Changes in Lithium Levels in Bees and Their Products Following Anti-Varroa Treatment
Abstract
:Simple Summary
Abstract
1. Introduction
2. Materials and Methods
2.1. Colony Setup and Samplings of Biological Materials and Apicultural Products
2.2. Sample Preparation
2.3. Analytical Measurements
2.4. Statistical Analysis
3. Results and Discussion
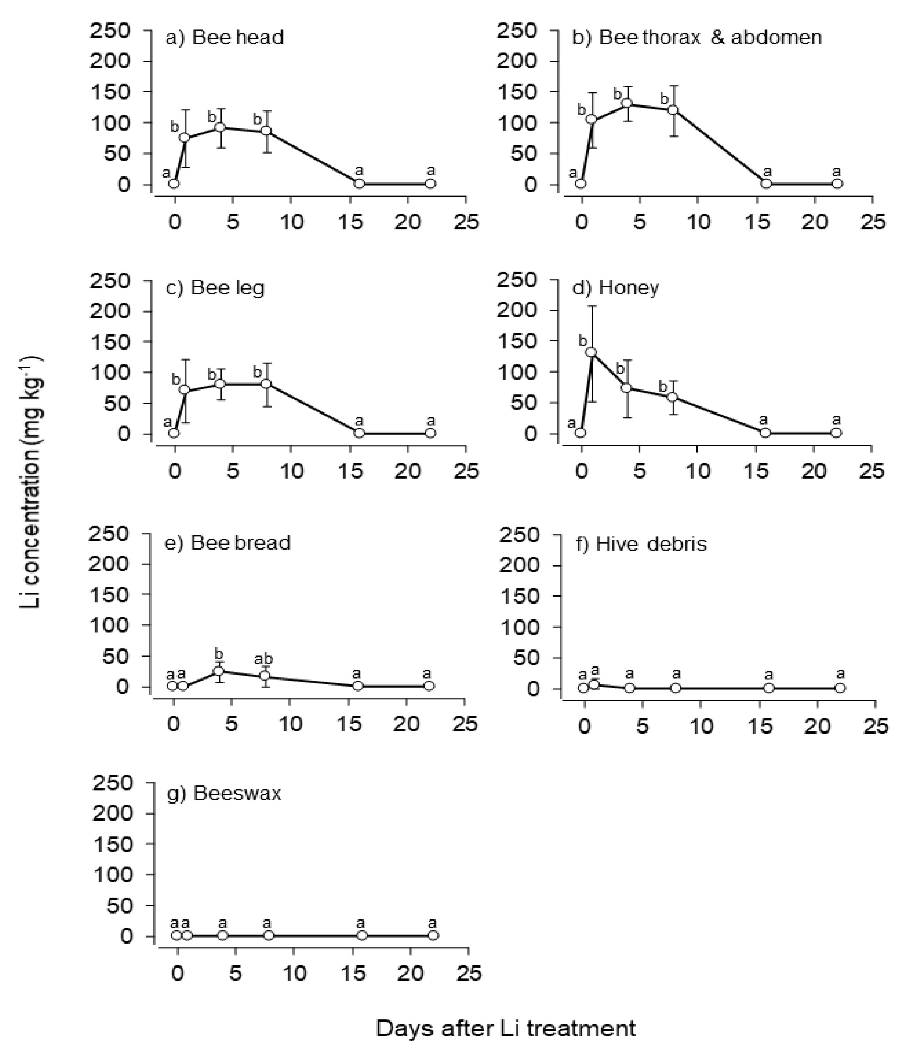
3.1. Lithium Level Returns to Normal Values in Adult Bees
3.2. Bee Bread Is the Least Affected of Beekeeping Products
3.3. Lithium Treatment Leaves Beeswax Unaffected
3.4. Lithium Levels Decrease during Dehydration, but Residues May Remain in the Ripe Honey
4. Conclusions
Author Contributions
Funding
Institutional Review Board Statement
Data Availability Statement
Acknowledgments
Conflicts of Interest
References
- Genersch, E. American foulbrood in honeybees and its causative agent, Paenibacillus larvae. J. Invertebr. Pathol. 2010, 103, S10–S19. [Google Scholar] [CrossRef] [PubMed]
- Spivak, M.; Reuter, G. A Sustainable Approach to Controlling Honey Bee Diseases and Varroa Mites; USDA: Washington, DC, USA, 2005; pp. 1–6. [Google Scholar]
- Barlow, V.M.; Fell, R.D. Sampling Methods for Varroa Mites on the Domesticated Honeybee; Virginia Cooperative Extension: Virginia, VA, USA, 2006; pp. 1–3. Available online: http://hdl.handle.net/10919/50392 (accessed on 19 May 2021).
- Mozes-Koch, R.; Slabezki, Y.; Efrat, H.; Kalev, H.; Kamer, Y.; Yakobson, B.; Dag, A. First detection in Israel of fluvalinate resistance in the varroa mite using bioassay and biochemical methods. Exp. Appl. Acarol. 2000, 24, 35–43. [Google Scholar] [CrossRef] [PubMed]
- Spreafico, M.; Bernardinelli, I.; Colombo, M.P. First detection of strains of Varroa destructor resistant to coumaphos. Results of laboratory tests and field trials. Apidologie 2001, 32, 49–55. [Google Scholar] [CrossRef] [Green Version]
- Coffey, M.F.; Breen, J. The efficacy and tolerability of Api-Bioxal® as a winter varroacide in a cool temperate climate. J. Apic. Res. 2016, 55, 65–73. [Google Scholar] [CrossRef]
- Al Toufailia, H.; Francis, L.W.R. Towards integrated control of varroa: 5) Monitoring Honey bee brood rearing in winter, and the proportion of varroa in small patches of sealed brood cells. J. Apic. Res. 2018, 57, 444–451. [Google Scholar] [CrossRef]
- Rosenkranz, P.; Pia, A.; Bettina, Z. Biology and control of varroa destructor. J. Invertebr. Pathol. 2010, 103, S96–S119. [Google Scholar] [CrossRef] [PubMed]
- Ziegelmann, B.; Elisabeth, A.; Stefan, H.; Michaela, B.; Stefan, B.; Peter, R. Lithium chloride effectively kills the honey bee parasite varroa destructor by a systemic mode of action. Sci. Rep. 2018, 8, 683. [Google Scholar] [CrossRef] [Green Version]
- Hurst, V.; Philip, C.S.; Geraldine, A.W. Toxins induce “Malaise’ behaviour in the Honeybee (Apis Mellifera)”. J. Comp. Physiol. A 2014, 200, 881–890. [Google Scholar] [CrossRef] [PubMed] [Green Version]
- Whitehead, A.T. Electrophysiological response of honey bee labial palp contact chemoreceptors to sugars and electrolytes. Physiol. Entomol. 1978, 3, 241–248. [Google Scholar] [CrossRef]
- Ayestaran, A.; Martin, G.; María, G.d.B.S. Toxic but Drank: Gustatory aversive compounds induce post-ingestional malaise in harnessed honeybees. PLoS ONE 2010, 5, e15000. [Google Scholar] [CrossRef] [Green Version]
- Léonard, A.; Hantson, P.; Gerber, G. Mutagenicity, carcinogenicity and teratogenicity of lithium compounds. Mutat. Res. Genet. Toxicol. 1995, 339, 131–137. [Google Scholar] [CrossRef]
- Castillo-Quan, J.I.; Tain, L.S.; Kinghorn, K.J.; Li, L.; Gronke, S.; Hinze, Y.; Blackwell, K.T.; Bjedov, I.; Partridge, L. A triple drug combination targeting components of the nutrient-sensing network maximizes longevity. Proc. Natl. Acad. Sci. USA 2019, 116, 20817–20819. [Google Scholar] [CrossRef] [Green Version]
- Prešern, J.; Kur, U.; Bubnič, J.; Šala, M. Lithium contamination of honeybee products and its accumulation in brood as a consequence of anti-varroa treatment. Food Chem. 2020, 330, 127334. [Google Scholar] [CrossRef] [PubMed]
- Kolics, É.; Specziár, A.; Taller, J.; Mátyás, K.; Kolics, B. Lithium chloride outperformed oxalic acid sublimation in a preliminary experiment for varroa mite control in pre-wintering honey bee colonies. Acta Vet. Hung. 2021, 68, 370–373. [Google Scholar] [CrossRef] [PubMed]
- Stanimirovic, Z.; Uroš, G.; Marko, R.; Nevenka, A.; Nemanja, J.; Branislav, V.; Jevrosima, S. Looking for the causes of and solutions to the issue of honey bee colony losses. Acta Vet. Beogr. 2019, 69, 1–31. [Google Scholar] [CrossRef] [Green Version]
- Ziegelmann, B.; Blumenschein, M.; Rein, C.; Lang, V.; Hannus, S.; Rosenkranz, P. Varroa Treatment of Brood-Free Honey Bee Colonies with Lithium Chloride. In Proceedings of the 46th APIMONDIA—International Apicultural Congress, Montréal, QC, Canada, 8–12 September 2019. [Google Scholar]
- Kolics, É.; Kinga, M.; János, T.; András, S.; Balázs, K. Contact effect contribution to the high efficiency of lithium chloride against the mite parasite of the honey bee. Insects 2020, 11, 333. [Google Scholar] [CrossRef]
- Kolics, B.; Sajtos, Z.; Matyas, K.; Kolics, É.; Taller, J.; Baranyai, E. Lithium Chloride—Hazard or Possibility? In Proceedings of the 46th APIMONDIA—International Apicultural Congress: Montréal, QC, Canada, 8–12 September 2019.
- Khalifa, S.A.; Elashal, M.; Kieliszek, M.; Ghazala, N.E.; Farag, M.A.; Saeed, A.; Xiao, J.; Zou, X.; Khatib, A.; Göransson, U.; et al. Recent insights into chemical and pharmacological studies of bee bread. Trends Food Sci. Technol. 2020, 97, 300–316. [Google Scholar] [CrossRef]
- Prešern, J. Neurostatistical approach to toxicological testing in honeybees. MethodsX 2020, 7, 101077. [Google Scholar] [CrossRef]
- Jiménez, J.J.; José, L.B.; María, J.d.N.; María, T.M. Residues of organic contaminants in beeswax. Eur. J. Lipid Sci. Technol. 2005, 107, 896–902. [Google Scholar] [CrossRef]
- Bajuk, B.P.; Katarina, B.; Tomaž, S.; Luka, M.; Metka, P.; Ocepek, M.Š.; Vlasta, J.; Ayhan Filazi, D.Š.; Silvestra, K. Coumaphos residues in honey, bee brood, and beeswax after varroa treatment. Apidologie 2017, 48, 588–598. [Google Scholar] [CrossRef]
- Wilmart, O.; Anne, L.; Marie-Louise, S.; Wim, R.; Bruno, U.; Dirk, C.D.G.; Walter, S.; Philippe, D.; Pascal, G.; Bach, K.N. Residues in Beeswax: A health risk for the consumer of honey and beeswax? J. Agric. Food Chem. 2016, 64, 8425–8434. [Google Scholar] [CrossRef]
- Bogdanov, S.; Verena, K.; Ueli, B. Determination of acaricide residues in beeswax: Collaborative study. Apiacta 2003, 38, 235–245. [Google Scholar]
- Carayon, J.-L.; Téné, N.; Bonnafé, E.; Alayrangues, J.; Hotier, L.; Armengaud, C.; Treilhou, M. Thymol as an alternative to pesticides: Persistence and effects of Apilife Var on the phototactic behavior of the honeybee Apis mellifera. Environ. Sci. Pollut. Res. 2013, 21, 4934–4939. [Google Scholar] [CrossRef] [PubMed]
- Hernández, O.M.; Fraga, J.M.G.; Jiménez, A.I.; Jiménez, F.; Arias, J.J. Characterization of honey from the Canary Islands: Determination of the Mineral content by atomic absorption spectrophotometry. Food Chem. 2005, 93, 449–458. [Google Scholar] [CrossRef]
- Bogdanov, S.; Jurendic, T.; Sieber, R.; Gallmann, P. Honey for Nutrition and Health: A Review. J. Am. Coll. Nutr. 2008, 27, 677–689. [Google Scholar] [CrossRef]
- Voica, C.; Roba, C.; Iordache, A.M. Lithium levels in food from the romanian market by Inductively Coupled Plasma-Mass Spectrometry (ICP-MS): A pilot study. Anal. Lett. 2021, 54, 242–254. [Google Scholar] [CrossRef]
- Schrauzer, G.N. Lithium: Occurrence, Dietary intakes, nutritional essentiality. J. Am. Coll. Nutr. 2002, 21, 14–21. [Google Scholar] [CrossRef]
- González-Weller, D.; Rubio, C.; Gutiérrez Ángel, J.; González, G.L.; Mesa, J.M.C.; Gironés, C.R.; Ojeda, A.B.; Hardisson, A. Dietary intake of barium, bismuth, chromium, lithium, and strontium in a Spanish population (Canary Islands, Spain). Food Chem. Toxicol. Int. J. Publ. Br. Ind. Biol. Res. Assoc. 2013, 62, 856–868. [Google Scholar] [CrossRef]
- García, J.C.R.; Rodríguez, R.I.; Crecente, R.M.P.; García, J.B.; Martín, S.G.; Latorre, C.H. Preliminary chemometric study on the use of honey as an environmental marker in Galicia (Northwestern Spain). J. Agric. Food Chem. 2006, 54, 7206–7212. [Google Scholar] [CrossRef]


| Replicates Pump Speed | 3 15 rpm |
|---|---|
| Uptake time | 15 s |
| Rinse time | 30 s |
| Stabilization time | 15 s |
| Read time | 3 s |
| Nebulizer pressure | 240 kPa |
| Wavelength | 610.365 nm |
| Main Effects | Overall Model | ||||||||
|---|---|---|---|---|---|---|---|---|---|
| Factor | Effect type | d.f. (Effect, Error) | F | p | R2adj. | d.f. (Model, Residual) | F | p | |
| Bee head | day | fixed | 5, 15 | 154.4 | <0.001 | 0.971 | 8, 15 | 96.8 | <0.001 |
| hive | random | 3, 15 | 0.8 | 0.529 | |||||
| Bee thorax and abdomen | day | fixed | 5, 15 | 395.1 | <0.001 | 0.988 | 8, 15 | 247.9 | <0.001 |
| hive | random | 3, 15 | 2.5 | 0.102 | |||||
| Bee leg | day | fixed | 5, 15 | 156.2 | <0.001 | 0.971 | 8, 15 | 97.9 | <0.001 |
| hive | random | 3, 15 | 0.7 | 0.592 | |||||
| Honey | day | fixed | 5, 15 | 57.3 | <0.001 | 0.925 | 8, 15 | 36.5 | <0.001 |
| hive | random | 3, 15 | 1.7 | 0.210 | |||||
| Bee bread | day | fixed | 5, 15 | 6.6 | 0.002 | 0.543 | 8, 15 | 4.4 | 0.006 |
| hive | random | 3, 15 | 0.8 | 0.512 | |||||
| Hive debris | day | fixed | 5, 15 | 1.0 | 0.451 | 0.000 | 8, 15 | 1.0 | 0.474 |
| hive | random | 3, 15 | 1.0 | 0.418 | |||||
Publisher’s Note: MDPI stays neutral with regard to jurisdictional claims in published maps and institutional affiliations. |
© 2021 by the authors. Licensee MDPI, Basel, Switzerland. This article is an open access article distributed under the terms and conditions of the Creative Commons Attribution (CC BY) license (https://creativecommons.org/licenses/by/4.0/).
Share and Cite
Kolics, É.; Sajtos, Z.; Mátyás, K.; Szepesi, K.; Solti, I.; Németh, G.; Taller, J.; Baranyai, E.; Specziár, A.; Kolics, B. Changes in Lithium Levels in Bees and Their Products Following Anti-Varroa Treatment. Insects 2021, 12, 579. https://doi.org/10.3390/insects12070579
Kolics É, Sajtos Z, Mátyás K, Szepesi K, Solti I, Németh G, Taller J, Baranyai E, Specziár A, Kolics B. Changes in Lithium Levels in Bees and Their Products Following Anti-Varroa Treatment. Insects. 2021; 12(7):579. https://doi.org/10.3390/insects12070579
Chicago/Turabian StyleKolics, Éva, Zsófi Sajtos, Kinga Mátyás, Kinga Szepesi, Izabella Solti, Gyöngyi Németh, János Taller, Edina Baranyai, András Specziár, and Balázs Kolics. 2021. "Changes in Lithium Levels in Bees and Their Products Following Anti-Varroa Treatment" Insects 12, no. 7: 579. https://doi.org/10.3390/insects12070579
APA StyleKolics, É., Sajtos, Z., Mátyás, K., Szepesi, K., Solti, I., Németh, G., Taller, J., Baranyai, E., Specziár, A., & Kolics, B. (2021). Changes in Lithium Levels in Bees and Their Products Following Anti-Varroa Treatment. Insects, 12(7), 579. https://doi.org/10.3390/insects12070579

