Simple Summary
Pyrginae is one of the major groups of the Hesperiidae, and has some particular characteristics. The annotated complete mitogenome from this subfamily is reported here. The gene order of the new mitogenome with the duplication of trnN differs from the typical Lepidoptera-specific arrangement and is unique to Hesperiidae. The presence of a pseudo gene in the mt genome of Odontoptilum angulatum supports the duplication of trnN, following the TDRL model. Comparison of the newly generated mitogenome of Odontoptilum angulatum to all available mitochondrial genomes of other rearranged Pyrginae species revealed that the condition of Odontoptilum angulatum is of independent origin. Therefore, we hypothesize that the gene block trnN–trnS1–trnE is the hot spot of gene rearrangement in the Tagiadini of Pyrginae. Phylogenetic analyses based on 13 protein-coding genes and entire RNA genes of mitogenomes show the monophyly of Pyrginae.
Abstract
To explore the variation and relationship between gene rearrangement and phylogenetic effectiveness of mitogenomes among lineages of the diversification of the tribe Tagiadini in the subfamily Pyrginae, we sequenced the complete mitogenome of Odontoptilum angulatum. The genome is 15,361 bp with the typical 37 genes, a large AT-rich region and an additional trnN (trnN2), which is completely identical to trnN (sequence similarity: 100%). The gene order differs from the typical Lepidoptera-specific arrangement and is unique to Hesperiidae. The presence of a “pseudo-trnS1” in the non-coding region between trnN1 and trnN2 supports the hypothesis that the presence of an extra trnN can be explained by the tandem duplication-random loss (TDRL) model. Regarding the phylogenetic analyses, we found that the dataset comprising all 37 genes produced the highest node support, as well as a monophyly of Pyrginae, indicating that the inclusion of RNAs improves the phylogenetic signal. Relationships among the subfamilies in Hesperiidae were also in general agreement with the results of previous studies. The monophyly of Tagiadini is strongly supported. Our study provides a new orientation for application of compositional and mutational biases of mitogenomes in phylogenetic analysis of Tagiadini and even all Hesperiidae based on larger taxon sampling in the future.
1. Introduction
Due to unique characteristics of the insect mitochondrion, such as strict maternal mode of inheritance, conservative gene components and a comparatively fast rate of evolution [1,2,3], mitochondrial genomes have become a significant molecular marker due to their maternal inheritance, fast evolutionary rate and highly conserved gene content compared to nuclear genes [4], and have been used widely in studies of genetic evolution, classification and identification, and indicators of possible phylogenic relationships for many taxonomic groups including Lepidopteran insects [5,6,7]. Generally, the insect mitogenome, which contains 13 protein-coding genes (PCGs), 2 ribosomal RNA genes (rRNAs), 22 transfer RNA genes (tRNAs) and a non-coding region of variable length, is a typical covalently closed circular double-stranded DNA molecule [2,3,8]. In recent years, with improvements in next-generation sequencers, lower cost and increased availability of whole mitogenome data [3,9], the complete sequences of mitogenomes are being applied more widely in inferring phylogenetic relationships and the molecular evolution of mitogenomes [3,10].
The arrangement of genes in most insect mitogenomes is highly conservative. This can be explained by the compact arrangement of genes, the short non-coding sequences between genes, and the frequent overlap of genes consisting of a few nucleotides [11,12,13]. However, gene rearrangements (especially in tRNA genes [2]) are commonly reported in some taxa (such as Thysanoptera [14,15,16], Phthiraptera [17,18], and Hymenoptera [19]). Furthermore, more exotic rearrangements of the mitochondrial genome have been reported, such as its fragmentation into multiple circular microchromomes (for example, the South Asia 1 species of Scirtothrips dorsalis has a genome consisting of two circular chromosomes [20]). This gene movement provides more information in phylogenetic reconstruction [3]. In Lepidoptera, trnM was translocated upstream of trnI (trnM-trnI-trnQ) in the species of Ditrysia, which is consistent with results from the first Lepidopteran species (Bombyx mori) sequenced, whereas this gene cluster maintained the order of the ancestral gene (trnI-trnQ-trnM) in non-Ditrysian lineages [11]. However, the primitive taxa in Lepidoptera still need more sequencing for in-depth study of evolution and phylogeny.
The current mechanisms used to explain mitochondrial gene rearrangement include: tandem duplication-random loss (TDRL) [21], tandem duplication-nonrandom loss (TDNR) [22], recombination [23,24,25], and illicit priming of replication by tRNA genes [26]. The TDRL model is the most widely accepted mechanism in order to explain the occurrence of gene rearrangement, duplicated genes in mitogenomes, and the occurrence of novel gene order of duplicated genes [27,28,29]. According to the TDRL model, slipped-strand mispairing, imprecise termination, dimerization of the genome, or recombination causes the duplication of a tandem segment of genes [21]. Subsequently, the accumulation of mutations in multiple gene duplications will eventually cause one of the genes to lose function. At this time, such selective pressure to shrink the genome will lead to the elimination of non-functional genes [30].
The family Hesperiidae is one of the most species-rich groups in butterflies, accounting for one-fifth of the world’s butterfly species [31]. Pyrginae is a subfamily of Hesperiidae, which includes 646 species in 86 genera worldwide [32,33,34,35,36]. Because of their natural beauty, such as in the Odontoptilum, it has become an important insect group for ornamental use and as a craft resource [37]. The mitogenomes of 6 Pyrginae species representing 6 genera have been sequenced, and only 2 tRNA duplications and/or tRNA pseudo genes are recorded in the subfamily Pyrginae. Both of them belong to the tribe Tagiadini, which are 2 of the only 3 available mitogenomes for the tribe: Ctenoptilum vasava (trnS1 duplication and trnL2 pseudo gene) [38] and Tagiades vajuna (a tandem duplication of trnS1 and trnE) [39]. However, the remaining member, Tagiades (=Daimio) tethys, possesses a standard mitogenome. Therefore, it is speculated that this characteristic (tRNA duplication) may be is an autapomorphy in the tribe Tagiadini. To explore this phenomenon further, the mt genome of Odontoptilum angulatum was sequenced. Aunique gene arrangement with a duplicated trnN (trnN1-trnN2-trnS1) was detected for the first time in the subfamily Pyrginae, which is even unique among Lepidoptera. The presence of a pseudo trnS1 and an upstream 7 bp gene fragment provided evidence that the TDRL model could explain this novel gene order.
2. Materials and Methods
2.1. Sample Collection and DNA Extraction
Two female adults of O. angulatum were collected in Longmen Village, Mengla County, Xishuangbanna Dai Autonomous Prefecture, Yunnan Province, China (21°815′ N; 101°29′ E). The entire samples were immediately put into 100% ethanol and, on returning to the lab, stored in a −20 °C freezer in the Entomological Museum of the Northwest A&F University, Yangling, Shaanxi Province, China. All adult specimens were identified based on morphological characteristics [37] and were confirmed with cox1 barcoding alignment in the BOLD database [40]. The thoracic muscle from a single specimen was used to extract genomic DNA following the manufacturer’s instructions (EasyPureR Genomic DNA Kit, TRAN, TransGen, Beijing, China).
2.2. Sequencing
Complete mitochondrial genome was determined using NGS by Biomarker Technologies Corporation (Beijing, China.). After the samples were sequenced in both directions, approximately 1 GB of data was obtained. The raw paired-end clean reads were assembled under medium-low sensitivity with trim sequence by employing the mitogenome of Tagiades vajuna (Hesperiidae; Pyrginae; GenBank: KX865091) [39] as a reference (Table 1) in Geneious 11.0.5. The generated consensus sequence and the reference sequence were aligned used MAFFT (within Geneious 11.0.5) for annotation. All PCGs were determined by finding the ORFs by employing condon Table 5 (the invertebrate mitochondrial genetic code). The tRNAs, including the duplicated tRNA (trnN), and rRNAs (12S and 16S) were found using the MITOS Web Server [41]. According to the MITOS predictions, the secondary structures of tRNAs were manually plotted using Adobe Illustrator CC2020. The mitogenomic circular map was drawn using Organellar Genome DRAW (OGDRAW) [42]. Finally, in order to ensure the accuracy of annotation, all genes were visually inspected via alignments in Geneious against the reference mitogenome. The base composition, AT skew, CG skew and data used to plot RSCU (relative synonymous codon usage) figures were all calculated using PhyloSuite v 1.2.2 [43]. The mitogenome sequence was registered in GenBank as MW381783.
Table 1.
Classification and origins of the mitochondrial genome used in this study.
2.3. Phylogenetic Analysis
For the phylogenetic analysis, we chose a total of 33 mitogenome sequences of known Hesperiidae that are publicly available (including the newly sequenced mt genome of O. angulatum) (Table 1) as ingroups and the mitogenome of four species in Papilionidae were selected as outgroups.
Statistics for the basic characteristics of the mitochondrial genome were produced by MitoTool [62]. The extraction of PCGs and RNAs were carried out by PhyloSuite v 1.2.2. All 13 PCGs were aligned in batches with MAFFT integrated into BioSuite [63], based on the codon-alignment mode. tRNAs and rRNAs were aligned using the Q-INS-i algorithm in MAFFT v.7 online service [64]. Poorly aligned regions in the alignments were removed using Gblocks v0.91b [65].
To compare the phylogenetic signal information of the different dataset combinations, 3 datasets were used: protein-coding genes (PCGs), removal of third codon position of protein-coding genes + whole RNA genes (PCG12RT), and protein-coding genes + entire RNA genes (PCGRT). We chose the GTR + I + G model of evolution based on the three datasets by Bayesian information criterion (BIC) as estimated in jModelTest 2.1.7 [66]. Phylogenetic analysis was performed employing the best-fit model, using maximum likelihood (ML) and Bayesian inference (BI). The ML analysis were conducted using RAxML GUI [67], with an ML + rapid bootstrap (BS) algorithm with 1000 replicates. The BI analysis was implemented using MrBayes 3.2.6 [68] with default settings and 6 × 106 MCMC generations. The convergence of the independent runs was indicated by average standard deviation of split frequencies < 0.01, estimated sample size > 200, and potential scale reduction factor ≈ 1.
3. Results and Discussion
3.1. Mitochondrial Genome Organization
The mitogenome of O. angulatum (15,361 bp) is a single, covalently closed circular double-stranded DNA molecule (Figure 1) composed of 38 coding genes (13 PCGs, 23 tRNA genes, and two rRNA genes), and a major non-coding A + T-rich region (replication origin site) [69]. Compared with the mitogenomes of other Hesperiidae (range from 15,267 bp (Potanthus flavus) to 15,769 bp (Heteropterus morpheus)), it is medium-sized. In addition to the 37 typical genes in arthropod mitochondrion, an additional trnN (named trnN2) was found in this genome.
Figure 1.
Circular map of the mitochondrial genome of O. angulatum.
The minority strand (N-strand) encodes 14 genes, 4 PCGs (ND1, ND4, ND4L, and ND5), 8 tRNAs (trnQ, trnC, trnY, trnF, trnH, trnP, trnL2, and trnV), and 2 rRNA genes (the large rRNA subunit (lrRNA) and small rRNA subunit (srRNA)), whereas the other 24 genes were transcribed from the majority strand (J-strand). All 13 PCGs were initiated by the start codon ATN (8 by ATG, 4 by ATT and 1 by ATA). Nine PCGs ended with a complete TAA termination codon. It is worth mentioning that, differing from the use of CGA in cox1 initiation as has been reported before for Hesperiidae [70], cox1 of O. angulatum starts with normal ATG. In addition to cox1, cox2, nad5 and nad4, all of which use an incomplete stop codon T–, the remaining PCGs all use complete TAA stop codons. Seven gene overlaps were observed, ranging from 1 to 24 bp in length. With the exception of the control region, we identified 17 non-coding regions (NCRs) comprising a total of 261 bp with the second longest being 44 bp between trnN1 and trnN2. The lrRNA and srRNA were 1380 bp and 761 bp, respectively (Table 2).
Table 2.
Mitogenomic organization of O. angulatum.
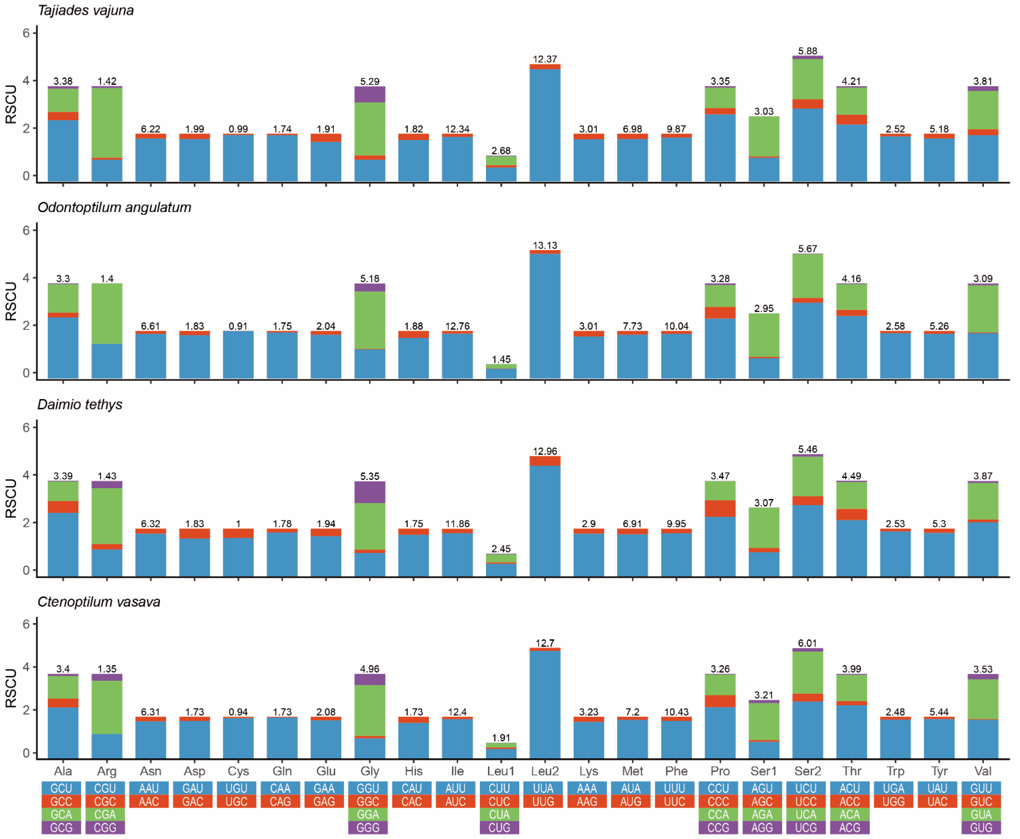
The A/T nucleotide composition is 81.2% (excluding the control region) in O. angulatum, indicating a strong A/T bias (Table 3). The PCGs have the lowest AT content (79.8%) and the A + T-rich region has the highest (95.4%), as in all previously-sequenced mitogenomes of skippers [57]. Among the 13 PCGs, the A + T content of the third codon (94%) was much higher than the first (74.8%) and second positions (70.7%). The mitogenome exhibits obvious negative GC-skews (−0.217) and insignificant negative AT-skews (−0.015) (Table 3). The mitogenome-wide AT bias was well-documented in the codon usage, and the RSCU (relative synonymous codon usage) values indicated a preference for NNU and NNA codons in skipper mitogenomes, which has been observed before [38,45]. Furthermore, Figure 2 also indicates that the most frequently used codons are UUU (Phe), UUA (Leu), AUU (Ile), AUA (Met), and AAU (Asn).
Table 3.
Nucleotide composition and skewness of O. angulatum.
Figure 2.
Relative synonymous codon usage (RSCU) in the mitochondrial genome of four species of Tagiadini. The stop codon is not shown.
In the whole genome of O. angulatum, besides the common 22 tRNAs, an additional trnN was found. We found a unique rearrangement that differs from previous studies in Lepidoptera [71,72]. Moreover, the sequences of trnN1 and trnN2 were absolutely identical (sequence similarity: 100%). Twenty-three tRNA (62 bp to 71 bp) could be folded into the typical structure of cloverleaf secondary (Figure S1). Only trnS (AGN) lacked the DHU stem (Figure S1), and this phenomenon probably evolved very early in the Metazoa [73] and is the ancestral state in butterflies. The trnN1 and trnN2 have a secondary structure of standard tRNA genes [74,75] and a completely identical anticodon; we surmise that both of them had identical functions.
3.2. Non-Coding Regions (NCR) and a Pseudo Gene
The control region, located between rrnS and trnM and thought to play a controlling role in the transcription process [76], was the longest non-coding region in the mitogenome of O. angulatum. Its length and A + T content are 287 bp and 95.4%, respectively (Table 3). Compared with three other skippers from Tagiadini, the sequence analysis result of the control region showed that they all have conserved structures, including variable-length poly-T stretches (17–19 bp), several runs of microsatellite-like A/T sequences following a motif ATTTA, and an interrupted poly-A stretch directly upstream of trnM. Moreover, the motif ATAGA close to the 5′-end of the rrnS is the origin of the minority strand replication in Lepidopteran mitogenomes (Figure 3) [69,77]. In addition to the control region, another long NCR (44 bp) was found between trnN1 and trnN2. In this NCR, a 37 bp region was identified, which shares 100% similarity with the homologous sequences of trnS1. Therefore, we defined this region as pseudo-trnS1 (Figure 4A). In addition, we found that the pseudo-trnS1 had a 7 bp gene fragment (ATAATAT), which is the intergenic nucleotides between trnN2 and trnS1 in front of it in NCR.
Figure 3.
Structural elements found in the A + T-rich region of four Tagiadini skippers.
Figure 4.
(A) Secondary structures and sequence similarity of trnS1 and pseudo-trnS1. Inferred Watson–Crick bonds are illustrated by red lines. The sequences in the dotted box represent the homologous sequences between trnS1 and pseudo-trnS1. (B) The hypothetical process of gene rearrangement in the model of tandem duplication-random loss. “×” indicates the partial random loss of the duplicated genes. Different types of genes are labeled with different colored blocks: PCGs-blue, tRNAs-yellow, pseudo gene-red and NCR-grey.
The tandem duplication-random loss (TDRL) model is the most widely accepted mechanism for explaining mitochondrial gene rearrangement. In the TDRL model, some of the mitochondrial genes produce multiple gene repeats due to a contiguous segment of DNA duplication. Subsequently, the accumulation of mutations within multiple duplications eventually deactivates one of the genes at random, and the selective pressure to shrink the genome leads to the elimination of nonfunctional genes [30]. In this process, the randomly lost and nonfunctional genes can become pseudo genes. [78,79]. Pseudo genes may eventually disappear completely from the genome due to the selective pressure of shrinking the genome, causing the gene order to be different from the typical gene arrangement (such as Drosophila yakuba) [80].
In a previous study, the extra tRNA genes were also found in other Tagiadini species. The trnS1 duplication in Ctenoptilum vasava (Hesperiidae: Pyrginae) (-N-S1a-S1b-E-) [38] and the tandem duplication of the gene block trnS1-trnE in Tagiades vajuna (Hesperiidae: Pyrginae) (-N-S1a -Ea -S1b -Eb -) [39] further indicates the independent origin of the duplicated trnS1: -N-S1-E- → -N-S1a-S1b-E- in C. vasava, -N-S1-E- → -N-S1a -Ea -S1b -Eb - in Tagiades vajuna and -N-S1-E- → -Na-Nb-S1-E- in O. angulatum. Therefore, the condition of O. angulatum is of independent origin. However, pseudo genes were not found in the vicinity of duplicated tRNA in both cases. The gene order of the O. angulatum mitogenome differs from the typical Lepidoptera-specific arrangement and is unique not only in Hesperiidae but also in Lepidoptera (Figure 1). The presence of pseudo-trnS1 and an upstream 7 bp gene fragment in the mitogenome of O. angulatum supported the hypothesis that duplication of trnN obeyed the TDRL model. This current genomic rearrangement likely occurred due to the tandem duplication of the gene block trnN–trnS1, forming the structure of trnN–trnS1–trnN–trnS1 and then the subsequent random loss of trnS1 in the first copy, causing the current arrangement trnNa–trnNb–trnS1 and a non-coding region including a 37-bp pseudo-trnS1 (Figure 4B). The translocation of trnN and trnS1 in the E. montanus (Pyrginae: Erynnini) mitogenome could also be explained through the TDRL model through a trnN–trnS1 tandem duplication [51]. Therefore, we hypothesize that the gene block trnN–trnS1–trnE is the hot spot of gene rearrangement in the Tagiadini of Pyrginae.
3.3. Phylogenetic Analyses
The six phylogenetic trees (3 datasets × 2 methods) show topologies that are nearly congruent with most branches receiving strong support. The topologies generated by the PCGRT dataset have a higher support rate than PCG and PCG12RT, which indicates that the RNA genes have more phylogenetic resolution [81]. Since the phylogenetic topologies obtained by both methods (ML and BI) using the PCGRT dataset are concordant, we only showed the ML tree (Figure 5, all remaining dendrograms are shown in supplementary data: PCGRT dataset with the method of the BI in Figure S2, PCG dataset with the method of the ML and BI in Figures S3 and S4, and PCG12RT dataset with the method of ML and BI in Figures S5 and S6).
Figure 5.
Phylogenetic tree produced by maximum likelihood analyses of PCGRT dataset. Bootstrap support values (BS) are indicated above the branches. The different gene orders of Tagiadini species are shown on the right of the tree.
In general, the phylogenomic relationships recovered in our analysis are nearly identical to the most recent mitochondrial phylogenomic studies [39,54,57]. Nevertheless, Pyrginae and Eudaminae show different phylogenetic relationships in the 6 phylograms: Pyrginae was polyphyletic by Eudaminae in both analyses of the PCG datase and PCG12RT datasets, but monophyletic in the BI and ML analysis of the PCGRT dataset (nodal support value: BS = 58, BPP = 0.796). Nowadays, based on the study of the mitogenome data and united mitogenome/nuclear genome datasets, the monophyly of Pyrginae still remains unclear [82]. For the sake of resolving the problem of the taxonomic status of Pyrginae, a denser taxonomic sampling of mt genomes, more complete transcriptome or genomics data, and better linkage between morphological features and molecular data is required.
As expected, O. angulatum clustered with the other three Tagiadini species, T. tethys, C. vasava, T. tethys and T. vajuna in all 6 phylograms produced. Moreover, a consistent topology was obtained: (((T. tethys + T. vajuna) + C. vasava) + O. angulatum). The gene rearrangement in mitogenomes was expected to provide valuable information for the reconstruction of molecular phylogeny. However, it seems that majority of gene rearrangements could be observed in the tribe Tagiadini within the family Hesperiidae. Theoretically, it is beneficial to use mt genome rearrangement as a phylogenetic marker because rearrangements of the mt genome appear to be unique and rare events, which are stable once they have occurred, and the rearrangement genes are homologous. The synapomorphy of gene rearrangement supported an insect–crustacean clade and further study of the arrangements of the mt genome will help to understand and to improve the higher-level taxonomy and systematics [83,84].
4. Conclusions
We sequenced the mitogenome of O. angulatum and found that the duplication of trnN was unique among all the characterized mitogenomes in Lepidoptera. The duplication of trnN obeyed the TDRL model, where one of the trnS1 lost some parts and became a pseudo-gene after the tandem-duplication of the element trnN1-trnS1. Comparing with the duplication pattern of closely related branch, we suggest that the trnN duplication of O. angulatum probably has an independent origin in Tagiadini. We compared the results from different datasets and methods to reconstruct the phylogenetic reconstruction of the family Hesperiidae, and suggest that the topologies generated by the PCGRT dataset had a higher node support rate.
Supplementary Materials
The following are available online at https://www.mdpi.com/article/10.3390/insects12040348/s1, Figure S1: Predicted secondary cloverleaf structure for the tRNAs of O. angulatum. Lines (-) indicate Watson–Crick base pairings, whereas dots (·) indicate unmatched base pairings; Figure S2: Phylogenetic tree produced by Bayesian inference analysis of the PCGRT dataset. Bayesian posterior probability (BPP) support values are indicated above the branches; Figure S3: Phylogenetic tree produced by maximum likelihood analyses of PCG dataset. Bootstrap support values (BS) are indicated above the branches; Figure S4: Phylogenetic tree produced by Bayesian inference analysis of the PCG dataset. Bayesian posterior probability (BPP) support values are indicated above the branches; Figure S5: Phylogenetic tree produced by maximum likelihood analyses of PCG12RT dataset. Bootstrap support values (BS) are indicated above the branches; Figure S6: Phylogenetic tree produced by Bayesian inference analysis of the PCG12RT dataset. Bayesian posterior probability (BPP) support values are indicated above the branches.
Author Contributions
Conceptualization, J.L. and X.Y.; methodology, J.L. and J.X.; software, X.H., J.L. and J.X.; validation, J.L., X.H. and J.X.; resources, X.Y.; writing—original draft preparation, J.L.; writing—review and editing, J.X. and X.H.; visualization, X.Y.; supervision, X.Y.; project administration, X.Y.; funding acquisition, X.Y. All authors have read and agreed to the published version of the manuscript.
Funding
This study was supported by the National Natural Science Foundation of China (No. 31970448, No. 31772503, No. 31272345) and the National Key R & D Program of China (2017YFD0200900, 2017YFD0201800).
Institutional Review Board Statement
Not applicable.
Informed Consent Statement
Not applicable.
Data Availability Statement
The following information was supplied regarding the availability of DNA sequences: The complete mitogenome of Odontoptilum angulatum is deposited in GenBank of NCBI under accession number MW381783.
Acknowledgments
We are grateful to Hideyuki Chiba, B.P. Bishop Museum, Honolulu, U.S.A. and J.R. Schrock, Emporia State University, Kansas, U.S.A., for reviewing the manuscript.
Conflicts of Interest
The authors declare no conflict of interest.
References
- Barr, C.M.; Neiman, M.; Taylor, D.R. Inheritance and recombination of mitochondrial genomes in plants, fungi and animals. New Phytol. 2005, 168, 39–50. [Google Scholar] [CrossRef] [PubMed]
- Boore, J.L. Animal mitochondrial genomes. Nucleic Acids Res. 1999, 27, 1767–1780. [Google Scholar] [CrossRef]
- Cameron, S.L. Insect mitochondrial genomics: Implications for evolution and phylogeny. Annu. Rev. Entomol. 2014, 59, 95–117. [Google Scholar] [CrossRef]
- Bae, J.S.; Kim, I.; Sohn, H.D.; Jin, B.R. The mitochondrial genome of the firefly, Pyrocoelia rufa: Complete DNA sequence, genome organization, and phylogenetic analysis with other insects. Mol. Phylogenet. Evol. 2004, 32, 978–985. [Google Scholar] [CrossRef] [PubMed]
- Kim, M.J.; Kang, A.R.; Jeong, H.C.; Kim, K.-G.; Kim, I. Reconstructing intraordinal relationships in Lepidoptera using mitochondrial genome data with the description of two newly sequenced lycaenids, Spindasis takanonis and Protantigius superans (Lepidoptera: Lycaenidae). Mol. Phylogenet. Evol. 2011, 61, 436–445. [Google Scholar] [CrossRef] [PubMed]
- Hebert, P.D.; Penton, E.H.; Burns, J.M.; Janzen, D.H.; Hallwachs, W. Ten species in one: DNA barcoding reveals cryptic species in the neotropical skipper butterfly Astraptes fulgerator. Proc. Natl. Acad. Sci. USA 2004, 101, 14812–14817. [Google Scholar] [CrossRef] [PubMed]
- Li, Y.P.; Song, W.; Shi, S.L.; Liu, Y.Q.; Pan, M.H.; Dai, F.Y.; Lu, C.; Xiang, Z.H. Mitochondrial genome nucleotide substitution pattern between domesticated silkmoth, Bombyx mori, and its wild ancestors, Chinese Bombyx mandarina and Japanese Bombyx mandarina. Genet. Mol. Biol. 2010, 33, 186–189. [Google Scholar] [CrossRef] [PubMed]
- Clayton, D.A. Replication of animal mitochondrial DNA. Cell 1982, 28, 693–705. [Google Scholar] [CrossRef]
- Crampton-Platt, A.; Yu, D.W.; Zhou, X.; Vogler, A.P. Mitochondrial metagenomics: Letting the genes out of the bottle. GigaScience 2016, 5, 15. [Google Scholar] [CrossRef]
- Gillett, C.P.; Crampton-Platt, A.; Timmermans, M.J.; Jordal, B.H.; Emerson, B.C.; Vogler, A.P. Bulk de novo mitogenome assembly from pooled total DNA elucidates the phylogeny of weevils (Coleoptera: Curculionoidea). Mol. Biol. Evol. 2014, 31, 2223–2237. [Google Scholar] [CrossRef] [PubMed]
- Cao, Y.Q.; Ma, C.; Chen, J.Y.; Yang, D.R. The complete mitochondrial genomes of two ghost moths, Thitarodes renzhiensis and Thitarodes yunnanensis: The ancestral gene arrangement in Lepidoptera. BMC Genom. 2012, 13, 276. [Google Scholar] [CrossRef]
- Tian, L.L.; Sun, X.Y.; Chen, M.; Gai, Y.H.; Hao, J.S.; Yang, Q. Complete mitochondrial genome of the Five-dot Sergeant Parathyma sulpitia(Nymphalidae: Limenitidinae) and its phylogenetic implications. Zool. Res. 2012, 33, 133–143. [Google Scholar] [CrossRef] [PubMed]
- Kilpert, F.; Podsiadlowski, L. The complete mitochondrial genome of the common sea slater, Ligia oceanica (Crustacea, Isopoda) bears a novel gene order and unusual control region features. BMC Genom. 2006, 7, 241. [Google Scholar] [CrossRef] [PubMed]
- Shao, R.; Barker, S.C. The highly rearranged mitochondrial genome of the plague thrips, Thrips imaginis (Insecta: Thysanoptera): Convergence of two novel gene boundaries and an extraordinary arrangement of rRNA genes. Mol. Biol. Evol. 2003, 20, 362–370. [Google Scholar] [CrossRef] [PubMed]
- Perlman, S.J.; Hodson, C.N.; Hamilton, P.T.; Opit, G.P.; Gowen, B.E. Maternal transmission, sex ratio distortion, and mitochondria. Proc. Natl. Acad. Sci. USA 2015, 112, 10162–10168. [Google Scholar] [CrossRef]
- Liu, H.; Li, H.; Song, F.; Gu, W.; Feng, J.; Cai, W.; Shao, R. Novel insights into mitochondrial gene rearrangement in thrips (Insecta: Thysanoptera) from the grass thrips, Anaphothrips obscurus. Sci. Rep. 2017, 7, 1–7. [Google Scholar] [CrossRef]
- Shao, R.; Zhu, X.Q.; Barker, S.C.; Herd, K. Evolution of extensively fragmented mitochondrial genomes in the lice of humans. Genome Biol. Evol. 2012, 4, 1088–1101. [Google Scholar] [CrossRef] [PubMed]
- Song, F.; Li, H.; Liu, G.-H.; Wang, W.; James, P.; Colwell, D.D.; Tran, A.; Gong, S.; Cai, W.; Shao, R. Mitochondrial genome fragmentation unites the parasitic lice of eutherian mammals. Syst. Biol. 2019, 68, 430–440. [Google Scholar] [CrossRef]
- Feng, Z.; Wu, Y.; Yang, C.; Gu, X.; Wilson, J.J.; Li, H.; Cai, W.; Yang, H.; Song, F. Evolution of tRNA gene rearrangement in the mitochondrial genome of ichneumonoid wasps (Hymenoptera: Ichneumonoidea). Int. J. Biol. Macromol. 2020, 164, 540–547. [Google Scholar] [CrossRef] [PubMed]
- Dickey, A.M.; Kumar, V.; Morgan, J.K.; Jara-Cavieres, A.; Shatters, R.G.; McKenzie, C.L.; Osborne, L.S. A novel mitochondrial genome architecture in thrips (Insecta: Thysanoptera): Extreme size asymmetry among chromosomes and possible recent control region duplication. BMC Genom. 2015, 16, 439. [Google Scholar] [CrossRef]
- Moritz, C.; Brown, W.M. Tandem duplications in animal mitochondrial DNAs: Variation in incidence and gene content among lizards. Proc. Natl. Acad. Sci. USA 1987, 84, 7183–7187. [Google Scholar] [CrossRef] [PubMed]
- Lavrov, D.V.; Boore, J.L.; Brown, W.M. Complete mtDNA sequences of two millipedes suggest a new model for mitochondrial gene rearrangements: Duplication and nonrandom loss. Mol. Biol. Evol. 2002, 19, 163–169. [Google Scholar] [CrossRef] [PubMed]
- Poulton, J.; Deadman, M.E.; Bindoff, L.; Morten, K.; Land, J.; Brown, G. Families of mtDNA re-arrangements can be detected in patients with mtDNA deletions: Duplications may be a transient intermediate form. Hum. Mol. Genet. 1993, 2, 23–30. [Google Scholar] [CrossRef]
- Lunt, D.H.; Hyman, B.C. Animal mitochondrial DNA recombination. Nature 1997, 387, 247. [Google Scholar] [CrossRef] [PubMed]
- Dowton, M.; Campbell, N.J. Intramitochondrial recombination–is it why some mitochondrial genes sleep around? Trends Ecol. Evol. 2001, 16, 269–271. [Google Scholar] [CrossRef]
- Cantatore, P.; Gadaleta, M.; Roberti, M.; Saccone, C.; Wilson, A. Duplication and remoulding of tRNA genes during the evolutionary rearrangement of mitochondrial genomes. Nature 1987, 329, 853–855. [Google Scholar] [CrossRef] [PubMed]
- San Mauro, D.; Gower, D.J.; Zardoya, R.; Wilkinson, M. A hotspot of gene order rearrangement by tandem duplication and random loss in the vertebrate mitochondrial genome. Mol. Biol. Evol. 2006, 23, 227–234. [Google Scholar] [CrossRef] [PubMed]
- Jühling, F.; Pütz, J.; Bernt, M.; Donath, A.; Middendorf, M.; Florentz, C.; Stadler, P.F. Improved systematic tRNA gene annotation allows new insights into the evolution of mitochondrial tRNA structures and into the mechanisms of mitochondrial genome rearrangements. Nucleic Acids Res. 2012, 40, 2833–2845. [Google Scholar] [CrossRef]
- Yoshizawa, K.; Johnson, K.P.; Sweet, A.D.; Yao, I.; Ferreira, R.L.; Cameron, S.L. Mitochondrial phylogenomics and genome rearrangements in the barklice (Insecta: Psocodea). Mol. Phylogenet. Evol. 2018, 119, 118–127. [Google Scholar] [CrossRef]
- Rand, D.M. Thermal habit, metabolic rate and the evolution of mitochondrial DNA. Trends Ecol. Evol. 1994, 9, 125–131. [Google Scholar] [CrossRef]
- Warren, A.D.; Ogawa, J.R.; Brower, A.V. Phylogenetic relationships of subfamilies and circumscription of tribes in the family Hesperiidae (Lepidoptera: Hesperioidea). Cladistics 2008, 24, 642–676. [Google Scholar] [CrossRef]
- Warren, A.D.; Grishin, N.V. A new species of Oxynetra from Mexico (Hesperiidae, Pyrginae, Pyrrhopygini). ZooKeys 2017, 667, 155–164. [Google Scholar] [CrossRef] [PubMed]
- Grishin, N.V.; Janzen, D.H.; Hallwachs, W. A new species of Eracon (Hesperiidae: Pyrginae) substantiated by a number of traits, including female genitalia. J. Lepid. Soc. 2014, 68, 149–161. [Google Scholar] [CrossRef]
- Grishin, N.V.; Burns, J.M.; Janzen, D.H.; Hallwachs, W.; Hajibabaei, M. Oxynetra: Facies and DNA barcodes point to a new species from Costa Rica (Hesperiidae: Pyrginae: Pyrrhopygini). J. Lepid. Soc. 2013, 67, 1–14. [Google Scholar] [CrossRef]
- Grishin, N.V. Adding to the rich fauna of the Chocó region in Ecuador, a new species of Potamanaxas (Hesperiidae: Pyrginae: Erynnini). Trop. Lepid. Res. 2013, 23, I–III. [Google Scholar]
- Ferrer-Paris, J.R.; Sánchez-Mercado, A.; Viloria, A.L.; Donaldson, J. Congruence and diversity of butterfly-host plant associations at higher taxonomic levels. PLoS ONE 2013, 8, e63570. [Google Scholar] [CrossRef]
- Yuan, F.; Yuan, X.Q.; Xue, G.X. Fauna Sinica (Insecta: Lepidoptera: Hesperiidae); Science Press: Beijing, China, 2015. [Google Scholar]
- Hao, J.S.; Sun, Q.Q.; Zhao, H.B.; Sun, X.Y.; Gai, Y.H.; Yang, Q. The complete mitochondrial genome of Ctenoptilum vasava (Lepidoptera: Hesperiidae: Pyrginae) and its phylogenetic implication. Comp. Funct. Genom. 2012, 2012, 328049. [Google Scholar] [CrossRef]
- Liu, F.F.; Li, Y.P.; Jakovlić, I.; Yuan, X.Q. Tandem duplication of two tRNA genes in the mitochondrial genome of Tagiades vajuna (Lepidoptera: Hesperiidae). Eur. J. Entomol. 2017, 114, 407–415. [Google Scholar] [CrossRef]
- Ratnasingham, S.; Hebert, P.D.N. A DNA-based registry for all animal species: The barcode index number (BIN) system. PLoS ONE 2013, 8, e66213. [Google Scholar] [CrossRef] [PubMed]
- Bernt, M.; Donath, A.; Jühling, F.; Externbrink, F.; Florentz, C.; Fritzsch, G.; Pütz, J.; Middendorf, M.; Stadler, P.F. MITOS: Improved de novo metazoan mitochondrial genome annotation. Mol. Phylogenet. Evol. 2013, 69, 313–319. [Google Scholar] [CrossRef]
- Lohse, M.; Drechsel, O.; Kahlau, S.; Bock, R. OrganellarGenomeDRAW—A suite of tools for generating physical maps of plastid and mitochondrial genomes and visualizing expression data sets. Nucleic Acids Res. 2013, 41, W575–W581. [Google Scholar] [CrossRef]
- Zhang, D.; Gao, F.; Jakovlić, I.; Zou, H.; Zhang, J.; Li, W.X.; Wang, G.T. PhyloSuite: An integrated and scalable desktop platform for streamlined molecular sequence data management and evolutionary phylogenetics studies. Mol. Ecol. Res. 2020, 20, 348–355. [Google Scholar] [CrossRef]
- Zhang, J.; Cong, Q.; Shen, J.; Wang, R.; Grishin, N.V. The complete mitochondrial genome of a skipper Burara striata (Lepidoptera: Hesperiidae). Mitochondrial DNA Part B 2017, 2, 145–147. [Google Scholar] [CrossRef]
- Kim, M.J.; Wang, A.R.; Park, J.S.; Kim, I. Complete mitochondrial genomes of five skippers (Lepidoptera: Hesperiidae) and phylogenetic reconstruction of Lepidoptera. Gene 2014, 549, 97–112. [Google Scholar] [CrossRef] [PubMed]
- Wang, J.; James John, Y.; Xuan, S.; Cao, T.; Yuan, X. The complete mitochondrial genome of the butterfly Hasora anura (Lepidoptera: Hesperiidae). Mitochondrial DNA Part A 2015, 27, 4401–4402. [Google Scholar] [CrossRef] [PubMed]
- Cao, L.M.; Wang, J.P.; James, J.Y.; Yau, S.M.; Yuan, X.Q.; Liu, J.P.; Cao, T.W. The complete mitochondrial genome of Hasora vitta (Butler, 1870) (Lepidoptera: Hesperiidae). Mitochondrial DNA Part A 2016, 27, 3020–3021. [Google Scholar] [CrossRef]
- Zhang, J.; Cong, Q.; Shen, J.; Fan, X.L.; Wang, M.; Grishin, N.V. The complete mitogenome of Euschemon rafflesia (Lepidoptera: Hesperiidae). Mitochondrial DNA Part B 2017, 2, 136–138. [Google Scholar] [CrossRef]
- Wang, K.; Hao, J.; Zhao, H. Characterization of complete mitochondrial genome of the skipper butterfly, Celaenorrhinus maculosus (Lepidoptera: Hesperiidae). Mitochondrial DNA 2015, 26, 690. [Google Scholar] [CrossRef] [PubMed]
- Zuo, N.; Gan, S.; Chen, Y.; Hao, J. The complete mitochondrial genome of the Daimio tethys (Lepidoptera: Hesperoidea: Hesperiidae). Mitochondrial DNA 2014, 27, 1099–1100. [Google Scholar] [CrossRef]
- Wang, A.R.; Jeong, H.C.; Han, Y.S.; Kim, I. The complete mitochondrial genome of the mountainous duskywing, Erynnis montanus (Lepidoptera: Hesperiidae): A new gene arrangement in Lepidoptera. Mitochondrial DNA 2014, 25, 93–94. [Google Scholar] [CrossRef]
- Shen, J.H.; Cong, Q.; Grishin, N.V. The complete mitogenome of Achalarus lyciades (Lepidoptera: Hesperiidae). Mitochondrial DNA Part B 2016, 1, 581–583. [Google Scholar] [CrossRef] [PubMed]
- Jeong, S.Y.; Kim, M.J.; Jeong, N.R.; Kim, I. Complete mitochondrial genome of the silver stripped skipper, Leptalina unicolor (Lepidoptera: Hesperiidae). Mitochondrial DNA Part B 2019, 4, 3418–3420. [Google Scholar] [CrossRef] [PubMed]
- Han, Y.; Huang, Z.; Tang, J.; Chiba, H.; Fan, X. The complete mitochondrial genomes of two skipper genera (Lepidoptera: Hesperiidae) and their associated phylogenetic analysis. Sci. Rep. 2018, 8, 1–10. [Google Scholar] [CrossRef]
- Qian, C.; Grishin, N.V. The complete mitochondrial genome of Lerema accius and its phylogenetic implications. PeerJ 2016, 4, e1546. [Google Scholar]
- Shao, L.L.; Sun, Q.Q.; Hao, J.S. The complete mitochondrial genome of Parara guttata (Lepidoptera: Hesperiidae). Mitochondrial DNA 2015, 26, 724–725. [Google Scholar] [CrossRef]
- Ma, L.; Liu, F.; Chiba, H.; Yuan, X.Q. The mitochondrial genomes of three skippers: Insights into the evolution of the family Hesperiidae (Lepidoptera). Genomics 2019, 112, 432–441. [Google Scholar] [CrossRef]
- Zhang, J.; Cong, Q.; Fan, X.; Wang, R.; Wang, M.; Grishin, N.V. Mitogenomes of giant-skipper butterflies reveal an ancient split between deep and shallow root feeders. F1000Research 2017, 6, 222. [Google Scholar] [CrossRef]
- Tang, M.; Tan, M.; Meng, G.; Yang, S.; Su, X.; Liu, S.; Song, W.; Li, Y.; Wu, Q.; Zhang, A. Multiplex sequencing of pooled mitochondrial genomes-a crucial step toward biodiversity analysis using mito-metagenomics. Nucleic Acids Res. 2014, 42, e166. [Google Scholar] [CrossRef]
- Chen, Y.; Gan, S.; Shao, L.; Cheng, C.; Hao, J. The complete mitochondrial genome of the Pazala timur (Lepidoptera: Papilionidae: Papilioninae). Mitochondrial DNA Part A 2016, 27, 533–534. [Google Scholar] [CrossRef]
- Chen, Y.H.; Huang, D.Y.; Wang, Y.L.; Zhu, C.D.; Hao, J.S. The complete mitochondrial genome of the endangered Apollo butterfly, Parnassius apollo (Lepidoptera: Papilionidae) and its comparison to other Papilionidae species. J. Asia-Pac. Entomol. 2014, 17, 663–671. [Google Scholar] [CrossRef]
- Zhang, D. MitoTool Software. Available online: https://github.com/dongzhang0725/MitoTool (accessed on 13 April 2021).
- Zhang, D. BioSuite Software. Available online: https://github.com/dongzhang0725/BioSuite (accessed on 13 April 2021).
- Katoh, K.; Standley, D.M. MAFFT multiple sequence alignment software version 7: Improvements in performance and usability. Mol. Biol. Evol. 2013, 30, 772–780. [Google Scholar] [CrossRef] [PubMed]
- Castresana, J. Selection of conserved blocks from multiple alignments for their use in phylogenetic analysis. Mol. Biol. Evol. 2000, 17, 540–552. [Google Scholar] [CrossRef] [PubMed]
- Darriba, D.; Taboada, G.L.; Doallo, R.; Posada, D. jModelTest 2: More models, new heuristics and parallel computing. Nat. Meth. 2012, 9, 772. [Google Scholar] [CrossRef] [PubMed]
- Stamatakis, A. RAxML version 8: A tool for phylogenetic analysis and post-analysis of large phylogenies. Bioinformatics 2014, 30, 1312–1313. [Google Scholar] [CrossRef]
- Ronquist, F.; Teslenko, M.; Van Der Mark, P.; Ayres, D.L.; Darling, A.; Hohna, S.; Larget, B.; Liu, L.; Suchard, M.A.; Huelsenbeck, J.P. MrBayes 3.2: Efficient Bayesian phylogenetic inference and model choice across a large model space. Syst. Biol. 2012, 61, 539–542. [Google Scholar] [CrossRef] [PubMed]
- Cameron, S.L.; Whiting, M.F. The complete mitochondrial genome of the tobacco hornworm, Manduca sexta (Insecta: Lepidoptera: Sphingidae), and an examination of mitochondrial gene variability within butterflies and moths. Gene 2008, 408, 112–123. [Google Scholar] [CrossRef]
- Kim, M.I.; Baek, J.Y.; Kim, M.J.; Jeong, H.C.; Kim, K.-G.; Bae, C.H.; Han, Y.S.; Jin, B.R.; Kim, I. Complete nucleotide sequence and organization of the mitogenome of the red-spotted apollo butterfly, Parnassius bremeri (Lepidoptera: Papilionidae) and comparison with other lepidopteran insects. Mol. Cells 2009, 28, 347–363. [Google Scholar] [CrossRef] [PubMed]
- Wang, X.; Chen, Z.M.; Gu, X.S.; Wang, M.; Huang, G.H.; Zwick, A. Phylogenetic relationships among Bombycidae sl (Lepidoptera) based on analyses of complete mitochondrial genomes. Syst. Entomol. 2019, 44, 490–498. [Google Scholar] [CrossRef]
- Chen, L.; Wahlberg, N.; Liao, C.-Q.; Wang, C.-B.; Ma, F.-Z.; Huang, G.-H. Fourteen complete mitochondrial genomes of butterflies from the genus Lethe (Lepidoptera, Nymphalidae, Satyrinae) with mitogenome-based phylogenetic analysis. Genomics 2020, 112, 4435–4441. [Google Scholar] [CrossRef]
- Garey, J.R.; Wolstenholme, D.R. Platyhelminth mitochondrial DNA: Evidence for early evolutionary origin of a tRNA ser AGN that contains a dihydrouridine arm replacement loop, and of serine-specifying AGA and AGG codons. J. Mol. Evol. 1989, 28, 374–387. [Google Scholar] [CrossRef] [PubMed]
- Kumazawa, Y.; Nishida, M. Sequence evolution of mitochondrial tRNA genes and deep-branch animal phylogenetics. J. Mol. Evol. 1993, 37, 380–398. [Google Scholar] [CrossRef]
- Kumazawa, Y.; Miura, S.; Yamada, C.; Hashiguchi, Y. Gene rearrangements in gekkonid mitochondrial genomes with shuffling, loss, and reassignment of tRNA genes. BMC Genom. 2014, 15, 930. [Google Scholar] [CrossRef] [PubMed]
- Zhang, D.X.; Szymura, J.M.; Hewitt, G.M. Evolution and structural conservation of the control region of insect mitochondrial DNA. J. Mol. Evol. 1995, 40, 382–391. [Google Scholar] [CrossRef] [PubMed]
- Saito, S.; Tamura, K.; Aotsuka, T. Replication origin of mitochondrial DNA in insects. Genetics 2005, 171, 1695–1705. [Google Scholar] [CrossRef] [PubMed]
- Boore, J.L. The duplication/random loss model for gene rearrangement exemplified by mitochondrial genomes of deuterostome animals. In Comparative Genomics; Springer: Dordrecht, The Netherlands, 2000; pp. 133–147. [Google Scholar]
- Bernt, M.; Chen, K.Y.; Chen, M.C.; Chu, A.C.; Merkle, D.; Wang, H.L.; Chao, K.M.; Middendorf, M. Finding all sorting tandem duplication random loss operations. J. Discret. Algorithms 2011, 9, 32–48. [Google Scholar] [CrossRef][Green Version]
- Clary, D.O.; Wolstenholme, D.R. The mitochondrial DNA molecule of Drosophila yakuba: Nucleotide sequence, gene organization, and genetic code. J. Mol. Evol. 1985, 22, 252–271. [Google Scholar] [CrossRef] [PubMed]
- Cameron, S.L.; Lambkin, C.L.; Barker, S.C.; Whiting, M.F. A mitochondrial genome phylogeny of Diptera: Whole genome sequence data accurately resolve relationships over broad timescales with high precision. Syst. Entomol. 2007, 32, 40–59. [Google Scholar] [CrossRef]
- Sahoo, R.K.; Warren, A.D.; Wahlberg, N.; Brower, A.V.; Lukhtanov, V.A.; Kodandaramaiah, U. Ten genes and two topologies: An exploration of higher relationships in skipper butterflies (Hesperiidae). PeerJ 2016, 4, e2653. [Google Scholar] [CrossRef]
- Boore, J.L.; Lavrov, D.V.; Brown, W.M. Gene translocation links insects and crustaceans. Nature 1998, 392, 667–668. [Google Scholar] [CrossRef]
- Boore, J.L.; Brown, W.M. Big trees from little genomes: Mitochondrial gene order as a phylogenetic tool. Curr. Opin. Genet. Dev. 1998, 8, 668–674. [Google Scholar] [CrossRef]
Publisher’s Note: MDPI stays neutral with regard to jurisdictional claims in published maps and institutional affiliations. |
© 2021 by the authors. Licensee MDPI, Basel, Switzerland. This article is an open access article distributed under the terms and conditions of the Creative Commons Attribution (CC BY) license (https://creativecommons.org/licenses/by/4.0/).




