Endophytic Isolates of Cordyceps fumosorosea to Enhance the Growth of Solanum melongena and Reduce the Survival of Whitefly (Bemisia tabaci)
Abstract
1. Introduction
2. Materials and Methods
2.1. Host Plant
2.2. Fungal Inoculum
2.3. Effect of Fungal Inoculation on Germination of Seeds
2.4. Effect of Fungal Inoculation on Plant Growth
2.5. Endophytic Colonization of Eggplants by C. fumosorosea.
2.6. Effect of C. fumosorosea Colonization on Growth of Bemisia tabaci
2.7. Data Analysis
3. Results
3.1. Effect of Fungal Inoculation on Seed Germination
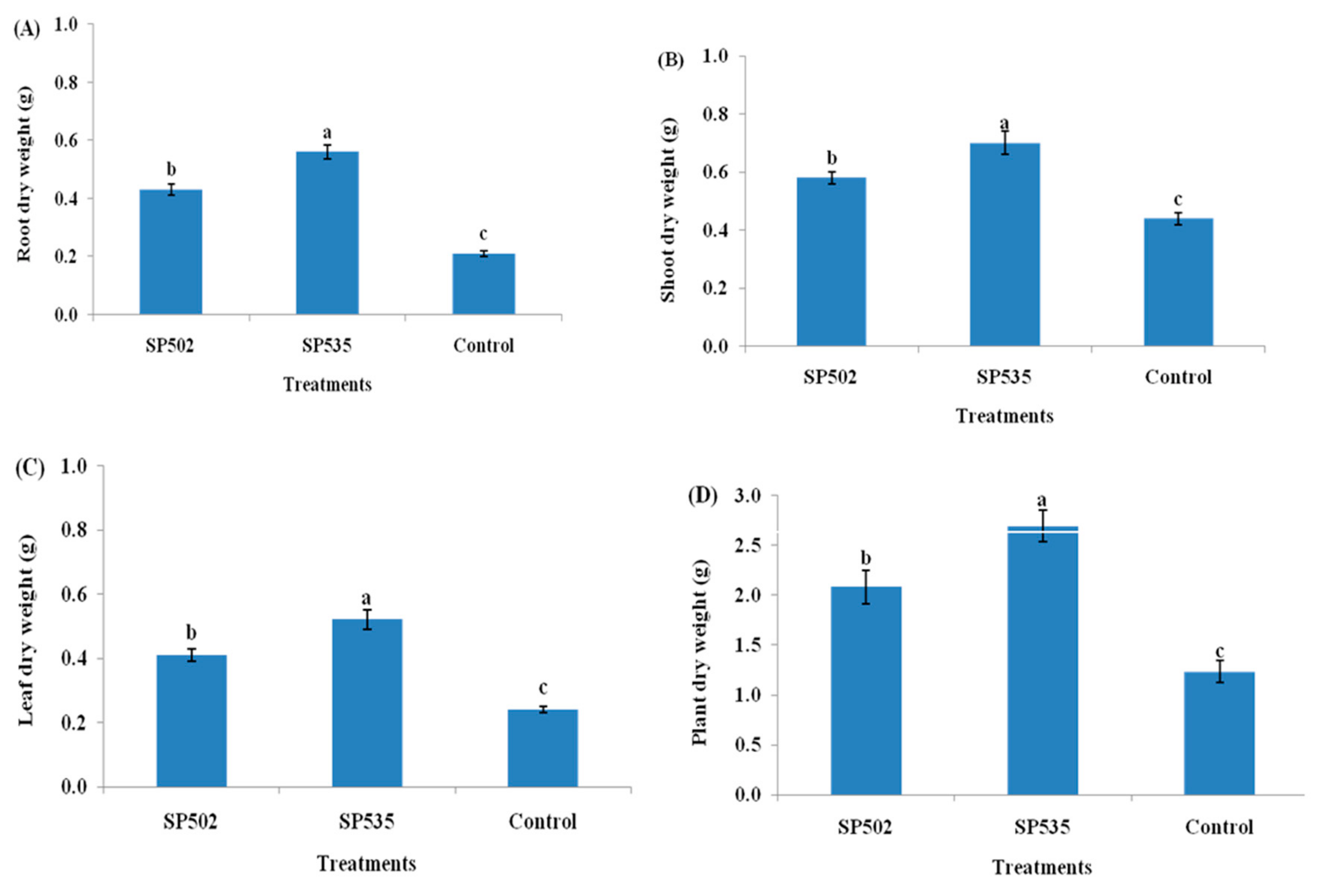
3.2. Effect of Fungal Inoculation on Plant Growth Parameters
3.3. Endophytic colonization of eggplant by C. fumosorosea.
3.4. Effect of C. fumosorosea Colonization on Growth of B. tabaci
4. Discussion
4.1. Effect of Fungal Inoculation on Plant Growth Parameters
4.2. Endophytic Colonization of Eggplant by C. fumosorosea
4.3. Effect of C. fumosorosea Colonization on Growth of B. tabaci
5. Conclusions
Author Contributions
Funding
Conflicts of Interest
References
- Berg, G. Plant–microbe interactions promoting plant growth and health: Perspectives for controlled use of microorganisms in agriculture. Appl. Microbiol. Biotechnol. 2009, 84, 11–18. [Google Scholar] [CrossRef]
- Sanchez Rodriguez, A.R.; Raya Diaz, S.; Zamarreno, A.M.; Garcia-Mina, J.M.; Campilo, M.C.; Quesada Moraga, E. An endophytic Beauveria bassiana strain increases spike production in bread and durum wheat plants and effectively controls cotton leafworm (Spodoptera littoralis) larvae. Biol. Control 2017, 116, 90–102. [Google Scholar] [CrossRef]
- Wang, X.S.; Xu, J.; Wang, X.M.; Qiu, B.L.; Cuthbertson, A.G.S.; Du, C.L.; Wu, J.H.; Ali, S. Isaria fumosorosea based zero-valent iron nanoparticles affect the growth and surival of sweetpotato whitefly, Bemisia tabaci (Gennadius). Pest Mang. Sci. 2019, 75, 2174–2181. [Google Scholar] [CrossRef] [PubMed]
- Inglis, G.D.; Goettel, M.S.; Butt, T.M.; Strasser, H. Use of Hyphomycetous Fungi for Managing Insect Pests. Progress, Problems and Potential. In Fungi as Biocontrol Agents; Butt, T.M., Jackson, C.W., Magan, N., Eds.; CABI Publishing: Wallingford, UK, 2001; pp. 23–69. [Google Scholar]
- Jaber, L.R.; Ownley, B.H. Can we use entomopathogenic fungi as endophytes fordual biological control of insect pests and plant pathogens? Biol. Control 2017, 116, 36–45. [Google Scholar] [CrossRef]
- Sasan, R.K.; Bidochka, M.J. The insect-pathogenic fungus Metarhizium robertsii (Clavicipitaceae) is also an endophyte that stimulates plant root development. Am. J. Bot. 2012, 99, 101–107. [Google Scholar] [CrossRef] [PubMed]
- Rodriguez, R.J.; White, J.F., Jr.; Arnold, A.E.; Redman, R.S. Fungal endophytes: Diversity and functional roles. New Phytol. 2009, 182, 314–330. [Google Scholar] [CrossRef] [PubMed]
- Jaber, L.R.; Enkerli, J. Fungal entomopathogens as endophytes: Can they promote plant growth? Biocontrol Sci. Technol. 2017, 27, 28–41. [Google Scholar] [CrossRef]
- Vega, F.E.; Goettel, M.S.; Blackwell, M.; Chandler, D.; Jackson, M.A.; Keller, S.; Koike, M.; Maniania, N.K.; Monzon, A.; Ownley, B.H.; et al. Fungal entomopathogens: new insights on their ecology. Fungal Ecol. 2009, 2, 149–159. [Google Scholar] [CrossRef]
- Clifton, E.H.; Jaronski, S.T.; Coates, B.S.; Hodgson, E.W.; Gassmann, A.J. Effects of endophytic entomopathogenic fungi on soyabean aphid and identification of Metarhizium isolates from agricultural fields. PLoS ONE 2018, 13, e0194815. [Google Scholar] [CrossRef]
- Naranjo, S.E.; Castle, S.J.; De Barro, P.J.; Liu, S.S. Population dynamics, demography, dispersal and spread of Bemisia tabaci. In Bemisia: Bionomics and Management of a Global Pest; Stansly, P.A., Naranjo, S., Eds.; Springer: Dordrecht, The Netherlands, 2009; pp. 185–226. [Google Scholar]
- Stansly, P.A.; Naranjo, S.E. Bemisia: Bionomics and Management of a Global Pest; Springer: Dordrecht, The Netherlands; New York, NY, USA, 2010; p. 528. [Google Scholar]
- Liu, Y.Q.; Liu, S.S. 2012. Species status of Bemisia tabaci complex and their distributions in China. J. Biosaf. 2010, 21, 247–255. [Google Scholar]
- Islam, M.T.; Qiu, B.L.; Ren, S.X. Host preference and influence of sweetpotato whitefly, Bemisia tabaci (Homoptera: Aleyrodidae) on eggplant (Solanum melongena L.). Acta Agric. Scandanivavica Sect. B Soil Plant Sci. 2010, 60, 320–325. [Google Scholar] [CrossRef]
- Islam, M.T.; Ren, S.X. Effect of sweetpotato whitefly, Bemisia tabaci (Homoptera: Aleyrodidae) on eggplant (Solanum melongena L.) leaf. J. Pest Sci. 2009, 82, 211–215. [Google Scholar] [CrossRef]
- Liang, P.; Tian, Y.A.; Biondi, A.; Desneux, N.; Gao, X.W. Shortterm and transgenerational effects of the neonicotinoid nitenpyram on susceptibility to insecticides in two whitefly species. Ecotoxicology 2012, 21, 1889–1898. [Google Scholar] [CrossRef] [PubMed]
- Cuthbertson, A.G.S.; Walters, K.F.A.; Northing, P. Susceptibility of Bemisia tabaci immature stages to the entomopathogenic fungus Lecanicillium muscarium on tomato and verbena foliage. Mycopathologia 2005, 159, 23–29. [Google Scholar] [CrossRef]
- Kepler, R.M.; Luangsa-ard, J.J.; Hywel-Jones, N.L.; Quandt, C.A.; Sung, G.H.; Rehner, S.A.; Aime, A.C.; Henkel, T.W.; Sanjuan, T.; Zare, R.; et al. A Phylogenetically-Based Nomencl. Cordcipitaceae (Hypocreales). Ima Fungus 2017, 8, 335–353. [Google Scholar] [CrossRef]
- Ali, S.; Wu, J.H.; Huang, Z.; Ren, S.X. Production and regulation of extracellular chitinase from the entomopathogenic fungus Isaria fumosorosea. Biocontrol. Sci. Technol. 2010, 20, 723–738. [Google Scholar] [CrossRef]
- Ali, S.; Huang, Z.; Ren, S.X. Production of cuticle degrading enzymes by Isaria fumosorosea and their evaluation as a biocontrol agent against diamondback moth. J. Pest Sci. 2010, 83, 361–370. [Google Scholar] [CrossRef]
- Huang, Z.; Ali, S.; Ren, S.X.; Wu, J.H. The effect of Isaria fumosorosea on mortality and fecundity of Bemisia tabaci and Plutella xylostella. Insect Sci. 2010, 17, 140–148. [Google Scholar] [CrossRef]
- Pick, D.A.; Avery, P.B.; Hunter, W.B.; Powell, C.A.; Arthurs, S.P. Effect of Isaria fumosorosea (Hypocreales: Cordycipitaceae) and Lysiphlebus testaceipes, (Hymenoptera: Braconidae) on the brown citrus aphid: Preliminary assessment of a compatibility study. Fla. Entomol. 2012, 95, 764–766. [Google Scholar] [CrossRef]
- Faria, M.; Wraight, S.P. Biological control of Bemisia tabaci with fungi. Crop Prot. 2001, 20, 767–778. [Google Scholar] [CrossRef]
- Cuthbertson, A.G.S.; Blackburn, L.F.; Eyre, D.P.; Cannon, R.J.C.; Miller, J.; Northing, P. Bemisia tabaci: The current situation in the UK and the prospect of developing strategies for eradication using entomopathogens. Insect Sci. 2011, 18, 1–10. [Google Scholar] [CrossRef]
- Mantzoukas, S.; Chondrogiannis, C.; Grammatikopoulos, G. Effects of three endophytic entomopathogens on sweet sorghum and on the larvae of the stalk borer Sesamia nonagrioides. Entomol. Exp. Appl. 2015, 154, 78–87. [Google Scholar] [CrossRef]
- Ali, S.; Huang, Z.; Ren, S.X. Media composition influences on growth, enzyme activity and virulence of the entomopathogen hyphomycete Isaria fumosorosea. Entomol. Exp. Appl. 2009, 131, 30–38. [Google Scholar] [CrossRef]
- Arnold, A.E.; Maynard, Z.; Gilbert, G.S. Fungal endophytes in dicotyledonous neotropical trees: Patterns of abundance and diversity. Mycol. Res. 2001, 105, 1502–1507. [Google Scholar] [CrossRef]
- Petrini, O.; Fisher, P.J. Fungal endophytes in Salicornia perennis. Trans. Br. Mycol. Soc. 1987, 87, 647–651. [Google Scholar] [CrossRef]
- Ali, S.; Zhang, C.; Wang, Z.Q.; Wang, X.M.; Wu, J.H.; Cuthbertson, A.G.S.; Shao, Z.F.; Qiu, B.L. Toxicological and biochemical basis of synergism between the entomopathogenic fungus Lecanicillium muscarium and the insecticide matrine against Bemisia tabaci (Gennadius). Sci. Rep. 2017, 7, 46558. [Google Scholar] [CrossRef]
- Zhang, C.; Shao, Z.F.; Hen, Y.Y.; Wang, X.M.; Wang, Z.Q.; Musa, P.D.; Qiu, B.L.; Ali, S. Effects of Aschersonia aleyrodis on the life table and demographic parameters of Bemisia tabaci. J. Integr. Agric. 2018, 17, 60345–60347. [Google Scholar] [CrossRef]
- Zhang, C.; Ali, S.; Musa, P.D.; Wang, X.M.; Qiu, B.L. Evaluation of the pathogenecity of Aschersonia aleyrodis on Bemisia tabaci in the laboratory and greenhouse. Biocontrol. Sci. Technol. 2017, 27, 210–221. [Google Scholar] [CrossRef]
- SAS. SAS/GRAPH 9.1; SAS Institute: Cary, NC, USA, 2004. [Google Scholar]
- Akello, J.; Dubois, T.; Coyne, D.; Kyamanywa, S. The effects of Beauveria bassiana dose and exposure duration on colonization and growth of tissue cultured banana (Musa sp.) plants. Biol. Control 2009, 49, 6–10. [Google Scholar] [CrossRef]
- Gurulingappa, P.; Sword, G.A.; Murdoch, G.; McGee, P.A. Colonization of crop plants by fungal entomopathogens and their effects on two insect pests when in planta. Biol. Control 2010, 55, 34–41. [Google Scholar] [CrossRef]
- Lopez, D.C.; Sword, G.A. The endophytic fungal entomopathogens Beauveria bassiana and Purpureocillium lilacinum enhance the growth of cultivated cotton (Gossypium hirsutum) and negatively affect survival of the cotton bollworm (Helicoverpa zea). Biol. Control 2015, 89, 53–60. [Google Scholar] [CrossRef]
- Akutse, K.S.; Maniania, N.K.; Fiaboe, K.K.M.; Van Den Berg, J.; Ekesi, S. Endophytic colonization of Vicia faba and Phaseolus vulgaris (Fabaceae) by fungal pathogens and their effects on the life-history parameters of Liriomyza huidobrensis (Diptera: Agromyzidae). Fungal Ecol. 2013, 6, 293–301. [Google Scholar] [CrossRef]
- Khan, A.L.; Hamayun, M.; Khan, S.A.; Kang, S.M.; Shinwari, Z.K.; Kamran, M. Pur culture of Metarhizium anisopliae LHL07 reprograms to higher growth and mitigates salt stress. World J. Microbiol. Biotechnol. 2012, 28, 1483–1494. [Google Scholar] [CrossRef] [PubMed]
- Waller, F.; Achatz, B.; Baltruschat, H.; Fodor, J.; Becker, K.; Fischer, M.; Heier, T.; Hückelhoven, R.; Neumann, C.; Von Wettstein, D.; et al. The endophytic fungus Piriformospora indica reprograms barley to salt-stress tolerance, disease resistance and higher yield. Proc. Nat. Acad. Sci. USA 2005, 102, 13386–13391. [Google Scholar] [CrossRef] [PubMed]
- McKinnon, A.C.; Saari, S.; Moran-Diez, M.E.; Meyling, N.V.; Raad, M.; Glare, T.R. Beauveria bassiana as an endophyte: A critical review on associated methodology and biocontrol potential. BioControl 2017, 62, 1–17. [Google Scholar] [CrossRef]
- Tefera, T.; Vidal, S. Effect of inoculation method and plant growth medium on endophytic colonization of sorghum by the entomopathogenic fungus Beauveria bassiana. Biocontrol 2009, 54, 663–669. [Google Scholar] [CrossRef]
- Brownbridge, M.; Reay, S.D.; Nelson TLGlare, T.R. Persistence of Beauveria bassiana (Ascomycota: Hypocreales) as an endophyte following inoculation of radiate pine seed and seedlings. Biol. Control 2012, 62, 194–200. [Google Scholar] [CrossRef]
- Quesada-Moraga, E.; López-Díaz, C.; Beatriz, B.B. The hidden habit of the entomopathogenic fungus Beauveria bassiana: First demonstration of vertical plant transmission. PLoS ONE 2014. [Google Scholar] [CrossRef]
- Posada, F.; Vega, F.E. Establishment of the fungal entomopathogen Beauveria bassiana (Ascomycota: Hypocreales) as an endophyte in cocoa seedlings (Theobroma cacao). Mycologia 2005, 97, 1195–1200. [Google Scholar] [CrossRef]
- Reddy, N.P.; Khan, A.P.A.; Devi, U.K.; Sharma, H.C.; Reineke, A. Treatment of millet crop plant (Sorghum bicolor) with the entomopathogenic fungus (Beauveria bassiana) to combat infestation by the stem borer, Chilo partellus Swinhoe (Lepidoptera: Pyralidae). J. Asia-Pac. Entomol. 2009, 12, 221–226. [Google Scholar] [CrossRef][Green Version]
- Batta, Y.A. Efficacy of endophytic and applied Metarhizium anisopliae (Metch.) Sorokin (Ascomycota: Hypocreales) against larvae of Plutella xylostella L. (Yponomeutidae: Lepidoptera) infesting Brassica napus plants. Crop Prot. 2013, 44, 128–134. [Google Scholar] [CrossRef]
- Guesmi-Jouini, J.; Garrido-Jurado, I.; López-Díaz, C.; Halima-Kamel, M.B.; QuesadaMoraga, E. Establishment of fungal entomopathogens Beauveria bassiana and Bionectria ochroleuca (Ascomycota: Hypocreales) as endophytes on artichoke Cynara scolymus. J. Invertebr. Pathol. 2014, 119, 1–4. [Google Scholar] [CrossRef]
- Vidal, S.; Jaber, L.R. Entomopathogenic fungi as endophytes: Plant-endophyte herbivore interactions and prospects for use in biological control. Curr. Sci. 2015, 109, 46–54. [Google Scholar]
- Gathage, J.W.; Lagat, Z.O.; Fiaboe, K.K.M.; Akutse, K.S.; Ekesi, S.; Maniania, N.K. Prospects of fungal endophytes in the control of Liriomyza leafminer flies in common bean Phaseolus vulgaris under field conditions. BioControl 2016, 61, 741–753. [Google Scholar] [CrossRef]
- Lugtenberg, B.J.J.; Caradus, J.R.; Johnson, L.J. Fungal endophytes for sustainable crop production. FEMS Microbiol. Ecol. 2016, 92, fiw194. [Google Scholar] [CrossRef]
- Rios-Moreno, A.; Resquin-Romero, G.; Arroyo-Manzanares, N.; Acre, L.; Quesada-Moraga, L. Destruxin A production by Metarhizium brunneum starins during transient endophyte colonization of Solanum tubersum. Biocontrol. Sci. Technol. 2016, 26, 1574–1585. [Google Scholar] [CrossRef]
- Qayyum, M.A.; Wakil, W.; Arif, M.J.; Sahi, S.T.; Dunlap, C.A. Infection of Helicoverpa armigera by endophytic Beauveria bassiana colonizing tomato plants. Biol. Control 2015, 90, 200–207. [Google Scholar] [CrossRef]
- Barta, M. In planta bioassay on the effects of endophytic Beauveria strains against larvae of horse-chestnut leaf miner (Cameraria ohridella). Biol. Control 2018, 121, 88–98. [Google Scholar] [CrossRef]





| Treatments | Egg Hatchability (%) at Different Intervals Post Treatment | |
|---|---|---|
| 15 Days | 30 Days | |
| SP502 | 82.97 ± 2.01 c | 80.34 ± 3.56 c |
| SP535 | 75.45 ± 3.94 b | 73.10 ± 2.64 b |
| Control | 92.30 ± 1.32 a | 91.84 ± 1.23 a |
| F; df; P | 23.41; 2, 12; <0.001 | 18.06; 2, 12; <0.001 |
| Treatments | Pupal mortality (%) at Different Intervals Post Treatment | |
|---|---|---|
| 15 Days | 30 Days | |
| SP502 | 20.82 ± 2.01 b | 28.40 ± 3.56b |
| SP535 | 25.97 ± 3.94 a | 33.19 ± 2.64 a |
| Control | 3.52 ± 1.32 c | 4.21 ± 1.23 c |
| F; df; P | 35.89;2,12;<0.001 | 43.25;2,12;<0.001 |
© 2020 by the authors. Licensee MDPI, Basel, Switzerland. This article is an open access article distributed under the terms and conditions of the Creative Commons Attribution (CC BY) license (http://creativecommons.org/licenses/by/4.0/).
Share and Cite
Sun, T.; Shen, Z.; Shaukat, M.; Du, C.; Ali, S. Endophytic Isolates of Cordyceps fumosorosea to Enhance the Growth of Solanum melongena and Reduce the Survival of Whitefly (Bemisia tabaci). Insects 2020, 11, 78. https://doi.org/10.3390/insects11020078
Sun T, Shen Z, Shaukat M, Du C, Ali S. Endophytic Isolates of Cordyceps fumosorosea to Enhance the Growth of Solanum melongena and Reduce the Survival of Whitefly (Bemisia tabaci). Insects. 2020; 11(2):78. https://doi.org/10.3390/insects11020078
Chicago/Turabian StyleSun, Tingfei, Zhang Shen, Mobeen Shaukat, Cailian Du, and Shaukat Ali. 2020. "Endophytic Isolates of Cordyceps fumosorosea to Enhance the Growth of Solanum melongena and Reduce the Survival of Whitefly (Bemisia tabaci)" Insects 11, no. 2: 78. https://doi.org/10.3390/insects11020078
APA StyleSun, T., Shen, Z., Shaukat, M., Du, C., & Ali, S. (2020). Endophytic Isolates of Cordyceps fumosorosea to Enhance the Growth of Solanum melongena and Reduce the Survival of Whitefly (Bemisia tabaci). Insects, 11(2), 78. https://doi.org/10.3390/insects11020078
