The Response of Neotropical Dragonflies (Insecta: Odonata) to Local and Regional Abiotic Factors in Small Streams of the Amazon
Abstract
1. Introduction
2. Materials and Methods
2.1. Study Areas
2.2. Data Sampling
2.2.1. Biological Sampling and Laboratory Procedures
2.2.2. Local Abiotic Factors
2.2.3. Regional Abiotic Factors (Bioclimatic and Soil Cover Variables)
2.3. Data Analysis
3. Results
3.1. Conservation Categories of Streams
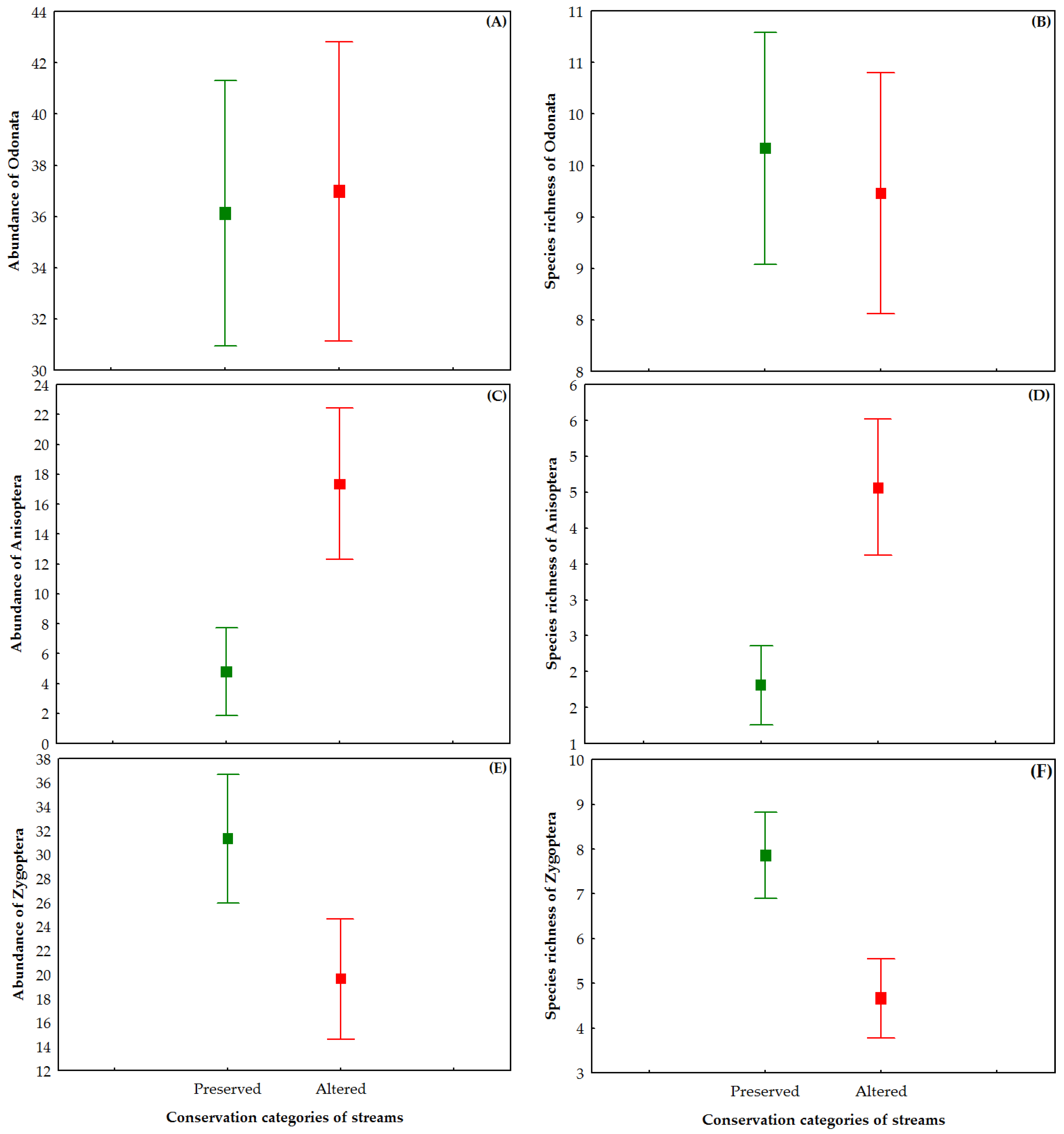
3.2. Abundance, Species Richness and Composition of Odonata
3.3. Response of Odonata Communities to Local and Regional Abiotic Factors
4. Discussion
5. Conclusions
Supplementary Materials
Author Contributions
Funding
Acknowledgments
Conflicts of Interest
References
- Terborgh, J.; Robinson, S.K.; Parker, T.A., III; Munn, C.A.; Pierpont, N. 1990 Pierpont Structure and organization of an Amazonian forest bird community. Ecol. Monogr. 1990, 60, 213–238. [Google Scholar] [CrossRef]
- Jetz, W.; Thomas, G.H.; Joy, J.B.; Hartmann, K.; Mooers, A.O. The global diversity of birds in space and time. Nature 2012, 491, 444–448. [Google Scholar] [CrossRef] [PubMed]
- Bradshaw, C.J.A.; Sodhi, N.S.; Brook, B.W. Tropical turmoil: A biodiversity tragedy in progress. Front. Ecol. Environ. 2009, 7, 79–87. [Google Scholar] [CrossRef]
- Peres, C.A. Conservation in sustainable-use tropical forest reserves. Conserv. Biol. 2011, 25, 1124–1129. [Google Scholar] [CrossRef] [PubMed]
- Brown, J.H. Why are there so many species in the tropics? J. Biogeogr. 2014, 41, 8–22. [Google Scholar] [CrossRef]
- Hillebrand, H.; Blenckner, T. Regional and local impacts on species diversity—From pattern to process. Oecologia 2002, 132, 479–491. [Google Scholar] [CrossRef]
- Tilman, D.; Pacala, S. The maintenance of species richness in plant communities. In Species Diversity in Ecological Communities: Historical and Geographical Perspectives; Ricklefs, R.E., Schluter, D., Eds.; University of Chicago Press: Chicago, IL, USA, 1993; pp. 13–25. [Google Scholar]
- Chesson, P. Mechanisms of maintenance of species diversity. Annu. Rev. Ecol. Evol. Syst. 2000, 31, 343–366. [Google Scholar] [CrossRef]
- Connell, J.H. The influence of intra-specific competition and other factors on the distribution of the barnacle Chthamalus stellatus. Ecology 1961, 42, 710–723. [Google Scholar] [CrossRef]
- Paine, R.T. Food web complexity and species diversity. Am. Nat. 1966, 100, 65–75. [Google Scholar] [CrossRef]
- Lawton, J.H. Are there general laws in ecology? Oikos 1999, 84, 177–192. [Google Scholar] [CrossRef]
- Leibold, M.A.; Holyoak, M.; Mouquet, N.; Amarasekare, P.J.; Chase, M.; Hoopes, M.F. The metacommunity concept: A framework for multi-scale community ecology. Ecol. Lett. 2004, 7, 601–613. [Google Scholar] [CrossRef]
- Ricklefs, R.E.; Schluter, D. Species Diversity in Ecological Communities: Historical and Geographical Perspectives; University of Chicago Press: Chicago, IL, USA, 1993; p. 414. [Google Scholar]
- Dolédec, S.; Statzner, B. Responses of freshwater biota to human disturbances: Contribution of J-NABS to developments in ecological integrity assessments. J. N. Am. Benthol. Soc. 2010, 29, 286–311. [Google Scholar] [CrossRef]
- Juen, L.; De Marco, P. Odonate biodiversity in terra-firme forest streamlets in Central Amazonia: On the relative effects of neutral and niche drivers at small geographical extents. Insect Conserv. Divers. 2011, 4, 265–274. [Google Scholar] [CrossRef]
- Strecker, A.L.; Campbell, P.M.; Olden, J.D. The aquarium trade as an invasion pathway in the Pacific Northwest. Fisheries 2011, 36, 74–85. [Google Scholar] [CrossRef]
- Vinson, M.R.; Hawkins, C.P. Effects of sampling area and subsampling procedure on comparisons of taxa richness among streams. J. N. Am. Benthol. Soc. 1996, 15, 392–399. [Google Scholar] [CrossRef]
- Roque, F.O.; Siqueira, T.; Bini, L.M.; Ribeiro, M.C.; Tambosi, L.R.; Ciocheti, G.; Trivinho-Strixino, S. Untangling associations between chironomid taxa in Neotropical streams using local and landscape filters. Freshw. Biol. 2010, 55, 847–865. [Google Scholar] [CrossRef]
- Weigel, B.M.; Wang, L.; Rasmussen, P.W.; Butcher, J.T.; Stewart, P.M.; Wiley, M.J. Relative influence of variables at multiple spatial scales on stream macroinvertebrates in the Northern Lakes and Forest ecoregion, U.S.A. Freshw. Biol. 2003, 48, 1440–1461. [Google Scholar] [CrossRef]
- Gerlach, J.; Samways, M.; Pryke, J. Terrestrial invertebrates as bioindicators: An overview of available taxonomic groups. J. Insect Conserv. 2013, 17, 831–850. [Google Scholar] [CrossRef]
- May, M.L. Odonata: Who They Are and What They Have Done for Us Lately: Classification and Ecosystem Services of Dragonflies. Insects 2019, 10, 62. [Google Scholar] [CrossRef]
- Stoks, R.; Córdoba-Aguilar, A. Evolutionary ecology of Odonata: A complex life cycle perspective. Annu. Rev. Entomol. 2012, 57, 249–265. [Google Scholar] [CrossRef]
- Corbet, P.S. Dragonflies: Behavior and Ecology of Odonata; Comstock Publisher Associates: Ithaca, NY, USA, 1999; p. 829. [Google Scholar]
- Dolný, A.; Harabis, F.; Bárta, D.; Lhota, S.; Drozd, P. Aquatic insects indicate terrestrial habitat degradation: Changes in taxonomical structure and functional diversity of dragonflies in tropical rainforest of East Kalimantan. Trop. Zool. 2012, 25, 141–157. [Google Scholar] [CrossRef]
- Oertli, B. The use of dragonflies in the assessment and monitoring of aquatic habitats. In Model Organisms for Ecological and Evolutionary Research; Cordoba-Aguilar, A., Ed.; Oxford University Press: Oxford, UK, 2008; pp. 79–95. [Google Scholar]
- Butler, R.G.; de Maynadier, P.G. The significance of littoral and shoreline habitat integrity to the conservation of lacustrine damselflies (Odonata). J. Insect Conserv. 2008, 12, 23–36. [Google Scholar] [CrossRef]
- Poff, N.L.; Olden, J.D.; Vieira, N.K.M.; Finn, D.S.; Simmons, M.P.; Kondratieff, B.C. Functional trait niches of North American lotic insects: Traits-based ecological applications in light of phylogenetic relationships. J. N. Am. Benthol. Soc. 2006, 25, 730–755. [Google Scholar] [CrossRef]
- Tomanova, S.; Moya, N.; Oberdorff, T. Using macroinvertebrate biological traits for assessing biotic integrity of Neotropical streams. River Res. Appl. 2008, 24, 1230–1239. [Google Scholar] [CrossRef]
- Zuellig, R.E.; Schmidt, T.S. Characterizing invertebrate traits in wadeable streams of the contiguous US: Differences among ecoregions and land uses. Freshw. Sci. 2012, 31, 1042–1056. [Google Scholar] [CrossRef]
- Heino, J. The importance of metacommunity ecology for environmental assessment research in the freshwater realm. Biol. Rev. 2013, 88, 166–178. [Google Scholar] [CrossRef]
- Tonn, W.M. Climate change and fish communities: A conceptual framework. Trans. Am. Fish. Soc. 1990, 119, 337–352. [Google Scholar] [CrossRef]
- Poff, N.L. Landscape filters and species traits: Towards mechanistic understanding and prediction in stream ecology. J. N. Am. Benthol. Soc. 1997, 16, 391–409. [Google Scholar] [CrossRef]
- Townsend, C.R.; Downes, B.J.; Peacock, K.; Arbuckle, C.J. Scale and the detection of land-use effects on morphology, vegetation and macroinvertebrate communities of grassland streams. Freshw. Biol. 2004, 49, 448–462. [Google Scholar] [CrossRef]
- Heino, J.; Mykrä, H.; Kotanen, J.; Muotka, T. Ecological filters and variability in stream macroinvertebrate communities: Do taxonomic and functional structure follow the same path? Ecography 2007, 30, 217–230. [Google Scholar] [CrossRef]
- Frissell, C.A.; Liss, W.J.; Warren, C.E.; Hurley, M.D. A hierarchical framework for stream habitat classification; viewing streams in a watershed context. Environ. Manag. 1986, 10, 199–214. [Google Scholar] [CrossRef]
- Hildrew, A.G.; Giller, P.S. Patchiness, species interactions and disturbance in the stream benthos. In Aquatic Ecology: Scale Pattern, and Process; Giller, P.S., Hildrew, A.G., Raffaelli, D.G., Eds.; Blackwell Science: Oxford, UK, 1994; pp. 21–62. [Google Scholar]
- Heino, J. Biodiversity of aquatic insects: Spatial gradients and environmental correlates of assemblage-level measures at large scales. Freshw. Rev. 2009, 2, 1–29. [Google Scholar] [CrossRef]
- Silva, D.P.; De Marco, P., Jr.; Resende, D.C. Adult odonate abundance and community assemblage measures as indicators of stream ecological integrity: A case study. Ecol. Indic. 2010, 10, 744–752. [Google Scholar] [CrossRef]
- Oliveira-Junior, J.M.B.; De Marco, P.; Dias-Silva, K.; Leitão, R.P.; Leal, C.G.; Pompeu, P.S.; Gardner, T.A.; Hughes, R.M.; Juen, L. Effects of human disturbance and riparian conditions on Odonata (Insecta) assemblages in eastern Amazon basin streams. Limnologica 2017, 66, 31–39. [Google Scholar] [CrossRef]
- Hickling, R.; Roy, D.B.; Hill, J.K.; Thomas, C.D. A northward shift of range margins in British Odonata. Glob. Chang. Biol. 2005, 11, 502–506. [Google Scholar] [CrossRef]
- Monteiro-Júnior, C.S.; Couceiro, S.R.M.; Hamada, N.; Juen, L. Effect of vegetation removal for road building on richness and composition of Odonata communities in Amazonia, Brazil. Int. J. Odonatol. 2013, 16, 135–144. [Google Scholar] [CrossRef]
- Carvalho, F.G.; Pinto, N.S.; Oliveira-Júnior, J.M.B.; Juen, L. Effects of marginal vegetation removal on Odonata communities. Acta Limnol. Bras. 2013, 25, 10–18. [Google Scholar] [CrossRef]
- Conrad, K.F.; Willson, K.H.; Whitfield, K.; Harvey, I.F.; Thomas, C.J.; Sherratt, T.N. Characteristics of dispersing Ischnura elegans and Coenagrion puella (Odonata): Age, sex, size, morph and ectoparasitism. Ecography 2002, 25, 439–445. [Google Scholar] [CrossRef]
- Tscharntke, T.; Steffan-Dewenter, I.; Kruess, A.; Thies, C. Contribution of small habitat fragments to conservation of insect communities of grassland-cropland landscapes. Ecol. Appl. 2002, 12, 354–363. [Google Scholar] [CrossRef]
- Gardner, T.A.; Ferreira, J.; Barlow, J.; Lees, A.C.; Parry, L.; Vieira, I.C.G.; Berenguer, E.; Abramovay, R.; Aleixo, A.; Andretti, C.; et al. A social and ecological assessment of tropical land-uses at multiple scales: The Sustainable Amazon Network. Philos. Trans. R. Soc. B Biol. Sci. 2013, 368. [Google Scholar] [CrossRef]
- Nepstad, D.C.; Moutinho, P.R.S.; Dias-Filho, M.B.; Davidson, E.; Cardinot, G.; Markewitz, D.; Figueiredo, R.; Vianna, N.; Lefebvre, P.; Ray, D.; et al. The effects of rainfall exclusion on canopy processes and biogeochemistry of an Amazon forest. J. Geophys. Res. 2002, 107, 80–85. [Google Scholar] [CrossRef]
- ESRI. ArcGIS Desktop: Release 10; Enviromental Systems Research Institute: Redlands, CA, USA, 2011. [Google Scholar]
- Moura, N.G.M.; Lees, A.C.L.; Andretti, C.; Davis, B.; Solar, R.; Aleixo, A.; Barlow, J.; Ferreira, J.; Gardner, T.A. Avian biodiversity in multiple-use landscapes of the Brazilian Amazon. Biol. Conserv. 2013, 167, 339–348. [Google Scholar] [CrossRef]
- Oliveira-Junior, J.M.B.; Shimano, Y.; Gardner, T.A.; Hughes, R.M.; De Marco, P.; Juen, L. Neotropical dragonflies (Insecta: Odonata) as indicators of ecological condition of small streams in the eastern Amazon. Austral Ecol. 2015, 40, 733–744. [Google Scholar] [CrossRef]
- May, M.L. Thermoregulation in adaptation to temperature in dragonflies (Odonata: Anisoptera). Ecol. Monogr. 1976, 46, 1–32. [Google Scholar] [CrossRef]
- May, M.L. Thermal adaptations of dragonflies, revisited. Adv. Odonatol. 1991, 5, 71–88. [Google Scholar]
- Baptista, D.F.; Dorvillé, L.F.M.; Buss, D.F.; Nessiamian, J.L. Spatial and temporal organization of aquatic insects assemblages in the longitudinal gradient of a tropical river. Rev. Bras. Biol. 2001, 61, 295–304. [Google Scholar] [CrossRef]
- Fulan, J.A.; Henry, R. Temporal distribution of immature Odonata (Insecta) on Eichhornia azurea (Kunth) stands in the Camargo Lake, Paranapanema River, São Paulo. Rev. Bras. Entomol. 2007, 51, 224–227. [Google Scholar] [CrossRef]
- Oliveira-Junior, J.M.B.; Juen, L. The Zygoptera/Anisoptera Ratio (Insecta: Odonata): A New Tool for Habitat Alterations Assessment in Amazonian Streams. Neotrop. Entomol. 2019, 48, 552–560. [Google Scholar] [CrossRef]
- Oliveira-Junior, J.M.B.; Juen, L. Structuring of Dragonfly Communities (Insecta: Odonata) in Eastern Amazon: Effects of Environmental and Spatial Factors in Preserved and Altered Streams. Insects 2019, 10, 322. [Google Scholar] [CrossRef]
- Heino, J. Taxonomic surrogacy; numerical resolution and responses of stream macroinvertebrate communities to ecological gradients: Are the inferences transferable among regions? Ecol. Indic. 2014, 36, 186–194. [Google Scholar] [CrossRef]
- De Marco, P., Jr.; Resende, D.C. Activity patterns and thermoregulation in a tropical dragonfly assemblage. Odonatologica 2002, 31, 129–138. [Google Scholar]
- Lencioni, F.A.A. The Damselflies of Brazil: An Illustrated Guide—Coenagrionidae; All Print Editora: São Paulo, Brazil, 2006; p. 419. [Google Scholar]
- Borror, D.J. A key to the New World genera of Libellulidae (Odonata). Ann. Entomol. Soc. Am. 1945, 38, 168–194. [Google Scholar] [CrossRef]
- Belle, J. Higher classification of the South-American Gomphidae (Odonata). Zool. Meded. 1996, 70, 298–324. [Google Scholar]
- Garrison, R.W. A synopsis of the genus Hetaerina with descriptions of four new species (Odonata: Calopterigidae). Trans. Am. Entomol. Soc. 1990, 116, 175–259. [Google Scholar] [CrossRef]
- Lencioni, F.A.A. The Damselflies of Brazil: An Illustrated Guide—The Non Coenagrionidae Families; All Print Editora: São Paulo, Brazil, 2005; p. 332. [Google Scholar]
- Garrison, R.W.; Von Ellenrieder, N.; Louton, J.A. Dragonfly Genera of the New Word: An Illustrated and Annotated Key to the Anisoptera; The Johns Hopkins University Press: Baltimore, MA, USA, 2006; p. 368. [Google Scholar]
- Garrison, R.W.; Von Ellenrieder, N.; Louton, J.A. Damselfly genera of the New World. In Baltimore, An Illustrated and Annotated Key to the Zygoptera; The Johns Hopkins University Press: Baltimore, MA, USA, 2010; p. 490. [Google Scholar]
- Nessimian, J.L.; Venticinque, E.; Zuanon, J.; De Marco, P.; Gordo, M.; Fidelis, L.; Batista, J.D.; Juen, L. Land use, habitat integrity, and aquatic insect assemblages in Central Amazonian streams. Hydrobiologia 2008, 614, 117–131. [Google Scholar] [CrossRef]
- Pereira, L.R.; Cabette, H.S.R.; Juen, L. Trichoptera as bioindicators of habitat integrity in the Pindaíba river basin, Mato Grosso (Central Brazil). Ann. Limnol. Int. J. Limnol. 2012, 48, 295–302. [Google Scholar] [CrossRef]
- Monteiro-Júnior, C.S.; Juen, L.; Hamada, N. Effects of urbanization on stream habitats and associated adult dragonfly and damselfly communities in central Brazilian Amazonia. Landsc. Urban Plan. 2014, 127, 28–40. [Google Scholar] [CrossRef]
- Giehl, N.F.S.; Dias-Silva, K.; Juen, L.; Batista, J.D.; Cabette, H.S.R. Taxonomic and Numerical Resolutions of Nepomorpha (Insecta: Heteroptera) in Cerrado Streams. PLoS ONE 2014, 9, e103623. [Google Scholar] [CrossRef]
- Oliveira-Junior, J.M.B.; Cabette, H.S.R.; Silva-Pinto, N.; Juen, L. As Variações na Comunidade de Odonata (Insecta) em Córregos Podem ser Preditas pelo Paradoxo do Plâncton? Explicando a Riqueza de Espécies Pela Variabilidade Ambiental. Entomobrasilis 2013, 6, 1–8. [Google Scholar] [CrossRef]
- Jacob, U.; Walther, H.; Klenke, R. Aquatic insect larvae as indicators of limiting minimal contents of dissolved oxygen-part II. Aquat. Insects 1984, 6, 185–190. [Google Scholar] [CrossRef]
- Courtney, L.A.; Clements, W.H. Effects of acidic pH on benthic macroinvertebrate communities in stream microcosms. Hydrobiologia 1998, 379, 135–145. [Google Scholar] [CrossRef]
- Hijmans, R.J.; Cameron, S.E.; Parra, J.L.; Jones, P.G.; Jarvis, A.J. Very high resolution interpolated climate surfaces for global land areas. Int. J. Climatol. 2005, 25, 1965–1978. [Google Scholar] [CrossRef]
- Tomanova, S.; Tedesco, P.A.; Campero, M.; Van Damme, P.A.; Moya, N.; Oberdorff, T. Longitudinal and altitudinal changes of macroinvertebrate functional feeding groups in Neotropical streams: A test of the River Continuum Concept. Fundam. Appl. Limnol. 2007, 170, 233–241. [Google Scholar] [CrossRef]
- Colzani, E.; Siqueira, T.; Suriano, M.T.; Roque, F.O. Responses of Aquatic Insect Functional Diversity to Landscape Changes in Atlantic Forest. Biotropica 2013, 45, 343–350. [Google Scholar] [CrossRef]
- De Marco, P., Jr.; Nóbrega, C.C.; Souza, R.A.; Neiss, U.G. Modeling the distribution of a rare Amazonian odonate in relation to future deforestation. Freshw. Sci. 2015, 34, 1123–1132. [Google Scholar] [CrossRef]
- Bonada, N.; Dolédec, S.; Statzner, B. Taxonomic and biological trait differences of stream macroinvertebrate communities between Mediterranean and temperate regions: Implications for future climatic scenarios. Glob. Chang. Biol. 2007, 13, 1658–1671. [Google Scholar] [CrossRef]
- Bispo, P.C.; Oliveira, L.G.; Crisci, V.L.; Silva, M.M. A pluviosidade como fator de alteração da entomofauna bentônica (Ephemeroptera, Plecoptera e Trichoptera) em córregos do Planalto Central do Brasil. Acta Limnol. Bras. 2001, 13, 1–9. [Google Scholar]
- Fahrig, L. Effects of habitat fragmentation on biodiversity. Annu. Rev. Ecol. Evol. Syst. 2003, 34, 487–515. [Google Scholar] [CrossRef]
- Jackson, D.A. Stopping Rules in Principal Components Analysis: A Comparison of Heuristical and Statistical Approaches. Ecology 1993, 74, 2204–2214. [Google Scholar] [CrossRef]
- Altman, D.G. Why we need confidence intervals. World J. Surg. 2005, 29, 554–556. [Google Scholar] [CrossRef]
- Legendre, P.; Legendre, L. Numerical Ecology, 2nd ed.; Elsevier: Amsterdam, The Netherlands, 1998; p. 852. [Google Scholar]
- Anderson, M.J.; Walsh, D.C.I. PERMANOVA, ANOSIM, and the Mantel test in the face of heterogeneous dispersions: What null hypothesis are you testing? Ecol. Monogr. 2013, 83, 557–574. [Google Scholar] [CrossRef]
- Anderson, M.J. Distance-based tests for homogeneity of multivariate dispersions. Biometrics 2006, 62, 245–253. [Google Scholar] [CrossRef] [PubMed]
- Borcard, D.; Legendre, P.; Drapeau, P. Partialling out the spatial component of ecological variation. Ecology 1992, 73, 45–55. [Google Scholar] [CrossRef]
- Peres-Neto, P.R.; Legendre, P.; Dray, S.; Borcard, D. Variation partitioning of species data matrices: Estimation and comparison of fractions. Ecology 2006, 87, 2614–2625. [Google Scholar] [CrossRef]
- Clarke, K.R.; Gorley, R.N. Primer V.6. User Manual/Tutorial; PRIMER-E: Plymouth, UK, 2006. [Google Scholar]
- R Development Core Team. R: A Language and Environment for Statistical Computing; R Foundation for Statistical Computing: Vienna, Austria, 2011; ISBN 3-900051-07-0. [Google Scholar]
- Göthe, E.; Angeler, D.G.; Sandin, L. Metacommunity structure in a small boreal stream network. J. Anim. Ecol. 2013, 82, 449–458. [Google Scholar] [CrossRef]
- Nabout, J.C.; Siqueira, T.; Bini, L.M.; Nogueira, I.S. No evidence for environmental and spatial processes in structuring phytoplankton communities. Acta Oecol. 2009, 35, 720–726. [Google Scholar] [CrossRef]
- Schulz, G.; Siqueira, T.; Stefan, G.; Roque, F.O. Passive and active dispersers respond similarly to environmental and spatial processes: An example from metacommunity dynamics of tree hole invertebrates. Fundam. Appl. Limnol. 2012, 181, 315–326. [Google Scholar] [CrossRef]
- Thrush, S.F.; Cummings, V.J.; Dayton, P.K.; Ford, R.; Grant, J.; Hewitt, J.E.; Hines, A.H.; Lawrie, S.M.; Pridmore, R.D.; Legendre, P.; et al. Matching the outcome of small-scale density manipulation experiments with larger scale patterns: An example of bivalve adult/juvenile interactions. J. Exp. Mar. Biol. Ecol. 1997, 216, 153–169. [Google Scholar] [CrossRef]
- Kikuchi, R.M.; Uieda, V.S. Composição da comunidade de invertebrados de um ambiente lótico tropical e sua variação espacial e temporal, pp. 157–173. In Ecologia de Insetos Aquáticos; Nessimian, J.L., Carvalho, A.L., Eds.; Séries Oecologia Brasiliensis; PPGE-UFRJ: Rio de Janeiro, Brazil, 1998; p. 309. [Google Scholar]
- Mugodo, J.; Kennard, M.J.; Liston, P.; Nichols, S.; Linke, S.; Norris, R.H.; Lintermans, M. Local stream habitat variables predicted from catchment scale characteristics are useful for predicting fish distribution. Hydrobiologia 2006, 572, 59–70. [Google Scholar] [CrossRef]
- Monteiro-Júnior, C.S.; Juen, L.; Hamada, N. Analysis of urban impacts on aquatic habitats in the central Amazon basin: Adult odonates as bioindicators of environmental quality. Ecol. Indic. 2015, 48, 303–311. [Google Scholar] [CrossRef]
- Corbet, P.S.; May, M.L. Fliers and perchers among Odonata: Dichotomy or multidimensional continuum? A provisional reappraisal. Int. J. Odonatol. 2008, 11, 155–171. [Google Scholar] [CrossRef]
- Remsburg, A.J.; Olson, A.C.; Samways, M.J. Shade alone reduces adult dragonfly (Odonata: Libellulidae) abundance. J. Insect Behav. 2008, 21, 460–468. [Google Scholar] [CrossRef]
- Resende, D.C. Residence advantage in heterospecific territorial disputes of Erythrodiplax Brauer species (Odonata, Libellulidae). Rev. Bras. Entomol. 2010, 54, 110–114. [Google Scholar] [CrossRef]
- Samways, M.J.; Taylor, S.; Tarboton, W. Extinction reprieve following alien removal. Conserv. Biol. 2005, 19, 1329–1330. [Google Scholar] [CrossRef]
- Ward, L.; Mill, P.J. Habitat factors influencing the presence of adult Calopteryx splendens (Odonata: Zygoptera). Eur. J. Entomol. 2005, 102, 47–51. [Google Scholar] [CrossRef]
- Tomanova, S.; Usseglio-Polatera, P. Patterns of benthic community traits in Neotropical streams: Relationship to mesoscale spatial variability. Fundam. Appl. Limnol. 2007, 170, 243–255. [Google Scholar] [CrossRef]
- Armitage, P.D.; Pardo, L. Impact assessment of regulation at the reach level using macroinvertebrate information from mesohabitats. Regul. Rivers Res. Manag. 1995, 10, 147–158. [Google Scholar] [CrossRef]
- Lamouroux, N.; Dolédec, S.; Gayraud, S. Biological traits of stream macroinvertebrate communities: Effects of microhabitat, reach, and basin filters. J. N. Am. Benthol. Soc. 2004, 23, 449–466. [Google Scholar] [CrossRef]
- McPeek, M.A. Ecological factors limiting the distributions and abundances of Odonata. Dragonflies & Damselflies. In Model Organisms for Ecological and Evolutionary Research; Córdoba-Aguilar, A., Ed.; Oxford University Press: Oxford, UK, 2008; pp. 51–62. [Google Scholar]
- Pandit, S.N.; Kolasa, J.; Cottenie, K. Contrasts between habitat generalists and specialists: An empirical extension to the basic metacommunity framework. Ecology 2009, 90, 2253–2262. [Google Scholar] [CrossRef]
- Schindler, M.; Fesl, C.; Chovanec, A. Dragonfly associations (Insect: Odonata) in relation to habitat variables: A multivariate approach. Hydrobiologia 2003, 497, 169–180. [Google Scholar] [CrossRef]
- Fritzsons, E.; Mantovani, L.E.; Chaves, A.; Rizzi, N.E.A. A Influência da floresta ciliar sobre a temperatura das águas do rio Capivari, região cárstica Curitibana. Rev. Floresta 2005, 35, 395–407. [Google Scholar] [CrossRef]
- Samways, M.J.; Steytler, N.S. Dragonfly (Odonata) distribution patterns in urban and forest landscapes, and recommendations for riparian management. Biol. Conserv. 1996, 78, 279–288. [Google Scholar] [CrossRef]
- Stewart, D.A.B.; Samways, M.J. Conserving dragonfly (Odonata) assemblages relative to river dynamics in an African savanna game reserve. Conserv. Biol. 1998, 12, 683–692. [Google Scholar] [CrossRef]
- Ribeiro, J.R.I.; Nessimian, J.L.; Mendonça, E.C. Aspectos da distribuição dos Nepomorpha (Hemiptera: Heteroptera) em corpos d’água na restinga de Maricá, Estado do Rio de Janeiro. In Oecologia Brasiliensis; Nessimian, J.L., Carvalho, A.L., Eds.; PPGE-UFRJ: Rio de Janeiro, Brazil, 1998; pp. 113–128. [Google Scholar]
- Sites, R.W.; Willig, M.R.; Linit, M.J. Macroecology of Aquatic Insects: A Quantitative Analysis of Taxonomic Richness and Composition in the Andes Mountains of Northern Ecuador. Biotropica 2003, 35, 226–239. [Google Scholar] [CrossRef]
- Swift, L.; Cunningham, G.B.; Douglass, J.E. Climatology and hydrology. In Forest Hydrology and Ecology at Coweeta; Swank, W.T., Crossley, D.A., Eds.; Springer: New York, NY, USA, 1988; pp. 35–55. [Google Scholar]
- Arnell, N.W. Climate change and global water resources. Glob. Environ. Chang. 1999, 9, 31–49. [Google Scholar] [CrossRef]
- Stenert, C.; Santos, E.M.; Maltchik, L. Os efeitos do pulso de inundação na comunidade de macroinvertebrados em uma lagoa associada a uma planície de inundação do sul do Brasil. In Ecótonos nas Interfaces dos Ecossistemas Aquáticos; Henry, R., Ed.; RIMA: São Carlos, Brazil, 2003; pp. 47–60. [Google Scholar]
- Huamantinco, A.A.; Nessimian, J.L. Estrutura e distribuição espacial da comunidade de larvas de Trichoptera (Insecta) em um tributário de primeira ordem do Rio Paquequer, Teresópilis, RJ. Acta Limnol. Bras. 1999, 11, 1–16. [Google Scholar]
- Murray, B.R.; Brown, A.H.D.; Dickman, C.R.; Crowther, M.S. Geographical gradients in seed mass in relation to climate. J. Biogeogr. 2004, 31, 379–388. [Google Scholar] [CrossRef]
- Thuiller, W.; Lavorel, S.; Midgley, G.; Lavergne, S.; Rebelo, T. Relating plant traits and species distributions along bioclimatic gradients for Leucadendron taxa. Ecology 2004, 85, 1688–1699. [Google Scholar] [CrossRef]
- Díaz, S.; Cabido, M. Plant functional types and ecosystem function in relation to global change. J. Veg. Sci. 1997, 8, 463–474. [Google Scholar] [CrossRef]
- Mulholland, P.J.; Best, G.B.; Coutant, C.C.; Hornberger, G.M.; Meyer, J.L.; Robinson, P.J.; Stenberg, J.R.; Turner, R.E.; Vera-Herrera, F.; Wetzel, R.G. Effects of climate change on freshwater ecosystems of the south-eastern United States and the Gulf Coast of Mexico. Hydrol. Process. 1997, 11, 949–970. [Google Scholar] [CrossRef]
- Jacobsen, D. Contrasting patterns in local and zonal family richness of stream invertebrates along an Andean altitudinal gradient. Freshw. Biol. 2004, 49, 1293–1305. [Google Scholar] [CrossRef]
- Stenert, C.; Maltchik, L. Influence of area, altitude and hydroperiod on macroinvertebrate communities in southern Brazil wetlands. Mar. Freshw. Res. 2007, 58, 993–1001. [Google Scholar] [CrossRef]
- Keil, P.; Simova, I.; Hawkins, B.A. Water-energy and the geographical species richness pattern of European and North African dragonflies (Odonata). Insect Conserv. Divers. 2008, 1, 142–150. [Google Scholar] [CrossRef]







| Order/Separate Suborders | Variance Partitioning | |
|---|---|---|
| Adj. R2 | p | |
| Odonata | ||
| Local [LO] | 0.046 | 0.001 |
| Regional [RE] | 0.063 | 0.001 |
| Shared [RE:LO] | 0.100 | |
| Residual [RS] | 0.790 | |
| Anisoptera | ||
| Local [LO] | 0.037 | 0.002 |
| Regional [RE] | 0.040 | 0.001 |
| Shared [RE:LO] | 0.084 | |
| Residual [RS] | 0.837 | |
| Zygoptera | ||
| Local [LO] | 0.022 | 0.001 |
| Regional [RE] | 0.069 | 0.001 |
| Shared [RE:LO] | 0.093 | |
| Residual [RS] | 0.813 | |
© 2019 by the authors. Licensee MDPI, Basel, Switzerland. This article is an open access article distributed under the terms and conditions of the Creative Commons Attribution (CC BY) license (http://creativecommons.org/licenses/by/4.0/).
Share and Cite
Oliveira-Junior, J.M.B.; Dias-Silva, K.; Teodósio, M.A.; Juen, L. The Response of Neotropical Dragonflies (Insecta: Odonata) to Local and Regional Abiotic Factors in Small Streams of the Amazon. Insects 2019, 10, 446. https://doi.org/10.3390/insects10120446
Oliveira-Junior JMB, Dias-Silva K, Teodósio MA, Juen L. The Response of Neotropical Dragonflies (Insecta: Odonata) to Local and Regional Abiotic Factors in Small Streams of the Amazon. Insects. 2019; 10(12):446. https://doi.org/10.3390/insects10120446
Chicago/Turabian StyleOliveira-Junior, José Max Barbosa, Karina Dias-Silva, Maria Alexandra Teodósio, and Leandro Juen. 2019. "The Response of Neotropical Dragonflies (Insecta: Odonata) to Local and Regional Abiotic Factors in Small Streams of the Amazon" Insects 10, no. 12: 446. https://doi.org/10.3390/insects10120446
APA StyleOliveira-Junior, J. M. B., Dias-Silva, K., Teodósio, M. A., & Juen, L. (2019). The Response of Neotropical Dragonflies (Insecta: Odonata) to Local and Regional Abiotic Factors in Small Streams of the Amazon. Insects, 10(12), 446. https://doi.org/10.3390/insects10120446

