Next Article in Journal
Evolutionary Patterns of Sex-Biased Genes in Three Species of Haplodiploid Insects
Previous Article in Journal
Phylogeny of Anopheles (Kerteszia) (Diptera: Culicidae) Using Mitochondrial Genes
 
 
Font Type:
Arial Georgia Verdana
Font Size:
Aa Aa Aa
Line Spacing:
Column Width:
Background:
Article

Effects of Prey Distribution and Heterospecific Interactions on the Functional Response of Harmonia axyridis and Aphidius gifuensis to Myzus persicae

1
State Key Laboratory of Crop Stress Biology for Arid Areas, and Key Laboratory of Integrated Pest Management on Crops in Northwestern Loess Plateau of Ministry of Agriculture, College of Plant Protection, Northwest A&F University, Yangling 712100, China
2
Hubei Tobacco Company Enshi State Co., Ltd., Enshi 445000, China
*
Authors to whom correspondence should be addressed.
These authors contributed equally to this work.
Insects 2020, 11(6), 325; https://doi.org/10.3390/insects11060325
Submission received: 1 May 2020 / Revised: 19 May 2020 / Accepted: 23 May 2020 / Published: 26 May 2020

Abstract

Natural enemy guilds normally forage for prey that is patchily distributed simultaneously. Previous studies have investigated the influence of conspecific interactions and prey distribution on the functional response of natural enemies. However, little is known about how prey distribution and heterospecific interactions between natural enemies could affect their foraging efficiency. We examined the effects of prey distribution (aggregate and uniform) and heterospecific interactions on the functional response of a predator, Harmonia axyridis (Pallas) (Coleoptera: Coccinellidae) and a parasitoid, Aphidius gifuensis Ashmead (Hymenoptera: Braconidae) to the green peach aphid, Myzus persicae (Sulzer) (Hemiptera: Aphididae). Type II functional responses were observed in all experiments. Functional response curves of single H. axyridis or A. gifuensis were higher in the aggregate treatment than in the uniform treatment when aphid densities were between 40–180 or 70–170, respectively. When comparing between aggregate and uniform treatments with the heterospecific enemy occurrence, no differences were found in the parasitism efficiency of A. gifuensis, while H. axyridis consumed more aphids in the aggregate treatment than in the uniform treatment when aphid densities were between 50–230. The functional response of individual H. axyridis was not affected by A. gifuensis under two aphid distributions. However, the functional response of a single A. gifuensis and the treatment when A. gifuensis concurrently with H. axyridis overlapped in uniform treatment of above approximately 150 aphids. Our results indicate that the predation rate of H. axyridis was affected by aphid distribution, but was not affected by heterospecific interactions. The parasitism rate of A. gifuensis was affected by aphid distribution, and by heterospecific interactions in both the aggregate and uniform treatments. Thus, to optimize the management efficiency of M. persicae, the combined use of H. axyridis and A. gifuensis should be considered when M. persicae is nearly uniformly distributed under relatively high density.

1. Introduction

Biological control by natural enemies is an environment-friendly and effective approach in regulating pest population, and it has received increasing research interest and has long been applied as part of integrated pest management (IPM) strategies [1,2,3]. In most ecosystems, pest species are often associated with multiple natural enemies, and more and more biological control programs have used more than one species of natural enemies [4,5,6]. However, the effect of multiple enemies in regulating prey populations cannot be predicted simply as an additive outcome from the evaluation of the independent effects of each natural enemy [7,8,9]. When combined, multiple enemies are involved in complex interactions, such as predator interference, cannibalism, parasitoid avoidance behavior, and intraguild interactions [6,10,11,12,13]. In such cases, the heterospecific interactions among the foraging enemies may reduce their per capita search activity and attack efficiency at a given host density. However, few studies included the consequences of these interactions on the control efficiency of natural enemies when sharing the same resources in multiple enemy systems [14,15].
Evaluating the functional response, which is the relationship between prey density and the number of prey killed by a natural enemy, is a common method to interpret enemy-pest interactions [16,17,18,19]. The functional response could be used to evaluate population dynamics and the prey suppression ability of an agent [17,20,21], and therefore it may provide insight into the mechanisms of enemy-prey interactions and how natural enemies affect pest populations [22,23].
In multiple enemy systems, previous studies on the functional response of single enemy species on prey populations have mostly been conducted under simple experimental arenas [14,15]. However, most prey populations are patchily distributed in the field [24,25,26]. Prey distribution could affect the foraging outcome of a natural enemy through affecting the foraging efficiency of the natural enemy that exhibits random searching pattern, because the natural enemy may waste time in patches where prey resources are scarce [27,28]. In addition, previous studies found that natural enemies were attracted to high prey density patches [29,30], and several enemy species are frequently observed exploiting the same patches of prey simultaneously [31,32]. This means that prey aggregation may increase the multiple enemy competition for food-rich patches, which may result in decreased kill rates [33]. Moreover, the dominant predator species can prevent subordinates from foraging effectively when these enemies share prey that are aggregated in a few sites. Therefore, prey aggregation may lead to a further decline in the per capita kill rate [33]. Previous studies have investigated the influence of conspecific interactions and prey distribution on the functional response of Anax junius (Odonata: Aeshnidae), in which the per capita kill rate was reduced at low prey: predator ratios in aggregate prey treatment [33]. However, the effects of prey distribution and heterospecific interactions on the functional response of multiple enemies remain largely unknown.
The green peach aphid, Myzus persicae (Sulzer) (Hemiptera: Aphididae), is a serious pest of different crops in a wide range of agroecosystems in China and induces severe damage [34]. Moreover, M. persicae has various spatial distributions in the field [35]. Aphidius gifuensis Ashmead (Hymenoptera: Braconidae) and Harmonia axyridis (Pallas) (Coleoptera: Coccinellidae), which are already present in China and are associated with M. persicae [36,37]. Aphidius gifuensis, a solitary koinobiont endoparasitoid, is a commonly augmented specialist parasitoid in regulating aphids, including M. persicae [37,38]. Harmonia axyridis is a generalist predator extensively employed as an effective biological control agent against aphids in various cropping systems [39,40]. Studies have investigated the aphid parasitism/predatory capacity of A. gifuensis or H. axyridis in simple experimental arenas [41,42,43]. In addition, previous studies have evaluated the functional response of H. axyridis under different prey distributions [44], or with con- and heterspecific generalist predators in single plant [45]. However, to our knowledge, although there are observations for H. axyridis and A. gifuensis to overlap and compete for resources in various habitats where M. persicae was a pest [46], no previous studies have evaluated how prey distribution and heterospecific interactions could affect their predatory or parasitism efficiency when sharing the same prey species.
In our study, we first investigated the functional response of single H. axyridis or A. gifuensis to densities of M. persicae under different prey distributions. Then, we assessed the effects of prey distribution and heterospecific interactions on the functional response of H. axyridis or A. gifuensis. We hypothesized that when H. axyridis and A. gifuensis co-occurred, parasitism rate of A. gifuensis will be reduced in the aggregate treatment compared with uniform treatment. A better understanding of the heterospecific interactions between natural enemies under different prey distributions may provide a framework to understand population dynamics of each natural enemy species and guide strategies to increase the efficacy of combining these two natural agents in biological control programs.

2. Material and Methods

2.1. Plants and Insects

Chili pepper plants (Capsicum annuum L., var. ‘Shulahuojian F1′, six-week-old and around 12 cm in height) were used for rearing aphids or preparing for the experiments. Myzus persicae, A. gifuensis, and H. axyridis were originally collected from chili pepper and cabbage fields at the Experimental Farm (108°04′18″ E, 34°17′52″ N), Northwest A&F University (Yangling, Shaanxi, China) in July 2014. Myzus persicae were maintained on chili pepper plants; A. gifuensis were originally obtained from M. persicae and cultured for at least 12 generations on M. persicae on chili pepper plants. Harmonia axyridis males and females were paired in Petri dishes (3 cm in diameter) and fed with M. persicae to allow mating and oviposition. Newly hatched H. axyridis larvae were reared individually in 3-cm Petri dishes and provided with an excess of M. persicae daily until they reached the pupal stage. Harmonia axyridis adults that emerged within 24 h were isolated and the naïve 2–3-days old unmated female adults were used in all subsequent experiments. All insect colonies and the experiments were maintained in a controlled insectary at 25 ± 1 °C, 65 ± 5% RH and a 16:8 h (L:D) photoperiod.

2.2. Functional Response of Single Predators or Parasitoids

For each predator or parasitoid species, we first measured the predation/parasitism rate of a single adult female consuming or parasitizing M. persicae on chili pepper plants. Third instar aphid nymphs were used in all experiments to avoid aphid nymph production by adults. To create third instar aphid nymphs, a pepper leaf disc (3 cm in diameter) was placed on the bottom of a small Petri dish (3 cm in diameter) with 1% agar gel. Twenty M. persicae adults were introduced in each Petri dish and removed after 24 h. The newborn aphid nymphs were maintained in the Petri dish for another 24 h. Newly molted second-instar nymphs were transferred to new leaf disks and all younger nymphs and the ecdyses were discarded. Aphid nymphs were kept and were used when they grew to the third instar.
Four chili pepper plants were arranged randomly to each ventilated cage (30 × 30 × 30 cm). Each experimental cage received 4, 8, 16, 32, 64, 128, or 256 third-instar aphid nymphs. Aphids were introduced at the bottom of the stem of the chili pepper plant and allowed to acclimate for 1 h. For the aggregation treatment, all aphids were randomly allocated on one of these plants. However, for the uniform treatment, aphids were divided evenly among four plants.
Prior to the experiment, unmated adult female H. axyridis were individually transferred from the stock culture into Petri dishes (3 cm in diameter) for 24 h to standardize their hunger level. During this time, a water-saturated cotton ball was placed in each Petri dish to provide moisture. For the parasitoid, A. gifuensis mummies were collected from plants with a fine camel hair brush and placed in plastic cylindrical cages (12 cm in height by 7 cm in diameter) with 10% honey solution and inspected at regular intervals. All male and female parasitoids that emerged on the same day were placed in new plastic cylindrical cages for 24 h, and the parasitoids were left undisturbed to ensure female mating. Generally, adult males and females normally mated a few hours after emergence [37]. Mated females were used in the experiments.
Then, H. axyridis or A. gifuensis were placed individually in the center of each cage. After 24 h, predators or parasitoids were removed from the cage. For the predator treatment, the number of aphids consumed was recorded. For the parasitoid treatment, the number of parasitoid mummies was recorded after 10 days. The experiment was replicated 10 times for each treatment.

2.3. Functional Response of Paired Heterospecific Enemies

Starved H. axyridis adults and A. gifuensis mated females were prepared using the same procedures as described in the relevant sections, and the aphid density and distribution used were the same as described above. One H. axyridis adult and one A. gifuensis female were introduced to each cage. After 24 h, predators and parasitoids were removed from the experimental cages and the number of aphids preyed upon by predators was recorded. Moreover, the number of parasitoid mummies was recorded after 10 days. The experiment was replicated 10 times for each treatment.
For both the two experiments above, aphids were not replaced during the experiment. In addition, under two aphid distributions, a control treatment without predators and parasitoids was conducted with five replications for each aphid density (4, 8, 16, 32, 64, 128, or 256) to assess natural mortality rates by counting the dead aphids.

2.4. Data Analysis

All analyses were conducted using the statistical software R [47]. To evaluate the type of functional response that best fitted the data in the different experiments, a model selection and hypothesis testing was used [48]. For model selection, a logistic regression of the number of prey killed was used to identify the type of functional responses fitted with the maximum likelihood (ML) procedure. Significant negative or positive linear coefficients from the regression suggest type II or III responses, respectively [48]. When a significant negative linear coefficient from logistic regression was found, the data were then fitted to a type II functional response curve with ML estimation using the random predator Equation (1) [49], which allows for prey depletion:
Ne = N0[1 − exp(aThNeaT]
where Ne is the number of prey eaten, N0 is the initial prey density, a is the attack rate, Th is the handling time, and T is the total experimental duration (24 h). To compare functional response fits between natural enemies, the functional response fits were non-parametrically bootstrapped (n = 2000) to generate 95% confidence intervals (CIs) around functional response curves and the associated parameters. Equation (1) was then fitted to the bootstrapped dataset with initial parameter values that were estimated from the original ML estimates. The overlap between confidence intervals indicates that the functional responses and/or the corresponding parameters were not significantly different. Analysis of the observed functional responses modeling was carried out with the ‘frair’ package [50].
Data from trials of single H. axyridis, single A. gifuensis, and individual H. axyridis or A. gifuensis in heterospecific combination were analyzed with a generalized linear mixed model (GLMM) (glmer function in the lme4 package) with a binomial distribution. The dependent variables were the number of aphids killed, and the explanatory variables were aphid density and their distributions. Natural enemies tested in each replicate was treated as an observation-level random effect.

3. Results

In control treatments, aphid survival in both types of distribution treatment exceeded 98.5% in ventilated cages, and thus aphid’s natural mortality did not attribute to background mortality.

3.1. Functional Response of Single Predators or Parasitoids

Significant negative linear terms were detected from logistic regressions for both treatments. This indicated a type II functional response for single H. axyridis or A. gifuensis (Table 1). The attack rates and handling times of the functional response models were all significant (Table 1).
For single H. axyridis treatment, we found that aphid density, aphid distribution, and the interaction between aphid density and aphid distribution had a significant effect on aphid consumption by H. axyridis adults (Table 2). Functional response curves overlapped at aphid densities below 40 and above 180 between aggregate and uniform treatment (Figure 1a). For single A. gifuensis treatment, the aphid density, aphid distribution, and the interaction between aphid density and aphid distribution significantly affected the number of aphids parasitized by female A. gifuensis (Table 2). Functional responses of aggregate and uniform treatments overlapped at aphid densities below 70 and above 170 (Figure 1b).

3.2. Functional Response of Paired Heterospecific Enemies

Both H. axyridis and A. gifuensis exhibited type II functional responses when heterospecific enemy species were present (Table 1). The attack rates and handling times of the functional response models were all significant (Table 1).
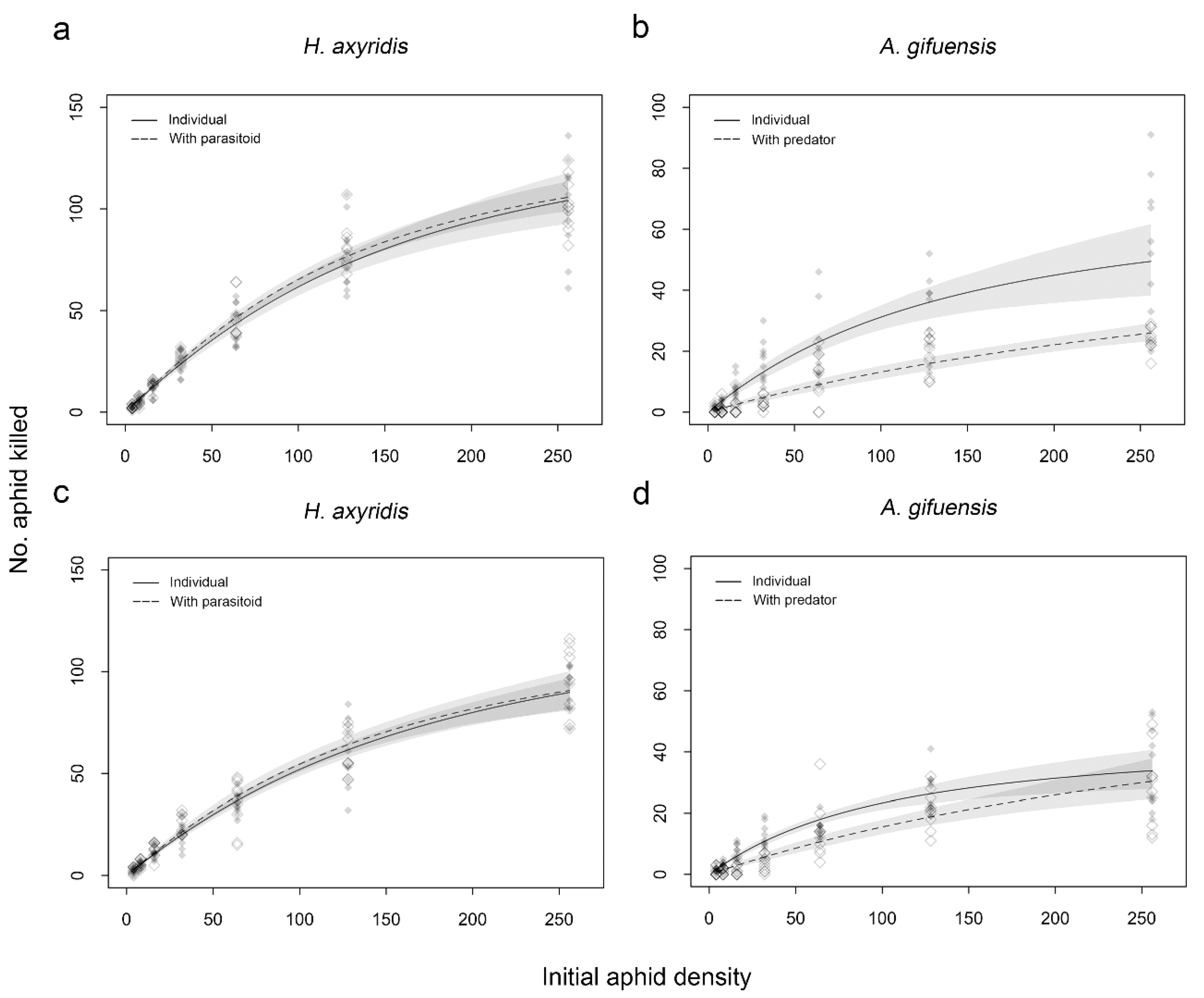
The number of aphids consumed by H. axyridis was affected by aphid density, aphid distribution, and the interaction between aphid density and aphid distribution when A. gifuensis was present (Table 2). In the heterospecific enemy combination, more aphids were consumed by H. axyridis in the aggregate treatment than in the uniform treatment when aphid density was between 50 and 230 aphids (Figure 2a). As for A. gifuensis, there was a significant effect of aphid density on the number of aphids parasitized by female A. gifuensis when H. axyridis was present (Table 2). When H. axyridis occurred, functional response of A. gifuensis overlapped across all prey densities between aggregate and uniform treatment (Figure 2b).
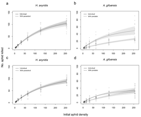
Functional response curves were overlapped between the treatment where H. axyridis was alone and the treatment where H. axyridis was sharing the experimental patch with A. gifuensis for aggregate and uniform treatments, respectively (Figure 3a,c). Inversely, differences in functional response between the treatment where A. gifuensis was alone and the treatment where A. gifuensis was sharing the experimental patch with H. axyridis were detected in the aggregation or uniform treatment at aphid densities below 150, respectively (Figure 3b,d).

4. Discussion

In this study, aphid killed rates declined with increasing aphid densities in all cases. Logistic regression analysis indicated that the data from all treatments could fit the type II functional response curve statistically. The type II functional response is common in aphid predators and parasitoids [51,52]. For type II functional response, the unstable enemy-pest dynamic is likely to occur because the predation/parasitism rate would decrease with increasing prey density. Therefore, predators or parasitoids that exhibit type II functional response often cause prey extinction at low densities, but do not affect the prey populations at high prey densities [21,53]. When predators or parasitoids with type II response are applied in biological control systems, a high enemy-pest ratio is necessary to achieve effective pest suppression [2].
In this study, we found that both the killed rates of single H. axyridis and A. gifuensis were affected by prey distribution. Our results are similar to that of Feng et al. [44]. Single H. axyridis or A. gifuensis exhibited higher functional response curves in the aggregate treatment than in the uniform treatment at aphid densities between 40–180 or 70–170, respectively. The possible explanation is that H. axyridis or A. gifuensis may have enough searching time in a 24-h foraging period, enabling H. axyridis or A. gifuensis to encounter, consume or parasitize more aphids when aphid densities were low. With increasing aphid density, both H. axyridis and A. gifuensis may reveal area-restricted foraging behavior in the aggregate treatment like other predators and parasitoids [30,53]. However, when H. axyridis or A. gifuensis are foraging in patches with prey uniformly distributed, they may move more frequently between patches and spend more time in their searching process, and thus decrease aphid predation/parasitism. However, the majority of insect predators are digestion-limited, and the digestion process could affect their foraging efficiency [44]. For H. axyridis, this means that they digest prey slower than they handle them. Therefore, aphid consumption by H. axyridis in two aphid distributions did not differ significantly when aphid densities were above 180. As for A. gifuensis, the parasitism capacity may be limited by the parasitoid egg number in their body like other parasitoids [54], which did not increase parasitism efficiency with aphid density increased to around 170 in either aphid distributions.
Prey distribution could affect the functional response of H. axyridis when A. gifuensis was present. The reasons for the results may be similar to the single H. axyridis treatment. However, the number of aphids parasitized by A. gifuensis sharing the same experimental unit with H. axyridis was not affected by aphid distribution. These results differ from our initial hypothesis. Previous studies found that predators and parasitoids may reveal area-restricted foraging behavior in high prey quality patches [26,33,44], which may increase the antagonistic and intraguild interaction strength between H. axyridis and A. gifuensis. In our experiment, when H. axyridis was present, there was a trend towards increasing the number of aphids parasitized by A. gifuensis in the uniform treatment compared with aggregate treatment, but the differences were not significant. This might be due to the complementary resource use and partition resources by predators and parasitoids [55,56]. In resource partitioning, natural enemy species consume different subpopulations of prey so that a greater proportion of the total prey populations can be exploited by multispecies communities [6,57,58,59,60]. In the present study, H. axyridis and A. gifuensis maybe partitioning resources across other, unexplored niche axes, and thus did not affect the parasitism efficiency across all aphid densities in the aggregate treatment compared with uniform treatment. Future studies are needed to consider this possibility and explore the mechanisms.
The number of aphids consumed by H. axyridis was not affected by the presence of A. gifuensis compared with single H. axyridis across all aphid densities under two aphid distributions. In fact, the estimated handling times and attack rates of H. axyridis were similar, independently of the presence of A. gifuensis. Previous studies found that female H. axyridis did not exhibit any preference for unparasitized Aphis glycines Matsumura and aphids parasitized by Aphelinus certus Yasnosh [61]. Accordingly, it is possible that H. axyridis did not exhibit a preference between unparasitized M. persicae and parasitized aphids. Nevertheless, parasitoid progeny survivorship was higher in the treatment where A. gifuensis was alone in the aggregate treatment or at aphid densities below 150 in the uniform treatment than in the treatment when A. gifuensis was sharing the same unit with H. axyridis. This means that intraguild interactions occurred between H. axyridis and A. gifuensis. Previous studies found that predators would feed on more prey with increasing levels of prey aggregation because they prefer patches with higher prey densities [30,53]. This may increase the predation rate of H. axyridis on parasitized aphids when all prey were aggregated in one plant. On the aphid uniform treatment, H. axyridis could have enough searching time in the 24-h exposure period when aphid densities were low. With aphid density increasing, H. axyridis may move more frequently between patches and spend more time on foraging prey, and then the encounter probability between the predator and parasitized aphid starts to drop off. This may increase the possibility of A. gifuensis progeny survivorship in the uniform treatment when aphid densities were high.

5. Conclusions

In the current study, density dependent predation rate of H. axyridis was affected by aphid distribution, but not influenced by heterospecific interactions. The parasitism rate of A. gifuensis was affected by aphid distribution, and by heterospecific interactions in both the aggregate and uniform treatments. Therefore, to optimize the management efficiency of M. persicae, the combined use of H. axyridis and A. gifuensis would be appropriate when M. persicae is nearly uniformly distributed under relative high density. Previous studies found that multiple natural enemies could show an additive control efficiency when intraguild predation did not occur [62]. To optimize the efficiency of pest suppression when using multiple enemies, it is essential to evaluate the pest density thresholds at which mortality caused by two types of natural enemies changes from nonadditive to additive under different prey distributions. However, given the effect of laboratory rearing on the parasitoid foraging efficiency [63], heterospecific interactions of these two natural enemies under field conditions may differ from the laboratory results. Therefore, more studies are needed to investigate the effects of various types of factors that might affect the interactions and control efficiency of A. gifuensis or H. axyridis. In addition, further long-term studies are required to assess how H. axyridis may affect the long-term population abundance and dynamics of A. gifuensis under field conditions.

Author Contributions

X.-L.Y., Y.F. and T.-X.L. designed the experiment; X.-L.Y., R.T., B.W. and Y.F. performed the experiments, analyzed the data, and conducted statistical analyses; X.-L.Y., Y.F., P.-L.X. and T.-X.L. wrote, reviewed and edited the paper; Y.F., P.-L.X. and T.-X.L. write the project proposal to get the funding supported the study. All authors have read and agreed to the published version of the manuscript.

Funding

This study was supported by the National Natural Science Foundation of China (No. 31272089) and China Agriculture Research System (No. CARS-25-B-06) to Tong-Xian Liu, the Young Scientists Fund of the Natural Science Foundation of China (No. 31601691) to Y.F., and Key Research and development fund of China National Tobacco Corporation 110201901038 (LS-01) to P.-L.X.

Acknowledgments

We are grateful for the assistance of all the members in the Key Laboratory of Applied Entomology, Northwest A&F University at Yangling, Shaanxi, China and the support of the 2018 Research and development fund of Hubei Tobacco company: 027Y2018-025.

Conflicts of Interest

The authors have no conflict of interest to declare.

References

  1. Bloemhard, C.M.J.; Ramakers, P.M.J. Strategies for aphid control in organically grown sweet pepper in the Netherlands. IOBC/WPRS 2008, 32, 25–28. [Google Scholar]
  2. van Lenteren, J.C. The state of commercial augmentative biological control: Plenty of natural enemies, but a frustrating lack of uptake. BioControl 2012, 57, 1–20. [Google Scholar] [CrossRef]
  3. Barratt, B.I.P.; Moran, V.C.; Bigler, F.; van Lenteren, J.C. The status of biological control and recommendations for improving uptake for the future. BioControl 2018, 63, 155–167. [Google Scholar] [CrossRef]
  4. Straub, C.S.; Snyder, W.E. Increasing enemy biodiversity strengthens herbivore suppression on two plant species. Ecology 2008, 89, 1605–1615. [Google Scholar] [CrossRef]
  5. Gontijo, L.M.; Beers, E.H.; Snyder, W.E. Complementary suppression of aphids by predators and parasitoids. Biol. Control 2015, 90, 83–91. [Google Scholar] [CrossRef]
  6. Snyder, W.E. Give predators a complement: Conserving natural enemy biodiversity to improve biocontrol. Biol. Control 2019, 135, 73–82. [Google Scholar] [CrossRef]
  7. Snyder, W.E.; Ives, A.R. Interactions between specialist and generalist natural enemies: Parasitoids, predators, and pea aphid biocontrol. Ecology 2003, 84, 91–107. [Google Scholar] [CrossRef]
  8. Michaelides, G.; Sfenthourakis, S.; Pitsillou, M.; Seraphides, N. Functional response and multiple predator effects of two generalist predators preying on Tuta absoluta eggs. Pest Manag. Sci. 2018, 74, 332–339. [Google Scholar] [CrossRef]
  9. Schmitz, O.J. Effects of predator functional diversity on grassland ecosystem function. Ecology 2009, 90, 2339–2345. [Google Scholar] [CrossRef]
  10. Frago, E.; Godfray, H.C.J. Avoidance of intraguild predation leads to a long-term positive trait-mediated indirect effect in an insect community. Oecologia 2014, 174, 943–952. [Google Scholar] [CrossRef]
  11. Rocca, M.; Rizzo, E.; Greco, N.; Sánchez, N. Intra- and interspecific interactions between aphidophagous ladybirds: The role of prey in predator coexistence. Entomol. Exp. Appl. 2017, 162, 284–292. [Google Scholar] [CrossRef]
  12. Lang, B.; Rall, B.C.; Brose, U. Warming effects on consumption and intraspecific interference competition depend on predator metabolism. J. Anim. Ecol. 2012, 81, 516–523. [Google Scholar] [CrossRef] [PubMed]
  13. Messelink, G.J.; Sabelis, M.W.; Janssen, A. Generalist predators, food web complexities and biological pest control in greenhouse crops. In Integrated Pest Management and Pest Control-Current and Future Tactics; Larramendy, M.L., Soloneski, S., Eds.; InTech: Rijeka, Croatia, 2012; pp. 191–214. [Google Scholar]
  14. Vanaclocha, P.; Papacek, D.; Monzó, C.; Verdú, M.J.; Urbaneja, A. Intra-guild interactions between the parasitoid Aphytis lingnanensis and the predator Chilocorus circumdatus: Implications for the biological control of armoured scales. Biol. Control 2013, 65, 169–175. [Google Scholar] [CrossRef]
  15. Martinou, A.F.; Raymond, B.; Milonas, P.G.; Wright, D.J. Impact of intraguild predation on parasitoid foraging behaviour. Ecol. Entomol. 2010, 35, 183–189. [Google Scholar] [CrossRef]
  16. Lipcius, R.N.; Hines, A.H. Variable functional responses of a marine predator in dissimilar homogeneous microhabitats. Ecology 1986, 67, 1361–1371. [Google Scholar] [CrossRef]
  17. Fernández-arhex, V.; Corley, J.C. The functional response of parasitoids and its implications for biological control. Biocontrol Sci. Technol. 2003, 13, 403–413. [Google Scholar] [CrossRef]
  18. Okuyama, T. On selection of functional response models: Holling’s models and more. BioControl 2013, 58, 293–298. [Google Scholar] [CrossRef]
  19. Dick, J.T.A.; Alexander, M.E.; Jeschke, J.M.; Ricciardi, A.; MacIsaac, H.J.; Robinson, T.B.; Kumschick, S.; Weyl, O.L.F.; Dunn, A.M.; Hatcher, M.J.; et al. Advancing impact prediction and hypothesis testing in invasion ecology using a comparative functional response approach. Biol. Invasions 2014, 16, 735–753. [Google Scholar] [CrossRef]
  20. Solomon, M.E. The natural control of animal populations. J. Anim. Ecol. 1949, 18, 1–35. [Google Scholar] [CrossRef]
  21. Murdoch, W.W.; Oaten, A. Predation and population stability. Adv. Ecol. Res. 1975, 9, 1–131. [Google Scholar]
  22. Holling, C.S. Some characteristics of simple types of predation and parasitism. Can. Entomol. 1959, 91, 385–398. [Google Scholar] [CrossRef]
  23. Holling, C.S. The functional response of invertebrate predators to prey density. Mem. Ent. Soc. Can. 1966, 98, 5–86. [Google Scholar] [CrossRef]
  24. Verheggen, F.J.; Vogel, H.; Vilcinskas, A. Behavioral and immunological features promoting the invasive performance of the harlequin ladybird Harmonia axyridis. Front. Ecol. Evol. 2017, 5, 156. [Google Scholar] [CrossRef]
  25. Ritchie, M.E. Scale-dependent foraging and patch choice in fractal environments. Evol. Ecol. 1998, 12, 309–330. [Google Scholar] [CrossRef]
  26. Yazdani, M.; Keller, M. Mutual interference in Dolichogenidea tasmanica (Cameron) (Hymenoptera: Braconidae) when foraging for patchily-distributed light brown apple moth. Biol. Control 2015, 86, 1–6. [Google Scholar] [CrossRef]
  27. Hassell, M.P.; May, R.M. Stability in insect host-parasite models. J. Anim. Ecol. 1973, 42, 693–726. [Google Scholar] [CrossRef]
  28. Ives, A.R. Continuous-time models of host-parasitoid interactions. Am. Nat. 1992, 140, 1–29. [Google Scholar] [CrossRef] [PubMed]
  29. Wajnberg, É. Time allocation strategies in insect parasitoids: From ultimate predictions to proximate behavioral mechanisms. Behav. Ecol. Sociobiol. 2006, 60, 589–611. [Google Scholar] [CrossRef]
  30. Kareiva, P. Population dynamics in spatially complex environments: Theory and data. Philos. Trans. R. Soc. B 1990, 330, 175–190. [Google Scholar]
  31. Godfray, H.C.J. Host location. In Parasitoids: Behavioral and Evolutionary Ecology; Princeton University Press: New Jersey, NJ, USA, 1994; pp. 26–81. [Google Scholar]
  32. Zhou, H.; Yu, Y.; Tan, X.; Chen, A.; Feng, J. Biological control of insect pests in apple orchards in China. Biol. Control 2014, 68, 47–56. [Google Scholar] [CrossRef]
  33. Hossie, T.J.; Murray, D.L. Spatial arrangement of prey affects the shape of ratio-dependent functional response in strongly antagonistic predators. Ecology 2016, 97, 834–841. [Google Scholar] [CrossRef] [PubMed]
  34. Wang, S.Y.; Chi, H.; Liu, T.X. Demography and parasitic effectiveness of Aphelinus asychis reared from Sitobion avenae as a biological control agent of Myzus persicae reared on chili pepper and cabbage. Biol. Control 2016, 92, 111–119. [Google Scholar] [CrossRef]
  35. Xia, P.; Liu, Y.; Fan, J.; Tan, J. Geostatistical analysis on distribution dynamics of Myzus persicae (Sulzer) in flue-cured tobacco field. J. Appl. Ecol. 2015, 26, 548–554. [Google Scholar]
  36. Wang, S.; Zhang, R.Z.; Zhang, F. Research progress on biology and ecology of Harmonia axyridis Pallas (Coleoptera: Coccinellidae). J. Appl. Ecol. 2007, 18, 2117–2126. [Google Scholar]
  37. Pan, M.Z.; Liu, T.X. Suitability of three aphid species for Aphidius gifuensis (Hymenoptera: Braconidae): Parasitoid performance varies with hosts of origin. Biol. Control 2014, 69, 90–96. [Google Scholar] [CrossRef]
  38. Pan, M.Z.; Wang, L.; Zhang, C.Y.; Zhang, L.X.; Liu, T.X. The influence of feeding and host deprivation on egg load and reproduction of an aphid parasitoid, Aphidius gifuensis (Hymenoptera: Braconidae). Appl. Entomol. Zool. 2017, 52, 255–263. [Google Scholar] [CrossRef]
  39. Koch, R.L. The multicolored Asian lady beetle, Harmonia axyridis: A review of its biology, uses in biological control, and non-target impacts. J. Insect Sci. 2003, 3, 32. [Google Scholar] [CrossRef]
  40. Berkvens, N.; Bonte, J.; Berkvens, D.; Deforce, K.; Tirry, L.; De Clercq, P. Pollen as an alternative food for Harmonia axyridis. In From Biological Control to Invasion: The Ladybird Harmonia axyridis as a Model Species; Roy, H.E., Wajnberg, E., Eds.; Springer: Dordrecht, The Netherlands, 2007; pp. 201–210. [Google Scholar]
  41. Ohta, I.; Ohtaishi, M. Fertility, longevity and intrinsic rate of increase of Aphidius gifuensis Ashmead (Hymenoptera: Braconidae) on the green peach aphid, Myzus persicae (Sulzer) (Homoptera: Aphididae). Appl. Entomol. Zool. 2004, 39, 113–117. [Google Scholar] [CrossRef]
  42. Lee, J.H.; Kang, T.J. Functional response of Harmonia axyridis (Pallas) (Coleoptera: Coccinellidae) to Aphis gossypii Glover (Homoptera: Aphididae) in the laboratory. Biol. Control 2004, 31, 306–310. [Google Scholar] [CrossRef]
  43. Seko, T.; Miura, K. Functional response of the lady beetle Harmonia axyridis (Pallas) (Coleoptera: Coccinellidae) on the aphid Myzus persicae (Sulzer) (Homoptera: Aphididae). Appl. Entomol. Zool. 2008, 43, 341–345. [Google Scholar] [CrossRef]
  44. Feng, Y.; Zhou, Z.X.; An, M.R.; Yu, X.L.; Liu, T.X. The effects of prey distribution and digestion on functional response of Harmonia axyridis (Coleoptera: Coccinellidae). Biol. Control 2018, 124, 74–81. [Google Scholar] [CrossRef]
  45. Feng, Y.; Zhou, Z.X.; An, M.R.; Li, Y.D.; Liu, Z.G.; Wang, L.L.; Ren, J.Z.; Liu, T.X. Conspecific and heterospecific interactions modify the functional response of Harmonia axyridis and Propylea japonica to Aphis citricola. Entomol. Exp. Appl. 2018, 166, 873–882. [Google Scholar] [CrossRef]
  46. Lü, X.K.; Xu, X.; Ma, L.; Liu, Q.; Chen, G.H.; Li, Q. Study on characteristics and dynamics of arthropod community in corn field of Zhaotong, Yunnan. J. Environ. Entomol. 2013, 35, 707–712. [Google Scholar]
  47. Core Team, R. R: A Language and Environment for Statistical Computing; R Foundation for Statistical Computing: Vienna, Austria, 2019. [Google Scholar]
  48. Juliano, S. Non-linear curve fitting: Predation and functional response curves. In Design and Analysis of Ecological Experiments; Scheiner, S.M., Gurevitch, J., Eds.; Oxford University Press: New York, NY, USA, 2001; pp. 178–196. [Google Scholar]
  49. Rogers, D. Random search and insect population models. J. Anim. Ecol. 1972, 41, 369–383. [Google Scholar] [CrossRef]
  50. Pritchard, D.; Barrios-O’Neill, D.; Bovy, H.; Paterson, R.; Pritchard, M.D. Frair: Functional response analysis in R. R Package Version 0.4. 2017. Available online: http://CRAN.R-project.org/package=frair (accessed on 10 August 2019).
  51. Frewin, A.J.; Xue, Y.; Welsman, J.A.; Broadbent, A.B.; Schaafsma, A.W.; Hallett, R.H. Development and parasitism by Aphelinus certus (Hymenoptera: Aphelinidae), a parasitoid of Aphis glycines (Hemiptera: Aphididae). Environ. Entomol. 2010, 39, 1570–1578. [Google Scholar] [CrossRef][Green Version]
  52. Atlıhan, R.; Kaydan, M.B.; Yarımbatman, A.; Okut, H. Functional response of the coccinellid predator Adalia fasciatopunctata reveliereito walnut aphid (Callaphis juglandis). Phytoparasitica 2010, 38, 23–29. [Google Scholar] [CrossRef]
  53. Hassell, M.P. Non-Random Search. In The Dynamics of Arthropod Predator-Prey Systems; Princeton University Press: New Jersey, NJ, USA, 1978; pp. 50–80. [Google Scholar]
  54. Dieckhoff, C.; Theobald, J.C.; Wäckers, F.L.; Heimpel, G.E. Egg load dynamics and the risk of egg and time limitation experienced by an aphid parasitoid in the field. Ecol. Evol. 2014, 4, 1739–1750. [Google Scholar] [CrossRef]
  55. Borer, E.T.; Murdoch, W.W.; Swarbrick, S.L. Parasitoid coexistence: Linking spatial field patterns with mechanism. Ecology 2004, 85, 667–678. [Google Scholar] [CrossRef]
  56. Frago, E. Interactions between parasitoids and higher order natural enemies: Intraguild predation and hyperparasitoids. Curr. Opin. Insect Sci. 2016, 14, 81–86. [Google Scholar] [CrossRef]
  57. Loreau, M.; Naeem, S.; Inchausti, P.; Bengtsson, J.; Grime, J.P.; Hector, A.; Hooper, D.U.; Huston, M.A.; Raffaelli, D.; Schmid, B.; et al. Biodiversity and ecosystem functioning: Current knowledge and future challenges. Science 2001, 294, 804–808. [Google Scholar] [CrossRef]
  58. Tilman, D.; Reich, P.B.; Knops, J.; Wedin, D.; Mielke, T.; Lehman, C. Diversity and productivity in a long-term grassland experiment. Science 2001, 294, 843–845. [Google Scholar] [CrossRef] [PubMed]
  59. Casula, P.; Wilby, A.; Thomas, M.B. Understanding biodiversity effects on prey in multi-enemy systems. Ecol. Lett. 2006, 9, 995–1004. [Google Scholar] [CrossRef] [PubMed]
  60. Greenop, A.; Woodcock, B.A.; Wilby, A.; Cook, S.M.; Pywell, R.F. Functional diversity positively affects prey suppression by invertebrate predators: A meta-analysis. Ecology 2018, 99, 1771–1782. [Google Scholar] [CrossRef] [PubMed]
  61. Xue, Y.; Bahlai, C.A.; Frewin, A.; McCreary, C.M.; Marteaux, L.E.D.; Schaafsma, A.W.; Hallett, R.H. Intraguild predation of the aphid parasitoid Aphelinus certus by Coccinella septempunctata and Harmonia axyridis. BioControl 2012, 57, 627–634. [Google Scholar] [CrossRef]
  62. Ferguson, K.I.; Stiling, P. Non-additive effects of multiple natural enemies on aphid populations. Oecologia 1996, 108, 375–379. [Google Scholar] [CrossRef]
  63. Bautista, R.C.; Harris, E.J. Effect of insectary rearing on host preference and oviposition behavior of the fruit fly parasitoid Diachasmimorpha longicaudata. Entomol. Exp. Appl. 1997, 83, 213–218. [Google Scholar] [CrossRef]
Figure 1. Functional response of single Harmonia axyridis (a) or Aphidius gifuensis (b) to densities of Myzus persicae under aggregate and uniform treatments. Dashed lines differ in style represent functional response curve with different aphid distribution treatments, while shaded areas are bootstrapped 95% confidence intervals (n = 2000 bootstraps each).
Figure 1. Functional response of single Harmonia axyridis (a) or Aphidius gifuensis (b) to densities of Myzus persicae under aggregate and uniform treatments. Dashed lines differ in style represent functional response curve with different aphid distribution treatments, while shaded areas are bootstrapped 95% confidence intervals (n = 2000 bootstraps each).
Insects 11 00325 g001
Figure 2. Functional response of individual Harmonia axyridis (a) or Aphidius gifuensis (b) to densities of Myzus persicae by the presence of heterospecific enemy under aggregate and uniform treatments. Shaded areas represent 95% confidence intervals (n = 2000 bootstraps each).
Figure 2. Functional response of individual Harmonia axyridis (a) or Aphidius gifuensis (b) to densities of Myzus persicae by the presence of heterospecific enemy under aggregate and uniform treatments. Shaded areas represent 95% confidence intervals (n = 2000 bootstraps each).
Insects 11 00325 g002
Figure 3. Functional response of single Harmonia axyridis or Aphidius gifuensis and the treatment when H. axyridis or A. gifuensis sharing the experimental unit with heterospecific enemy to densities of Myzus persicae under aggregate treatment (a,b) or uniform treatment (c,d). Shaded areas are bootstrapped 95% confidence intervals (n = 2000 bootstraps each).
Figure 3. Functional response of single Harmonia axyridis or Aphidius gifuensis and the treatment when H. axyridis or A. gifuensis sharing the experimental unit with heterospecific enemy to densities of Myzus persicae under aggregate treatment (a,b) or uniform treatment (c,d). Shaded areas are bootstrapped 95% confidence intervals (n = 2000 bootstraps each).
Insects 11 00325 g003
Table 1. Significance levels from linear-term logistic regression of the number of Myzus persicae killed by single Harmonia axyridis or Aphidius gifuensis, individual H. axyridis or A. gifuensis in heterospecific combination at 24 h in two aphid distributions, and functional response parameters for Rogers random predator equation (a and Th with mean, 95% CI).
Table 1. Significance levels from linear-term logistic regression of the number of Myzus persicae killed by single Harmonia axyridis or Aphidius gifuensis, individual H. axyridis or A. gifuensis in heterospecific combination at 24 h in two aphid distributions, and functional response parameters for Rogers random predator equation (a and Th with mean, 95% CI).
Treatments (E: Estimated)DistributionLinear Coefficient, pType of Response FittedAttack Rate a (Estimated with 95% CI)p (Z Value)Handling Time Th (In Hour) (Estimated with 95% CI)p (Z Value)
Single H. axyridisAggregate−0.006, <0.0001Type 21.590 (1.306–1.979)<0.0001(22.843)0.006 (0.005–0.008)<0.0001(21.484)
Uniform−0.005, <0.0001Type 21.145 (0.961–1.358)<0.0001 (20.391)0.007 (0.006–0.008)<0.0001 (16.312)
Single A. gifuensisAggregate−0.004, <0.0001Type 20.645 (0.465–0.890)<0.0001 (14.956)0.013 (0.007–0.021)<0.0001 (13.047)
Uniform−0.005, <0.0001Type 20.541 (0.424–0.678)<0.0001 (12.610)0.022 (0.015–0.029)<0.0001 (13.176)
H. axyridis in heterospecific combinationAggregate−0.007, <0.0001Type 21.908 (1.629–2.263)<0.0001 (22.838)0.007 (0.006–0.008)<0.0001 (24.802)
Uniform−0.005, <0.0001Type 21.317 (1.024–1.642)<0.0001 (20.096)0.007 (0.006–0.009)<0.0001 (18.197)
A. gifuensis in heterospecific combinationAggregate−0.002, <0.0001Type 20.177 (0.129–0.249)<0.0001 (11.469)0.015 (0.006–0.024)<0.0001 (4.5899)
Uniform−0.002, <0.0001Type 20.213 (0.162–0.312)<0.0001 (12.402)0.013 (0.002–0.024)<0.0001 (5.1391)
Table 2. Generalized linear mixed model (GLMM) testing the effects of fixed factors on the number of aphids consumed/parasitized by single Harmonia axyridis or Aphidius gifuensis, individual H. axyridis or A. gifuensis in heterospecific combination (n = 70 for each assay). Observation level factor (tested enemies) were included as random effects. Seven levels of aphid density (4, 8, 16, 32, 64, 128, or 256 aphids per cage) were provided to each enemy assay.
Table 2. Generalized linear mixed model (GLMM) testing the effects of fixed factors on the number of aphids consumed/parasitized by single Harmonia axyridis or Aphidius gifuensis, individual H. axyridis or A. gifuensis in heterospecific combination (n = 70 for each assay). Observation level factor (tested enemies) were included as random effects. Seven levels of aphid density (4, 8, 16, 32, 64, 128, or 256 aphids per cage) were provided to each enemy assay.
Predator TreatmentsModel FactorsEstimatedSEtp
Single H. axyridisAphid density0.3990.01822.693<0.0001
Aphid distribution−2.1492.104−1.021<0.001
Aphid density × aphid distribution−0.0470.019−2.4930.013
Single A. gifuensisAphid density0.1950.01314.587<0.0001
Aphid distribution−0.1281.730−0.074<0.001
Aphid density × aphid distribution−0.0660.015−4.285<0.0001
H. axyridis in heterospecific combinationAphid density0.4050.01624.962<0.0001
Aphid distribution−2.6761.742−1.536<0.0001
Aphid density × aphid distribution−0.0450.016−2.8870.004
A. gifuensis in heterospecific combinationAphid density0.0990.00811.681<0.0001
Aphid distribution0.2721.0440.2610.056
Aphid density × aphid distribution0.0170.0091.8310.067
Bold letters indicate significant differences between treatments (p < 0.05).

Share and Cite

MDPI and ACS Style

Yu, X.-L.; Tang, R.; Xia, P.-L.; Wang, B.; Feng, Y.; Liu, T.-X. Effects of Prey Distribution and Heterospecific Interactions on the Functional Response of Harmonia axyridis and Aphidius gifuensis to Myzus persicae. Insects 2020, 11, 325. https://doi.org/10.3390/insects11060325

AMA Style

Yu X-L, Tang R, Xia P-L, Wang B, Feng Y, Liu T-X. Effects of Prey Distribution and Heterospecific Interactions on the Functional Response of Harmonia axyridis and Aphidius gifuensis to Myzus persicae. Insects. 2020; 11(6):325. https://doi.org/10.3390/insects11060325

Chicago/Turabian Style

Yu, Xing-Lin, Rui Tang, Peng-Liang Xia, Bo Wang, Yi Feng, and Tong-Xian Liu. 2020. "Effects of Prey Distribution and Heterospecific Interactions on the Functional Response of Harmonia axyridis and Aphidius gifuensis to Myzus persicae" Insects 11, no. 6: 325. https://doi.org/10.3390/insects11060325

APA Style

Yu, X.-L., Tang, R., Xia, P.-L., Wang, B., Feng, Y., & Liu, T.-X. (2020). Effects of Prey Distribution and Heterospecific Interactions on the Functional Response of Harmonia axyridis and Aphidius gifuensis to Myzus persicae. Insects, 11(6), 325. https://doi.org/10.3390/insects11060325

Note that from the first issue of 2016, this journal uses article numbers instead of page numbers. See further details here.

Article Metrics

Back to TopTop