Insecticide Control of Drosophila suzukii in Commercial Sweet Cherry Crops under Cladding
Abstract
1. Introduction
2. Materials and Methods
2.1. Efficacy and Longevity of Plant Protection Products
2.2. Leaf Contact Bioassay with Spray Programs
2.3. Fortnightly Spray Trials in Commercial Orchards with and without Mesh
2.4. Statistical Analysis
3. Results
3.1. Efficacy and Longevity of Plant Protection Products
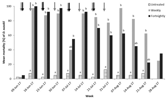
3.2. Small Scale Leaf Contact Bioassay with Spray Programs
3.3. Fortnightly Spray Trials in Commercial Orchards with and without Mesh
4. Discussion
5. Conclusions
Author Contributions
Funding
Acknowledgments
Conflicts of Interest
References
- Cini, A.; Anfora, G.; Escudero-Colomar, L.A.; Grassi, A.; Santosuosso, U.; Seljak, G.; Papini, A. Tracking the Invasion of the Alien Fruit Pest Drosophila suzukii in Europe. J. Pest Sci. 2014, 87, 559–566. [Google Scholar] [CrossRef]
- Harris, A.L.; Shaw, B. First Record of Drosophila suzukii (Matsumura) (Diptera, Drosophilidae) in Great Britain. Dipter. Dig. 2014, 21, 189–192. [Google Scholar]
- Farnsworth, D.; Hamby, K.A.; Bolda, M.; Goodhue, R.E.; Williams, J.C.; Zalom, F.G. Economic analysis of revenue losses and control costs associated with the spotted wing drosophila, Drosophila suzukii (Matsumura), in the California raspberry industry. Pest Manag. Sci. 2017, 73, 1083–1090. [Google Scholar] [CrossRef] [PubMed]
- Goodhue, R.E.; Bolda, M.; Farnsworth, D.; Williams, J.C.; Zalom, F.G. Spotted wing drosophila infestation of California strawberries and raspberries: Economic analysis of potential revenue losses and control costs. Pest Manag. Sci. 2011, 67, 1396–1402. [Google Scholar] [CrossRef] [PubMed]
- Lee, J.C.; Bruck, D.J.; Curry, H.; Edwards, D.; Haviland, D.R.; van Steenwyk, R.A.; Yorgey, B.M. The susceptibility of small fruits and cherries to the spotted-wing drosophila, Drosophila suzukii. Pest Manag. Sci. 2011, 67, 1358–1367. [Google Scholar] [CrossRef] [PubMed]
- Tonina, L.; Mori, N.; Sancassani, M.; Dall’Ara, P.; Marini, L. Spillover of Drosophila suzukii between noncrop and crop areas: Implications for pest management. Agric. For. Entomol. 2018, 20, 575–581. [Google Scholar] [CrossRef]
- Santoiemma, G.; Mori, N.; Tonina, L.; Marini, L. Semi-natural habitats boost Drosophila suzukii populations and crop damage in sweet cherry. Agric. Ecosyst. Environ. 2018, 257, 152–158. [Google Scholar] [CrossRef]
- Del Fava, E.; Ioriatti, C.; Melegaro, A. Cost–benefit analysis of controlling the spotted wing drosophila (Drosophila suzukii (Matsumura)) spread and infestation of soft fruits in Trentino, Northern Italy. Pest Manag. Sci. 2017, 73, 2318–2327. [Google Scholar] [CrossRef] [PubMed]
- Leach, H.; Moses, J.; Hanson, E.; Fanning, P.; Isaacs, R. Rapid harvest schedules and fruit removal as non-chemical approaches for managing spotted wing Drosophila. J. Pest Sci. 2017, 91, 219–226. [Google Scholar] [CrossRef]
- Noble, R.; Dobrovin-Pennington, A.; Shaw, B.; Buss, D.S.; Cross, J.V.; Fountain, M.T. Fermentation for disinfesting fruit waste from Drosophila species (Diptera: Drosophilidae). Environ. Entomol. 2017, 46, 939–945. [Google Scholar] [CrossRef]
- Wimshurst, F.M. The Cherry Black Fly (Myzus cerasi). Bull. Entomol. Res. 1925, 16, 85. [Google Scholar] [CrossRef]
- Malavolta, C.; Ponti, I.; Pollini, A.; Galassi, T.; Cravedi, P.; Molinari, F.; Brunelli, A.; Pasini, F.; Missere, D.; Scudellari, D.; et al. The application of integrated production on stone fruits in Emilia-Romagna (Italy). IOBC/WPRS Bull. 1995, 18, 55–59. [Google Scholar]
- Lee, J.C.; Dalton, D.T.; Swoboda-Bhattarai, K.A.; Bruck, D.J.; Burrack, H.J.; Strik, B.C.; Brunelli, A.; Pasini, F.; Missere, D.; Scudellari, D.; et al. Characterization and manipulation of fruit susceptibility to Drosophila suzukii. J. Pest Sci. 2015, 89, 771–780. [Google Scholar] [CrossRef]
- Harnden, R.; (Berry Garden Growers Ltd., Kent, UK). When asked to state a percentage of cherry grown under cladding. Personal Observations, 2019. [Google Scholar]
- Lang, G.A. (Ed.) Growing Sweet Cherries Under Plastic Covers and Tunnels: Physiological Aspects and Practical Considerations; International Society for Horticultural Science (ISHS): Leuven, Belgium, 2014. [Google Scholar]
- Lang, G.A. (Ed.) Tree Fruit Production in High Tunnels: Current Status and Case Study of Sweet Cherries; International Society for Horticultural Science (ISHS): Leuven, Belgium, 2013. [Google Scholar]
- Meland, M.; Kaiser, K.; Christensen, J.M. Physical and Chemical Methods to Avoid Fruit Cracking in Cherry. AgroLife Sci. J. 2014, 3, 177–183. [Google Scholar]
- Chouinard, G.; Firlej, A.; Cormier, D. Going beyond sprays and killing agents: Exclusion, sterilization and disruption for insect pest control in pome and stone fruit orchards. Sci. Hortic. 2016, 208, 13–27. [Google Scholar] [CrossRef]
- Gautam, B.K.; Little, B.A.; Taylor, M.D.; Jacobs, J.L.; Lovett, W.E.; Holland, R.M.; Sial, A.A. Effect of simulated rainfall on the effectiveness of insecticides against spotted wing drosophila in blueberries. Crop Prot. 2016, 81, 122–128. [Google Scholar] [CrossRef]
- Beers, E.H.; van Steenwyk, R.A.; Shearer, P.W.; Coates, W.W.; Grant, J.A. Developing Drosophila suzukii management programs for sweet cherry in the western United States. Pest Manag. Sci. 2011, 67, 1386–1395. [Google Scholar] [CrossRef]
- Pavlova, A.K.; Dahlmann, M.; Hauck, M.; Reineke, A. Laboratory bioassays with three different substrates to test the efficacy of insecticides against various stages of Drosophila suzukii (Diptera Drosophilidae). J. Insect Sci. 2017, 17, 8. [Google Scholar] [CrossRef]
- Rosensteel, D.O.; Sial, A.A. Efficacy of insecticides against Drosophila suzukii in rabbiteye blueberry, 2015. Arthropod Manag. Tests 2017, 42. [Google Scholar] [CrossRef][Green Version]
- Schlesener, D.C.H.; Wollmann, J.; Pazini, J.B.; Grutzmacher, A.D.; Garcia, F.R.M. Effects of insecticides on adults and eggs of Drosophila suzukii (Diptera, Drosophilidae). Rev. Colomb. Entomol. 2017, 43, 208–214. [Google Scholar] [CrossRef]
- Shaw, B.; Brain, P.; Wijnen, H.; Fountain, M.T. Implications of sub-lethal rates of insecticides and daily time of application on Drosophila suzukii lifecycle. Crop Prot. 2019, 121, 182–194. [Google Scholar] [CrossRef]
- Guedes, R.N.C.; Walse, S.S.; Throne, J.E. Sublethal exposure, insecticide resistance, and community stress. Curr. Opin. Insect Sci. 2017, 21, 47–53. [Google Scholar] [CrossRef] [PubMed]
- Hulme, T.; (A.C. Hulme & Sons, Kent, UK). When asked about the ripening of cherry. Personal Observations, 2019. [Google Scholar]
- R Core Team. R: A Language and Environment for Statistical Computing; R Foundation for Statistical Computing: Vienna, Austria, 2018; Available online: https://www.R-project.org/ (accessed on 8 March 2019).
- Venables, W.N.; Ripley, B.D. Modern Applied Statistics with S, 4th ed.; Springer: New York, NY, USA, 2002. [Google Scholar]
- Hothorn, T.; Bretz, F.; Westfall, P. Simultaneous Inference in General Parametric Models. Biom. J. 2008, 50, 346–363. [Google Scholar] [CrossRef] [PubMed]
- Van Timmeren, S.; Isaacs, R. Control of Spotted Wing Drosophila, Drosophila suzukii, by Specific Insecticides and by Conventional and Organic Crop Protection Programs. Crop Prot. 2013, 54, 126–133. [Google Scholar] [CrossRef]
- Andreazza, F.; Bernardi, D.; Baronio, C.A.; Pasinato, J.; Nava, D.E.; Botton, M. Toxicities and effects of insecticidal toxic baits to control Drosophila suzukii and Zaprionus indianus (Diptera Drosophilidae). Pest Manag. Sci. 2017, 73, 146–152. [Google Scholar] [CrossRef] [PubMed]
- Cowles, R.S.; Rodriguez-Saona, C.; Holdcraft, R.; Loeb, G.M.; Elsensohn, J.E.; Hesler, S.P. Sucrose Improves Insecticide Activity Against Drosophila suzukii (Diptera: Drosophilidae). J. Econ. Entomol. 2015, 108, 640–653. [Google Scholar] [CrossRef] [PubMed]
- Andreazza, F.; Vacacela Ajila, H.E.; Haddi, K.; Colares, F.; Pallini, A.; Oliveira, E.E. Toxicity to and egg-laying avoidance of Drosophila suzukii (Diptera: Drosophilidae) caused by an old alternative inorganic insecticide preparation. Pest Manag. Sci. 2018, 74, 861–867. [Google Scholar] [CrossRef] [PubMed]
- Fried, A.; Schell, E.; Steinecke, G.; Koppler, K. Control of Drosophila suzukii with DS-Lime in Blackberries. In Proceedings of the 18th International Conference on Organic Fruit-Growing, Hohenhiem, Germany, 19–21 February 2018; pp. 196–199. [Google Scholar]
- Strack, T.; Cahenzil, F.; Daniel, C. Kaolin, lime and rock dust to control Drosophila suzukii. In Task Force Drorophila suzukii; Forschungsinstitut Fur Biologischen Landbau: Frick, Switzerland, 2017. [Google Scholar]
- Dorsaz, M.; Kuonen, F.; Baroffio, C.A. Current Spotted Wing Drosophila IPM Tactics and Their Practical Implementation in Berry Crops in Switzerland. Acta Hortic. 2017, 1156, 827–832. [Google Scholar] [CrossRef]
- Baroffio, C.; Dorsaz, M.; Kuonen, F. Current integrated pest management tactics for the spotted wing Drosophila and their practical implementation in Switzerland. Pesticidi i Fitomedicina 2017, 32, 33–39. [Google Scholar] [CrossRef]
- Gargani, E.; Tarchi, F.; Frosinini, R.; Mazza, G.; Simoni, S. Notes on Drosophila suzukii Matsumura, (Diptera Drosophilidae): Field Survey in Tuscany and Laboratory Evaluation of Organic Products. J. Zool. 2013, 96, 85–90. [Google Scholar]
- Fountain, M.T.; Cross, J.V.; Buss, D.; Shaw, B.; Morton, J.; Hopson, K.; Cannon, M.; Baets, D.; Harris, A.L.; Delgado, A.; et al. AHDB SF 145 Annual Report: Understanding and Developing Methods for Managing Spotted Wing Drosophila (SWD) in the UK: Vital Research to Maintain the Viability of the UK Fruit Industry; March 2016. Report No.: 4, Annual Report for AHDB Contract No.: Report 4; NIAB EMR: Kent, UK, 2017. [Google Scholar]
- Haviland, D.R.; Beers, E.H. Chemical Control Programs for Drosophila suzukii that Comply with International Limitations on Pesticide Residues for Exported Sweet Cherries. J. Integr. Pest Manag. 2012, 3, F1–F6. [Google Scholar] [CrossRef]
- Shawer, R.; Tonina, L.; Tirello, P.; Duso, C.; Mori, N. Laboratory and field trials to identify effective chemical control strategies for integrated management of Drosophila suzukii in European cherry orchards. Crop Prot. 2018, 103, 73–80. [Google Scholar] [CrossRef]
- Van Timmeren, S.; Horejsi, L.; Larson, S.; Spink, K.; Fanning, P.; Isaacs, R. Diurnal activity of Drosophila suzukii (Diptera: Drosophilidae) in highbush blueberry and behavioral response to irrigation and application of insecticides. Environ. Entomol. 2017, 46, 1106–1114. [Google Scholar] [CrossRef] [PubMed]
- Leach, H.; Van Timmeren, S.; Isaacs, R. Exclusion Netting Delays and Reduces Drosophila suzukii (Diptera: Drosophilidae) Infestation in Raspberries. J. Econ. Entomol. 2016, 109, 2151–2158. [Google Scholar] [CrossRef] [PubMed]
- Candian, V.; Pansa, M.G.; Santoro, K.; Spadaro, D.; Tavella, L.; Tedeschi, R. Photoselective exclusion netting in apple orchards: Effectiveness against pests and impact on beneficial arthropods, fungal diseases and fruit quality. Pest Manag. Sci. 2019. accepted. [Google Scholar] [CrossRef]
- Hennig, E.I.; Mazzi, D. Spotted Wing Drosophila in Sweet Cherry Orchards in Relation to Forest Characteristics, Bycatch, and Resource Availability. Insects 2018, 9, 118. [Google Scholar] [CrossRef] [PubMed]
- Asplen, M.K.; Anfora, G.; Biondi, A.; Choi, D.S.; Chu, D.; Daane, K.M.; Gibert, P.; Gutierrez, A.P.; Hoelmer, K.A.; Hutchison, W.D. Invasion biology of spotted wing Drosophila (Drosophila suzukii): A global perspective and future priorities. J. Pest Sci. 2015, 88, 469–494. [Google Scholar] [CrossRef]
- Gress, B.E.; Zalom, F.G. Identification and risk assessment of spinosad resistance in a California population of Drosophila suzukii. Pest. Manag. Sci. 2018, 75, 1270–1276. [Google Scholar] [CrossRef]
- Van Timmeren, S.; Mota-Sanchez, D.; Wise, J.C.; Isaacs, R. Baseline susceptibility of spotted wing Drosophila (Drosophila suzukii) to four key insecticide classes. Pest Manag. Sci. 2018, 74, 78–87. [Google Scholar] [CrossRef]




| Active Ingredient (Ai) | Product Name | Ai L−1 | Product Rate ha−1 (Spray Volume = 1000 L ha−1) |
|---|---|---|---|
| Acetamiprid | Gazelle | 20% w/w | 375 g |
| Deltamethrin | Decis | 25 g | 200 mL |
| Cyantraniliprole | Exirel | 100 g | 900 mL |
| Lambda-cyhalothrin | Hallmark | 100 g | 0.09 L |
| Lime(Ca(OH2)), Cuprum, ManZincum | DsLime | - | 2 kg, 1000 mL, 250 mL |
| Pyrethrin | Spruzit | 4.59 g | 12 L |
| Spinosad | Tracer | 480 g | 250 mL |
| Untreated | - | - | - |
| Weekly | Fortnightly | Leaves Collected and then Sprays Applied to Trees * | D. suzukii Exposed to Sprayed Leaves (Bioassay Set-Up) |
|---|---|---|---|
| Tracer | Tracer | 9 June | 14 June |
| Hallmark | NA | 16 June | 20 June |
| Exirel | Exirel | 23 June | 27 June |
| Gazelle | NA | 30 June | 4 July |
| Tracer | Tracer | 7 July | 11 July |
| Hallmark | NA | 14 July | 18 July |
| Exirel | Exirel | 21 July | 24 July |
| Pyrethrin | NA | 31 July | 1 August |
| NA | NA | NA | 9 August |
| NA | NA | NA | 15 August |
| NA | NA | NA | 22 August |
| NA | NA | NA | 28 August |
| Product | Active Ingredient | Ai L−1 | Rate ha−1 |
|---|---|---|---|
| Tracer | Spinosad | 480 g | 250 mL |
| Hallmark Zeon | Lambda-cyhalothrin | 100 g | 90 mL |
| Exirel | Cyantraniliprole | 100 g | 900 mL |
| Gazelle | Acetamiprid | 20% w/w | 375 g |
| Pyrethrum 5EC | Pyrethrin | 5% w/v | 4 L |
| Site | Field Code | Insect Mesh (Y/N) | Varieties Assessed |
|---|---|---|---|
| 1 | 1 | Y | Kordia, Regina |
| 2 | Y | Merchant | |
| 3 | Y | Kordia, Regina | |
| 4 | Y | Kordia, Regina | |
| 5 | Y | Kordia, Regina | |
| 6 | N | Van | |
| 2 | 7 | N | Skena |
| 8 | N | Skena, Penny |
| Site 1 | Date of Application | Site 2 | Date of Application |
|---|---|---|---|
| Hallmark | 15 May | Calypso + Tracer | 30 May |
| Tracer | 12 June | Exirel | 19 June |
| Exirel | 26 June | Tracer | 28–30 June |
| Tracer | 10 July | Exirel | 7 July |
| Exirel | 24 July |
© 2019 by the authors. Licensee MDPI, Basel, Switzerland. This article is an open access article distributed under the terms and conditions of the Creative Commons Attribution (CC BY) license (http://creativecommons.org/licenses/by/4.0/).
Share and Cite
Shaw, B.; Hemer, S.; Cannon, M.F.L.; Rogai, F.; Fountain, M.T. Insecticide Control of Drosophila suzukii in Commercial Sweet Cherry Crops under Cladding. Insects 2019, 10, 196. https://doi.org/10.3390/insects10070196
Shaw B, Hemer S, Cannon MFL, Rogai F, Fountain MT. Insecticide Control of Drosophila suzukii in Commercial Sweet Cherry Crops under Cladding. Insects. 2019; 10(7):196. https://doi.org/10.3390/insects10070196
Chicago/Turabian StyleShaw, Bethan, Sebastian Hemer, Madeleine F. L. Cannon, Francesco Rogai, and Michelle T. Fountain. 2019. "Insecticide Control of Drosophila suzukii in Commercial Sweet Cherry Crops under Cladding" Insects 10, no. 7: 196. https://doi.org/10.3390/insects10070196
APA StyleShaw, B., Hemer, S., Cannon, M. F. L., Rogai, F., & Fountain, M. T. (2019). Insecticide Control of Drosophila suzukii in Commercial Sweet Cherry Crops under Cladding. Insects, 10(7), 196. https://doi.org/10.3390/insects10070196

