Acute Toxicity and Sublethal Effects of Lemongrass Essential Oil and Their Components against the Granary Weevil, Sitophilus granarius
Abstract
1. Introduction
2. Materials and Methods
2.1. Granary Weevils
2.2. Essential Oil
2.3. Gas Chromatography(GC) Analysis
2.4. Gas Chromatography/Mass Spectrometry (GC/MS) Analysis
2.5. Toxicity Test of Lemongrass Essential Oil and Components
2.6. Time–Mortality Test
2.7. Respiration Rate
2.8. Behavioral Repellency Response
2.9. Statistical Analysis
3. Results
3.1. Essential Oil Components
3.2. Toxicity Test
3.3. Time–Mortality Test
3.4. Respiration Rate
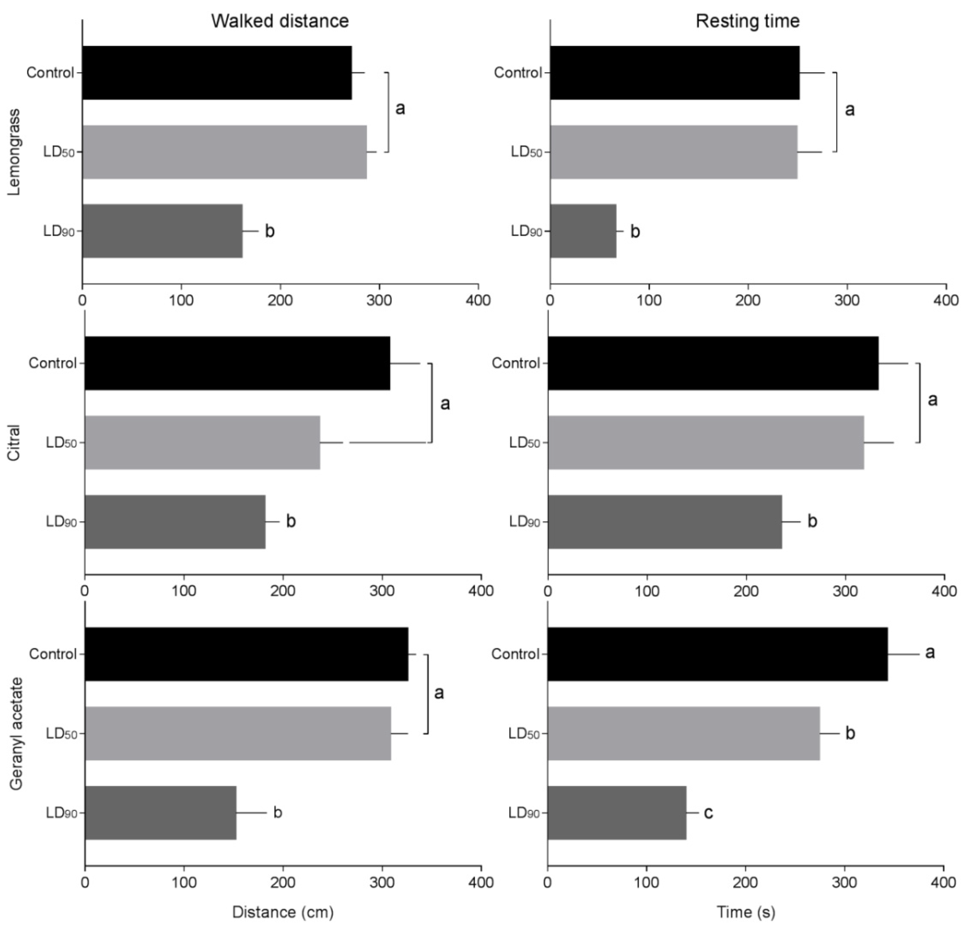
3.5. Behavioral Repellency Response
4. Discussion
5. Conclusions
Author Contributions
Funding
Acknowledgments
Conflicts of Interest
References
- Zettler, J.L.; Arthur, F.H. Chemical control of stored product insects with fumigants and residual treatments. Crop Prot. 2000, 19, 577–582. [Google Scholar] [CrossRef]
- Nayak, M.K.; Daglish, G.J.; Byrne, V.S. Effectiveness of spinosad as a grain protectant against resistant beetle and psocid pests of stored grain in Australia. J. Stored Prod. Res. 2005, 41, 455–467. [Google Scholar] [CrossRef]
- Daglish, G.J.; Nayak, M.K. Long-term persistence and efficacy of spinosad against Rhyzopertha dominica (Coleoptera: Bostrychidae) in wheat. Pest Manag. Sci. 2006, 62, 148–152. [Google Scholar] [CrossRef]
- Vassilakos, N.T.; Athanassiou, G.C.; Tsiropoulos, G.N. Influence of grain type on the efficacy of spinetoram for the control of Rhyzopertha dominica, Sitophilus granarius and Sitophilus oryzae. J. Stored Prod. Res. 2015, 64, 1–7. [Google Scholar] [CrossRef]
- Rumbos, C.I.; Dutton, A.C.; Athanassiou, C.G. Efficacy of two formulations of pirimiphos-methyl as surface treatment against Sitophilus granarius, Rhyzopertha dominica, and Tribolium confusum. J. Pest Sci. 2014, 87, 507–519. [Google Scholar] [CrossRef]
- Goulson, D. An overview of the environmental risks posed by neonicotinoid insecticides. J. Appl. Ecol. 2013, 50, 977–987. [Google Scholar] [CrossRef]
- Last, J.M. Global change: Ozone depletion, greenhouse warming, and public health. Annu. Rev. Public Health 1993, 14, 115–136. [Google Scholar] [CrossRef] [PubMed]
- Foo, K.Y.; Hameed, B.H. Detoxification of pesticide waste via activated carbon adsorption process. J. Hazard Mater. 2010, 175, 1–11. [Google Scholar] [CrossRef]
- Shipp, J.L.; Wang, K.; Ferguson, G. Residual toxicity of avermectin b1 and pyridaben to eight commercially produced beneficial arthropod species used for control of greenhouse pests. Biol. Control 2000, 17, 125–131. [Google Scholar] [CrossRef]
- Bakkali, F.; Averbeck, S.; Averbeck, D.; Idaomar, M. Biological effects of essential oils—A review. Food Chem. Toxicol. 2008, 46, 446–475. [Google Scholar] [CrossRef]
- Isman, M.B.; Miresmailli, S.; Machial, C. Commercial opportunities for pesticides based on plant essential oils in agriculture, industry and consumer products. Phytochem. Rev. 2011, 10, 197–204. [Google Scholar] [CrossRef]
- Martínez, L.C.; Plata-Rueda, A.; Zanuncio, J.C.; Serrão, J.E. Bioactivity of six plant extracts on adults of Demotispa neivai (Coleoptera: Chrysomelidae). J. Insect Sci. 2015, 15, 1–5. [Google Scholar] [CrossRef]
- Amaral, K.D.; Martínez, L.C.; Lima, M.A.P.; Serrão, J.E.; Della Lucia, T.M.C. Azadirachtin impairs egg production in Atta sexdens leaf-cutting ant queens. Environ. Pollut. 2018, 243, 809–814. [Google Scholar] [CrossRef]
- Dev, S. Terpenoids. In Natural Products of Woody Plants; Rowe, J.W., Ed.; Springer: Berlin/Heidelberg, Germany, 1989; pp. 691–807. [Google Scholar]
- Sangwan, N.S.; Farooqi, A.H.A.; Shabih, F.; Sangwan, R.S. Regulation of essential oil production in plants. Plant. Growth Regul. 2001, 34, 3–21. [Google Scholar] [CrossRef]
- Tripathi, P.; Dubey, N.K.; Shukla, A.K. Use of some essential oils as postharvest botanical fungicides in the management of grey mould of grapes caused by Botrytis cinerea. World J. Microbiol. Biotech. 2008, 24, 39–46. [Google Scholar] [CrossRef]
- Prabuseenivasan, S.; Jayakumar, M.; Ignacimuthu, S. In vitro antibacterial activity of some plant essential oils. BMC Complement. Altern. Med. 2006, 6, 39. [Google Scholar] [CrossRef] [PubMed]
- Hajhashemi, V.; Ghannadi, A.; Sharif, B. Anti-inflammatory and analgesic properties of the leaf extracts and essential oil of Lavandula angustifolia Mill. J. Ethnopharmacol. 2003, 89, 67–71. [Google Scholar] [CrossRef]
- Isman, M.B. Botanical insecticides, deterrents, and repellents in modern agriculture and an increasingly regulated world. Annu. Rev. Entomol. 2006, 51, 45–66. [Google Scholar] [CrossRef]
- Zanuncio, J.C.; Mourão, S.A.; Martínez, L.C.; Wilcken, C.F.; Ramalho, F.S.; Plata-Rueda, A.; Serrão, J.E. Toxic effects of the neem oil (Azadirachta indica) formulation on the stink bug predator, Podisus nigrispinus (Heteroptera: Pentatomidae). Sci. Rep. 2016, 6, 30261. [Google Scholar] [CrossRef]
- Plata-Rueda, A.; Martínez, L.C.; Dos Santos, M.H.; Fernandes, F.L.; Wilcken, C.F.; Soares, M.A.; Serrão, J.E.; Zanuncio, J.C. Insecticidal activity of garlic essential oil and their constituents against the mealworm beetle, Tenebrio molitor Linnaeus (Coleoptera: Tenebrionidae). Sci. Rep. 2017, 7, 46406. [Google Scholar] [CrossRef]
- Martínez, L.C.; Plata-Rueda, A.; Colares, H.C.; Campos, J.M.; Dos Santos, M.H.; Fernandes, F.L.; Serrão, J.E.; Zanuncio, J.C. Toxic effects of two essential oils and their constituents on the mealworm beetle, Tenebrio molitor. Bull. Entomol. Res. 2018, 108, 716–725. [Google Scholar] [CrossRef] [PubMed]
- Hummelbrunner, L.A.; Isman, M.B. Acute, sublethal, antifeedant, and synergistic effects of monoterpenoid essential oil compounds on the tobacco cutworm, Spodoptera litura (Lep., Noctuidae). J. Agric. Food Chem. 2001, 49, 715–720. [Google Scholar] [CrossRef] [PubMed]
- Kostyukovsky, M.; Rafaeli, A.; Gileadi, C.; Demchenko, N.; Shaaya, E. Activation of octopaminergic receptors by essential oil constituents isolated from aromatic plants: Possible mode of action against insect pests. Pest. Manag. Sci. 2002, 58, 1101–1106. [Google Scholar] [CrossRef] [PubMed]
- Priestley, C.M.; Williamson, E.M.; Wafford, K.A.; Sattelle, D.B. Thymol, a constituent of thyme essential oil, is a positive allosteric modulator of human GABAA receptors and a homo-oligomeric GABA receptor from Drosophila melanogaster. Br. J. Pharmacol. 2003, 140, 1363–1372. [Google Scholar] [CrossRef]
- Mukherjee, P.K.; Kumar, V.; Mal, M.; Houghton, P.J. Acetylcholinesterase inhibitors from plants. Phytomedicine 2007, 14, 289–300. [Google Scholar] [CrossRef]
- Fiaz, M.; Martínez, L.C.; da Silva Costa, M.; Cossolin, J.F.S.; Plata-Rueda, A.; Gonçalves, W.G.; Sant’Ana, A.E.G.; Zanuncio, J.C.; Serrão, J.E. Squamocin induce histological and ultrastructural changes in the midgut cells of Anticarsia gemmatalis (Lepidoptera: Noctuidae). Ecotoxicol. Environ. Safe. 2018, 156, 1–8. [Google Scholar] [CrossRef]
- Papachristos, D.P.; Stamopoulos, D.C. Repellent, toxic and reproduction inhibitory effects of essential oil vapours on Acanthoscelides obtectus (Say) (Coleoptera: Bruchidae). J. Stored Prod. Res. 2002, 38, 117–128. [Google Scholar] [CrossRef]
- Plata-Rueda, A.; Campos, J.M.; da Silva Rolim, G.; Martínez, L.C.; Dos Santos, M.H.; Fernandes, F.L.; Serrão, J.E.; Zanuncio, J.C. Terpenoid constituents of cinnamon and clove essential oils cause toxic effects and behavior repellency response on granary weevil, Sitophilus granarius. Ecotox. Environ. Safe. 2018, 156, 263–270. [Google Scholar] [CrossRef]
- Niewiada, A.; Nawrot, J.; Szafranek, J.; Szafranek, B.; Synak, E.; Jeleń, H.; Wąsowicz, E. Some factors affecting egg-laying of the granary weevil (Sitophilus granarius L.). J. Stored Prod. Res. 2005, 41, 544–555. [Google Scholar] [CrossRef]
- Nawrot, J.; Gawlak, M.; Szafranek, J.; Szafranek, B.; Synak, E.; Warchalewski, J.R.; Piasecka-Kwiatkowska, D.; Fornal, J. The effect of wheat grain composition, cuticular lipids and kernel surface microstructure on feeding, egg-laying, and the development of the granary weevil, Sitophilus granarius (L.). J. Stored Prod. Res. 2010, 46, 133–141. [Google Scholar] [CrossRef]
- Pimentel, M.A.G.; Faroni, L.R.D.A.; Batista, M.D.; Silva, F.H.D. Resistance of stored-product insects to phosphine. Pesq. Agropec. Bras. 2008, 43, 1671–1676. [Google Scholar] [CrossRef]
- Ketoh, G.K.; Glitho, A.I.; Koumaglo, K.H.; Garneau, F.X. Evaluation of essential oils from six aromatic plants in Togo for Callosobruchus maculatus F. pest control. Int. J. Trop. Insect Sci. 2000, 20, 45–49. [Google Scholar] [CrossRef]
- Olivero-Verbel, J.; Nerio, L.S.; Stashenko, E.E. Bioactivity against Tribolium castaneum Herbst (Coleoptera: Tenebrionidae) of Cymbopogon citratus and Eucalyptus citriodora essential oils grown in Colombia. Pest. Manag. Sci. 2010, 66, 664–668. [Google Scholar] [PubMed]
- Jiang, Z.L.; Akhtar, Y.; Zhang, X.; Bradbury, R.; Isman, M.B. Insecticidal and feeding deterrent activities of essential oils in the cabbage looper, Trichoplusia ni (Lepidoptera: Noctuidae). J. Appl. Entomol. 2012, 136, 191–202. [Google Scholar] [CrossRef]
- Kavallieratos, N.G.; Athanassiou, C.G.; Vayias, B.J.; Mihail, S.B.; Tomanović, Ž. Insecticidal efficacy of abamectin against three stored-product insect pests: Influence of dose rate, temperature, commodity, and exposure interval. J. Econ. Entomol. 2009, 102, 1352–1359. [Google Scholar] [CrossRef]
- Vélez, M.; Barbosa, W.F.; Quintero, J.; Chediak, M.; Guedes, R.N.C. Deltamethrin-and spinosad-mediated survival, activity and avoidance of the grain weevils Sitophilus granarius and S. zeamais. J. Stored Prod. Res. 2017, 74, 56–65. [Google Scholar] [CrossRef]
- Lucchesi, M.E.; Chemat, F.; Smadja, J. Solvent-free microwave extraction of essential oil from aromatic herbs: Comparison with conventional hydro-distillation. J. Chromatogr. A 2004, 1043, 323–327. [Google Scholar] [CrossRef]
- Barbosa, L.C.A.; Pereira, U.A.; Martinazzo, A.P.; Maltha, C.R.A.; Teixeira, R.R.; Melo, E.C. Evaluation of the chemical composition of Brazilian commercial Cymbopogon citratus (D.C.) Stapf samples. Molecules 2008, 13, 1864–1874. [Google Scholar] [CrossRef]
- Andrade, E.H.A.; Zoghbi, M.G.B.; Lima, M.P. Chemical composition of the essential oils of Cymbopogon citratus (DC.) Stapf cultivated in north of Brazil. J. Essent. Oil Bearing Plant. 2009, 12, 41–45. [Google Scholar] [CrossRef]
- Lermen, C.; Morelli, F.; Gazim, Z.C.; Silva, A.P.; Gonçalves, J.E.; Dragunski, D.C.; Alberton, O. Essential oil content and chemical composition of Cymbopogon citratus inoculated with arbuscular mycorrhizal fungi under differentlevels of lead. Ind. Crop. Prod. 2015, 76, 734–738. [Google Scholar] [CrossRef]
- Fiaz, M.; Martínez, L.C.; Plata-Rueda, A.; Gonçalves, W.G.; Shareef, M.; Zanuncio, J.C.; Serrão, J.E. Toxicological and morphological effects of tebufenozide on Anticarsia gemmatalis (Lepidoptera: Noctuidae) larvae. Chemosphere 2018, 212, 237–345. [Google Scholar] [CrossRef] [PubMed]
- Plata-Rueda, A.; Martínez, L.C.; Costa, N.C.R.; Zanuncio, J.C.; Sena Fernandes, M.E.; Serrão, J.E.; Guedes, R.N.C.; Fernandes, F.L. Chlorantraniliprole–mediated effects on survival, walking abilities, and respiration in the coffee berry borer, Hypothenemus hampei. Ecotox. Environ. Safe. 2019, 172, 53–58. [Google Scholar] [CrossRef] [PubMed]
- Fiaz, M.; Martínez, L.C.; Plata-Rueda, A.; Gonçalves, W.G.; Souza, D.L.L.; Cossolin, J.F.S.; Carvalho, P.E.G.R.; Martins, G.F.; Serrão, J.E. Pyriproxyfen, a juvenile hormone analog, damages midgut cells and interferes with behaviors of Aedes aegypti larvae. PeerJ 2019, 7, e7489. [Google Scholar] [CrossRef] [PubMed]
- Plata-Rueda, A.; Martínez, L.C.; Da Silva, B.K.R.; Zanuncio, J.C.; Sena Fernandes, M.E.; Serrão, J.E.; Guedes, R.N.C.; Fernandes, F.L. Exposure to cyantraniliprole causes mortality and disturbs behavioral and respiratory response in the coffee berry borer (Hypothenemus hampei). Pest Manag. Sci. 2019, 75, 2236–2241. [Google Scholar] [CrossRef]
- Finney, D.J. Probit Analysis; Cambridge University Press: Cambridge, UK, 1964; p. 333. [Google Scholar]
- Carlson, L.H.C.; Machado, R.A.F.; Spricigo, C.B.; Pereira, L.K.; Bolzan, A. Extraction of lemongrass essential oil with dense carbon dioxide. J. Supercrit. Fluids 2001, 21, 33–39. [Google Scholar] [CrossRef]
- Loza-Tavera, H. Monoterpenes in essential oils. In Chemicals via Higher Plant Bioengineering; Springer: Boston, MA, USA, 1999; pp. 49–62. [Google Scholar]
- Lerdau, M.; Litvak, M.; Monson, R. Plant chemical defense: Monoterpenes and the growth-differentiation balance hypothesis. Trends Ecol. Evol. 1994, 9, 58–61. [Google Scholar] [CrossRef]
- Tak, J.H.; Jovel, E.; Isman, M.B. Synergistic interactions among the major constituents of lemongrass essential oil against larvae and an ovarian cell line of the cabbage looper, Trichoplusia ni. J. Pest. Sci. 2017, 90, 735–744. [Google Scholar] [CrossRef]
- Brügger, B.P.; Martínez, L.C.; Plata-Rueda, A.; e Castro, B.M.D.C.; Soares, M.A.; Wilcken, C.F.; Carvalho, A.G.; Serrão, J.E.; Zanuncio, J.C. Bioactivity of the Cymbopogon citratus (Poaceae) essential oil and its terpenoid constituents on the predatory bug, Podisus nigrispinus (Heteroptera: Pentatomidae). Sci. Rep. 2019, 9, 8358. [Google Scholar] [CrossRef]
- Machial, C.M.; Shikano, I.; Smirle, M.; Bradbury, R.; Isman, M.B. Evaluation of the toxicity of 17 essential oils against Choristoneura rosaceana (Lepidoptera: Tortricidae) and Trichoplusia ni (Lepidoptera: Noctuidae). Pest Manag. Sci. 2010, 66, 1116–1121. [Google Scholar] [CrossRef]
- Kumar, P.; Mishra, S.; Malik, A.; Satya, S. Housefly (Musca domestica L.) control potential of Cymbopogon citratus Stapf. (Poales: Poaceae) essential oil and monoterpenes (citral and 1, 8-cineole). Parasitol. Res. 2013, 112, 69–76. [Google Scholar] [CrossRef]
- Hernandez-Lambraño, R.; Pajaro-Castro, N.; Caballero-Gallardo, K.; Stashenko, E.; Olivero-Verbel, J. Essential oils from plants of the genus Cymbopogon as natural insecticides to control stored product pests. J. Stored Prod. Res. 2015, 62, 81–83. [Google Scholar] [CrossRef]
- Kim, S.I.; Chae, S.H.; Youn, H.S.; Yeon, S.H.; Ahn, Y.J. Contact and fumigant toxicity of plant essential oils and efficacy of spray formulations containing the oils against B-and Q-biotypes of Bemisia tabaci. Pest Manag. Sci. 2011, 67, 1093–1099. [Google Scholar] [CrossRef] [PubMed]
- de Souza Alves, M.; Campos, I.M.; de Brito, D.D.M.C.; Cardoso, C.M.; Pontes, E.G.; de Souza, M.A.A. Efficacy of lemongrass essential oil and citral in controlling Callosobruchus maculatus (Coleoptera: Chrysomelidae), a post-harvest cowpea insect pest. Crop Prot. 2019, 119, 191–196. [Google Scholar] [CrossRef]
- Keane, S.; Ryan, M.F. Purification, characterisation and inhibition of monoterpenes of acetylcholonesterase from the waxmoth, Galleria melonella. Insect. Biochem. Mol. Biol. 1999, 29, 1097–1104. [Google Scholar] [CrossRef]
- Price, D.N.; Berry, M.S. Comparison of effects of octopamine and insecticidal essential oils on activity in the nerve cord, foregut, and dorsal unpaired median neurons of cockroaches. J. Insect Physiol. 2006, 52, 309–319. [Google Scholar] [CrossRef]
- Samarasekera, R.; Kalhari, K.S.; Weerasinghe, I.S. Insecticidal activity of essential oils of Ceylon Cinnamomum and Cymbopogon species against Musca domestica. J. Essent. Oil Res. 2006, 18, 352–354. [Google Scholar] [CrossRef]
- Lee, D.; Ahn, Y.J. Laboratory and simulated field bioassays to evaluate larvicidal activity of Pinus densiflora hydrodistillate, its constituents and structurally related compounds against Aedes albopictus, Aedes aegypti and Culex pipiens pallens in relation to their inhibitory effects on acetylcholinesterase activity. Insects 2013, 4, 217–229. [Google Scholar]
- Shaaya, E.; Ravid, U.; Paster, N.; Juven, B.; Zisman, U.; Pissarev, V. Fumigant toxicity of essential oils against four major stored-product insects. J. Chem. Ecol. 1991, 17, 499–504. [Google Scholar] [CrossRef]
- Prates, H.T.; Santos, J.P.; Waquil, J.M.; Fabris, J.D.; Oliveira, A.B.; Foster, J.E. Insecticidal activity of monoterpenes against Rhyzopertha dominica (F.) and Tribolium castaneum (Herbst). J. Stored Prod. Res. 1998, 34, 243–249. [Google Scholar] [CrossRef]
- De Araújo, A.M.N.; Faroni, L.R.D.A.; de Oliveira, J.V.; Navarro, D.M.D.A.F.; Breda, M.O.; de França, S.M. Lethal and sublethal responses of Sitophilus zeamais populations to essential oils. J. Pest. Sci. 2017, 90, 589–600. [Google Scholar] [CrossRef]
- Germinara, G.S.; Cristofaro, A.; Rotundo, G. Repellents effectively disrupt the olfactory orientation of Sitophilus granarius to wheat kernels. J. Pest Sci. 2015, 88, 675–684. [Google Scholar] [CrossRef]
- Silva, S.E.; Auad, A.M.; Moraes, J.C.; Alvarenga, R.; Fonseca, M.G.; Marques, F.A.; Santos, N.C.S.; Nagata, N. Olfactory response of Mahanarva spectabilis (Hemiptera: Cercopidae) to volatile organic compounds from forage grasses. Sci. Rep. 2019, 9, 10284. [Google Scholar] [CrossRef] [PubMed]






| Peaks | Component | Ri | Rt | MC | MM | m/z | ID |
|---|---|---|---|---|---|---|---|
| 1 | 6-methylhept-5-en-2-one | 938 | 8.91 | 1.796 | 128 | 121.1 | KI [39,40], MS |
| 2 | Camphene | 958 | 10.8 | 4.709 | 130 | 108.1 | KI [39,41], MS |
| 3 | Limonene | 1030 | 12.4 | 7.552 | 136 | 94.1 | KI [39,40], MS |
| 4 | Nonan-4-ol | 1052 | 14.7 | 3.194 | 142 | 86.1 | KI [39,41], MS |
| 5 | Citronellal | 1125 | 18.5 | 3.213 | 154 | 121.1 | KI [39,40,41], MS |
| 6 | Citronellol | 1136 | 19.8 | 2.245 | 156 | 109.1 | KI [39,40,41], MS |
| 7 | Neral | 1174 | 22.1 | 24.65 | 156 | 95.1 | KI [39,40,41], MS |
| 8 | Geranial | 1179 | 22.5 | 12.36 | 152 | 109.1 | KI [39,40,41], MS |
| 9 | Citral | 1228 | 23.2 | 18.71 | 154 | 123.1 | KI [39,40,41], MS |
| 10 | Geranyl acetate | 1274 | 23.8 | 12.49 | 196 | 137.1 | KI [39,40], MS |
| 11 | β-caryophyllene | 1352 | 28.8 | 2.586 | 204 | 136.1 | KI [39,40], MS |
| 12 | γ-muurolene | 1435 | 29.9 | 1.706 | 204 | 133.1 | KI [39,40], MS |
| 13 | Caryophyllene oxide | 1494 | 33.8 | 1.893 | 220 | 204.1 | KI [39,40], MS |
| Chemical Compound | No. Insects | Lethal Dose | Estimated Dose (µg·insect–1) | 95% Confidence Interval (µg·insect–1) | Slope ± SE | χ2 (p-Value) |
|---|---|---|---|---|---|---|
| Lemongrass essential oil | 150 | LD25 | 2.388 | 1.799–2.955 | 2.956 ± 0.37 | 3.06 (0.63) |
| 150 | LD50 | 4.039 | 3.293–4.943 | |||
| 150 | LD75 | 6.830 | 5.535–9.006 | |||
| 150 | LD90 | 10.95 | 8.408–16.23 | |||
| Citral | 150 | LD25 | 3.969 | 3.031–3.912 | 2.793 ± 0.33 | 6.77 (0.48) |
| 150 | LD50 | 6.921 | 5.632–8.584 | |||
| 150 | LD75 | 12.06 | 9.629–16.30 | |||
| 150 | LD90 | 19.90 | 14.94–30.30 | |||
| Geranyl acetate | 150 | LD25 | 2.459 | 1.894–2.997 | 3.295 ± 0.42 | 2.47 (0.64) |
| 150 | LD50 | 3.939 | 3.252–4.775 | |||
| 150 | LD75 | 6.311 | 5.175–8.208 | |||
| 150 | LD90 | 9.646 | 7.528–13.95 |
© 2020 by the authors. Licensee MDPI, Basel, Switzerland. This article is an open access article distributed under the terms and conditions of the Creative Commons Attribution (CC BY) license (http://creativecommons.org/licenses/by/4.0/).
Share and Cite
Plata-Rueda, A.; Rolim, G.D.S.; Wilcken, C.F.; Zanuncio, J.C.; Serrão, J.E.; Martínez, L.C. Acute Toxicity and Sublethal Effects of Lemongrass Essential Oil and Their Components against the Granary Weevil, Sitophilus granarius. Insects 2020, 11, 379. https://doi.org/10.3390/insects11060379
Plata-Rueda A, Rolim GDS, Wilcken CF, Zanuncio JC, Serrão JE, Martínez LC. Acute Toxicity and Sublethal Effects of Lemongrass Essential Oil and Their Components against the Granary Weevil, Sitophilus granarius. Insects. 2020; 11(6):379. https://doi.org/10.3390/insects11060379
Chicago/Turabian StylePlata-Rueda, Angelica, Gabriela Da Silva Rolim, Carlos Frederico Wilcken, José Cola Zanuncio, José Eduardo Serrão, and Luis Carlos Martínez. 2020. "Acute Toxicity and Sublethal Effects of Lemongrass Essential Oil and Their Components against the Granary Weevil, Sitophilus granarius" Insects 11, no. 6: 379. https://doi.org/10.3390/insects11060379
APA StylePlata-Rueda, A., Rolim, G. D. S., Wilcken, C. F., Zanuncio, J. C., Serrão, J. E., & Martínez, L. C. (2020). Acute Toxicity and Sublethal Effects of Lemongrass Essential Oil and Their Components against the Granary Weevil, Sitophilus granarius. Insects, 11(6), 379. https://doi.org/10.3390/insects11060379

