google Scholar] [CrossRef][Green Version]
- Wang, X.; Li, Y.; Zhang, J.; Zhang, Q.; Liu, X.; Li, Z. De novo characterization of microRNAs in oriental fruit moth Grapholita molesta and selection of reference genes for normalization of microRNA expression. PLoS ONE 2017, 12, e0171120. [Google Scholar] [CrossRef][Green Version]
- Guo, Y.; Chai, Y.; Zhang, L.; Zhao, Z.; Gao, L.L.; Ma, R. Transcriptome analysis and identification of major detoxification gene families and insecticide targets in Grapholita molesta (Busck) (Lepidoptera: Tortricidae). J. Insect Sci. 2017, 17, 43. [Google Scholar] [CrossRef]
- Jung, C.R.; Kim, Y. Comparative transcriptome analysis of sex pheromone glands of two sympatric lepidopteran congener species. Genomics 2014, 103, 308–315. [Google Scholar] [CrossRef]
- Najar-Rodriguez, A.; Bellutti, N.; Dorn, S. Larval performance of the oriental fruit moth across fruits from primary and secondary hosts. Physiol. Entomol. 2013, 38, 63–70. [Google Scholar] [CrossRef]
- Myers, C.T.; Hull, L.A.; Krawczyk, G. Effects of orchard host plants (apple and peach) on development of oriental fruit moth (Lepidoptera: Tortricidae). J. Econ. Entomol. 2007, 100, 421–430. [Google Scholar] [CrossRef]
- Yuan, X.; Zhang, X.; Liu, X.; Dong, Y.; Yan, Z.; Lv, D.; Wang, P.; Li, Y. Comparison of gut bacterial communities of Grapholita molesta (Lepidoptera: Tortricidae) reared on different host plants. Int. J. Mol. Sci. 2021, 22, 6843. [Google Scholar] [CrossRef]
- Su, S.; Wang, X.; Jian, C.; Ignatus, A.D.; Zhang, X.; Peng, X.; Chen, M. Life-history traits and flight capacity of Grapholita molesta (Lepidoptera: Tortricidae) using artificial diets with varying sugar content. J. Econ. Entomol. 2021, 114, 112–121. [Google Scholar] [CrossRef]
- He, L.M.; Wang, T.L.; Chen, Y.C.; Ge, S.S.; Wyckhuys, K.A.G.; Wu, K.M. Larval diet affects development and reproduction of East Asian strain of the fall armyworm, Spodoptera frugiperda. J. Integr. Agric. 2021, 20, 736–744. [Google Scholar] [CrossRef]
- He, L.M.; Wu, Q.L.; Gao, X.W.; Wu, K.M. Population life tables for the invasive fall armyworm, Spodoptera frugiperda fed on major oil crops planted in China. J. Integr. Agric. 2021, 20, 745–754. [Google Scholar] [CrossRef]
- Wu, L.H.; Zhou, C.; Long, G.Y.; Yang, X.B.; Wei, Z.Y.; Liao, Y.J.; Yang, H.; Hu, C.X. Adaptability of fall armyworm, Spodoptera frugiperda to three solanaceous vegetables. J. Integr. Agric. 2021, 20, 755–763. [Google Scholar] [CrossRef]
- Zhao, A.; Yuan, X.; Hu, D.; Leng, C.; Li, Y.; Wang, P.; Li, Y. The effect of host plant on the development and larval midgut protease activity of Plutella xylostella (Lepidoptera: Plutellidae). Phytoparasitica 2019, 47, 475–483. [Google Scholar] [CrossRef]
- Lv, D.; Liu, X.; Dong, Y.; Yan, Z.; Zhang, X.; Ren, J. Larval midgut protease activity of Illiberis pruni (Lepidoptera: Zygaenidae) feeding on multiple characteristic hosts. Phytoparasitica 2022, 50, 1033–1042. [Google Scholar] [CrossRef]
- Zhao, A.; Li, Y.; Leng, C.; Wang, P.; Li, Y. Inhibitory effect of protease inhibitors on larval midgut protease activities and the performance of Plutella xylostella (Lepidoptera: Plutellidae). Front. Physiol. 2019, 10, 01963. [Google Scholar] [CrossRef]
- Mortazavi, A.; Williams, B.A.; McCue, K.; Schaeffer, L.; Wold, B. Mapping and quantifying mammalian transcriptomes by RNA-seq. Nat. Methods 2008, 5, 621–628. [Google Scholar] [CrossRef]
- Liao, Y.; Smyth, G.K.; Shi, W. FeatureCounts: An efficient general purpose program for assigning sequence reads to genomic features. Bioinformatics 2014, 30, 923–930. [Google Scholar] [CrossRef]
- Bray, N.L.; Pimentel, H.; Melsted, P.; Pachter, L. Near-optimal probabilistic RNA-seq quantification. Nat. Biotechnol. 2016, 34, 525–527. [Google Scholar] [CrossRef]
- Trapnell, C.; Williams, B.A.; Pertea, G.; Mortazavi, A.; Kwan, G.; Van Baren, M.J.; Salzberg, S.L.; Wold, B.J.; Pachter, L. Transcript assembly and quantification by RNA-Seq reveals unannotated transcripts and isoform switching during cell differentiation. Nat. Biotechnol. 2010, 28, 511–515. [Google Scholar] [CrossRef]
- Robinson, M.D.; McCarthy, D.J.; Smyth, G.K. edgeR: A Bioconductor package for differential expression analysis of digital gene expression data. Bioinformatics 2009, 26, 139–140. [Google Scholar] [CrossRef]
- Anders, S.; Huber, W. Differential expression analysis for sequence count data. Genome Biol. 2010, 11, R106. [Google Scholar] [CrossRef]
- Love, M.I.; Huber, W.; Anders, S. Moderated estimation of fold change and dispersion for RNA-seq data with DESeq2. Genome Biol. 2014, 15, 550. [Google Scholar] [CrossRef]
- Young, M.D.; Wakefield, M.J.; Smyth, G.K.; Oshlack, A. Gene ontology analysis for RNA-seq: Accounting for selection bias. Genome Biol. 2010, 11, R14. [Google Scholar] [CrossRef]
- Myers, C.T.; Hull, L.A.; Krawczyk, G. Early-season host plant fruit impacts on reproductive parameters of the oriental fruit moth (Lepidoptera: Tortricidae). J. Entomol. Sci. 2006, 41, 65–74. [Google Scholar] [CrossRef]
- Lei, X.; Li, D.; Li, Z.; Zalom, F.G.; Gao, L.; Shen, Z. Effect of host plants on developmental time and life table parameters of Carposina sasakii (Lepidoptera: Carposinidae) under laboratory conditions. Environ. Entomol. 2012, 41, 349–354. [Google Scholar] [CrossRef]
- Myers, C.T.; Hull, L.A.; Krawczyk, G. Comparative survival rates of oriental fruit moth (Lepidoptera: Tortricidae) larvae on shoots and fruit of apple and peach. J. Econ. Entomol. 2006, 99, 1299–1309. [Google Scholar] [CrossRef]
- Kaufmann, C.; Reim, C.; Blanckenhorn, W.U. Size-dependent insect flight energetics at different sugar supplies. Biol. J. Linn. Soc. 2013, 108, 565–578. [Google Scholar] [CrossRef]
- Kumar, R.; Bhardwaj, U.; Kumar, P.; Mazumdar-Leighton, S. Midgut serine proteases and alternative host plant utilization in Pieris brassicae L. Front. Physiol. 2015, 6, 95. [Google Scholar] [CrossRef]
- Kumar, P.; Akhter, T.; Bhardwaj, P.; Kumar, R.; Bhardwaj, U.; Mazumdar-Leighton, S. Consequences of ‘no-choice, fixed time’ reciprocal host plant switches on nutrition and gut serine protease gene expression in Pieris brassicae L. (Lepidoptera: Pieridae). PLoS ONE 2021, 16, e0245649. [Google Scholar] [CrossRef]
- Huang, X.; Whitman, D.W.; Ma, J.; McNeill, M.R.; Zhang, Z. Diet alters performance and transcription patterns in Oedaleus asiaticus (Orthoptera: Acrididae) grasshoppers. PLoS ONE 2017, 12, e0186397. [Google Scholar] [CrossRef]
- Rivera-Vega, L.J.; Galbraith, D.A.; Grozinger, C.M.; Felton, G.W. Host plant driven transcriptome plasticity in the salivary glands of the cabbage looper (Trichoplusia ni). PLoS ONE 2017, 12, e0182636. [Google Scholar] [CrossRef]
- Cantón, P.E.; Bonning, B.C. Transcription and Activity of Digestive Enzymes of Nezara viridula Maintained on Different Plant Diets. Front. Physiol. 2020, 10, 1553. [Google Scholar] [CrossRef]









| Host | Larval | Pupa | Adult | Larva–Adult | Egg |
|---|---|---|---|---|---|
| AD | 15.11 ± 0.57 d | 7.57 ± 0.32 b | 13.56 ± 0.73 c | 36.24 ± 0.11 b | 3.60 ± 0.47 b |
| PC | 14.26 ± 0.20 f | 7.07 ± 0.44 cd | 15.05 ± 0.47 a | 36.38 ± 0.72 b | 3.13 ± 0.09 d |
| AP | 14.62 ± 0.24 e | 6.96 ± 0.25 d | 14.13 ± 0.54 b | 35.71 ± 0.72 c | 3.29 ± 0.32 c |
| PS | 16.42 ± 0.54 a | 8.04 ± 0.42 a | 13.08 ± 0.22 d | 37.55 ± 0.59 a | 3.79 ± 0.18 a |
| PR | 15.40 ± 0.38 c | 7.17 ± 0.35 c | 13.58 ± 0.15 c | 36.15 ± 0.55 b | 3.81 ± 0.27 a |
| PL | 15.81 ± 0.20 b | 7.71 ± 0.15 b | 14.05 ± 0.49 b | 37.56 ± 0.52 a | 3.77 ± 0.18 a |
| Host | Larva Survival Rate | Pupation Rate | Pupal Weight | Emergence Rate | Fecundity |
|---|---|---|---|---|---|
| AD | 45.10 ± 0.14 b | 94.50 ± 0.25 b | 9.95 ± 0.09 c | 88.00 ± 0.06 b | 70.20 ± 0.15 d |
| PC | 49.03 ± 0.18 a | 96.72 ± 0.93 a | 9.24 ± 0.45 d | 82.70 ± 0.17 d | 65.53 ± 0.38 e |
| AP | 47.53 ± 0.07 a | 96.20 ± 0.29 a | 9.81 ± 0.32 c | 92.55 ± 0.10 a | 85.33 ± 0.44 a |
| PS | 42.08 ± 0.11 d | 93.53 ± 0.43 d | 10.82 ± 0.19 a | 85.04 ± 0.38 c | 62.36 ± 0.32 f |
| PR | 44.09 ± 0.24 c | 93.81 ± 0.87 cd | 10.62 ± 0.44 ab | 83.00 ± 0.32 d | 73.10 ± 0.26 c |
| PL | 44.51 ± 0.11 bc | 94.27 ± 0.88 bc | 10.48 ± 0.93 b | 83.52 ± 0.07 d | 75.24 ± 0.14 b |
| Host | R0 | T | rm | λ | td |
|---|---|---|---|---|---|
| AD | 125.05 ± 0.05 b | 38.52 ± 0.29 d | 0.13 ± 0.02 a | 1.22 ± 0.01 ab | 5.95 ± 0.03 d |
| PC | 110.10 ± 0.26 c | 39.62 ± 0.23 c | 0.12 ± 0.01 b | 1.15 ± 0.01 d | 6.60 ± 0.01 c |
| AP | 135.03 ± 0.12 a | 38.83 ± 0.09 d | 0.13 ± 0.01 a | 1.23 ± 0.01 a | 5.90 ± 0.03 d |
| PS | 95.13 ± 0.03 f | 39.89 ± 0.20 bc | 0.12 ± 0.00 b | 1.18 ± 0.01 bcd | 6.85 ± 0.01 a |
| PR | 104.00 ± 0.28 e | 40.55 ± 0.21 a | 0.12 ± 0.01 b | 1.19 ± 0.01 bc | 6.66 ± 0.01 bc |
| PL | 106.32 ± 0.17 d | 40.20 ± 0.40 ab | 0.12 ± 0.01 b | 1.17 ± 0.01 cd | 6.71 ± 0.01 b |
Publisher’s Note: MDPI stays neutral with regard to jurisdictional claims in published maps and institutional affiliations. |
© 2022 by the authors. Licensee MDPI, Basel, Switzerland. This article is an open access article distributed under the terms and conditions of the Creative Commons Attribution (CC BY) license (https://creativecommons.org/licenses/by/4.0/).
Share and Cite
Lü, D.; Yan, Z.; Hu, D.; Zhao, A.; Wei, S.; Wang, P.; Yuan, X.; Li, Y. RNA Sequencing Reveals the Potential Adaptation Mechanism to Different Hosts of Grapholita molesta. Insects 2022, 13, 893. https://doi.org/10.3390/insects13100893
Lü D, Yan Z, Hu D, Zhao A, Wei S, Wang P, Yuan X, Li Y. RNA Sequencing Reveals the Potential Adaptation Mechanism to Different Hosts of Grapholita molesta. Insects. 2022; 13(10):893. https://doi.org/10.3390/insects13100893
Chicago/Turabian StyleLü, Dongbiao, Zizheng Yan, Di Hu, Aiping Zhao, Shujun Wei, Ping Wang, Xiangqun Yuan, and Yiping Li. 2022. "RNA Sequencing Reveals the Potential Adaptation Mechanism to Different Hosts of Grapholita molesta" Insects 13, no. 10: 893. https://doi.org/10.3390/insects13100893
APA StyleLü, D., Yan, Z., Hu, D., Zhao, A., Wei, S., Wang, P., Yuan, X., & Li, Y. (2022). RNA Sequencing Reveals the Potential Adaptation Mechanism to Different Hosts of Grapholita molesta. Insects, 13(10), 893. https://doi.org/10.3390/insects13100893

