Performance of Poly Alpha Olefin Nanolubricant
Abstract
1. Introduction
2. Experimental Measurements
2.1. Lubricants Viscosity
2.2. Surface Topography
2.3. Pin-On-Disc Tribometry
3. Analytical Method
3.1. Prediction of Friction
3.2. Thermal Analysis
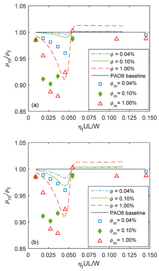
4. Results and Discussion
5. Conclusions
Author Contributions
Funding
Conflicts of Interest
References
- Choi, S.U.S.; Eastman, J.A. Enhancing Thermal Conductivity of Fluids with Nanoparticles; No. ANL/MSD/CP-84938, CONF-951135-29; Argonne National Lab.: IL, USA, 1995. [Google Scholar]
- Masuda, H.; Ebata, A.; Teramae, K. Alteration of thermal conductivity and viscosity of liquid by dispersing ultra-fine particles (dispersion of Al2O3, SiO2 and TiO2 ultra-fine particles). NETSU BUSSEI 1993, 7, 227–233. [Google Scholar] [CrossRef]
- Lee, S.; Choi, S.U.S.; Li, S.; Eastman, J.A. Measuring thermal conductivity of fluids containing oxide nanoparticles. J. Heat Transf. 1999, 121, 280–289. [Google Scholar] [CrossRef]
- Xuan, Y.; Li, Q. Heat transfer enhancement of nanofluids. Int. J. Heat Fluid Flow 2000, 21, 58–64. [Google Scholar] [CrossRef]
- Xuan, Y.; Li, Q. Investigation on convective heat transfer and flow features of nanofluids. J. Heat Transf. 2003, 125, 151–155. [Google Scholar] [CrossRef]
- Xuan, Y.; Roetzi, W. Conceptions for heat transfer correlation of nanofluids. Int. J. Heat Mass Transf. 2000, 43, 3701–3707. [Google Scholar] [CrossRef]
- Branson, B.T.; Beauchamp, P.S.; Beam, J.C.; Lukehart, C.M.; Davidson, J.L. Nanodiamond nanofluids for enhanced thermal conductivity. ACS Nano 2013, 7, 3183–3189. [Google Scholar] [CrossRef]
- Yu, W.; Xie, H.; Li, Y.; Chen, L.; Wang, Q. Experimental investigation on the thermal transport properties of ethylene glycol based nanofluids containing low volume concentration diamond nanoparticles. Colloids Surf. A Physicochem. Eng. Asp. 2011, 380, 1–5. [Google Scholar] [CrossRef]
- Kakac, S.; Pramuanjaroenkij, A. Review of convective heat transfer enhancement with nanofluids. Int. J. Heat Mass Transf. 2009, 52, 3187–3196. [Google Scholar] [CrossRef]
- Lomascolo, M.; Colangelo, G.; Milanese, M.; de Risi, A. Review of heat transfer in nanofluids: Conductive, convective and radiative experimental results. Renew. Sustain. Energy Rev. 2015, 43, 1182–1198. [Google Scholar] [CrossRef]
- Hwang, Y.; Park, H.S.; Lee, J.K.; Jung, W.H. Thermal conductivity and lubrication characteristics of nanofluids. Curr. Appl. Phys. 2006, 6, e67–e71. [Google Scholar] [CrossRef]
- Angayarkanni, S.A.; Philip, J. Review on thermal properties of nanofluids: Recent developments. Adv. Colloid Interface Sci. 2015, 225, 146–176. [Google Scholar] [CrossRef]
- Philip, J.; Shima, P.D. Thermal properties of nanofluids. Adv. Colloid Interface Sci. 2012, 183, 30–45. [Google Scholar] [CrossRef] [PubMed]
- Pilkington, G.A.; Briscoe, W.H. Nanofluids mediating surface forces. Adv. Colloid Interface Sci. 2012, 179, 68–84. [Google Scholar] [CrossRef] [PubMed]
- Yeganeh, M.; Shahtahmasebi, N.; Kompany, A.; Goharshadi, E.K.; Youseffi, A.; Siller, L. Volume fraction and temperature variations of the effective thermal conductivity of nanodiamond fluids in deionized water. Int. J. Heat Mass Transf. 2010, 53, 3186–3192. [Google Scholar] [CrossRef]
- Wu, Y.Y.; Tsui, W.C.; Liu, T.C. Experimental analysis of tribological properties of lubricating oils with nanoparticle additives. Wear 2006, 262, 819–825. [Google Scholar] [CrossRef]
- Tarasov, S.; Kolubaev, A.; Belyaev, S.; Lerner, M.; Tepper, F. Study of friction reduction by nanocopper additives to motor oil. Wear 2002, 252, 63–69. [Google Scholar] [CrossRef]
- Cortes, V.; Ortega, J.A. Evaluating the Rheological and Tribological Behaviours of Coconut Oil Modified with Nanoparticles as Lubricant Additives. Lubricants 2019, 7, 76. [Google Scholar] [CrossRef]
- Martin, J.M.; Ohmae, N. Nanolubricants; John Wiley and Sons Ltd.: Sussex, UK, 2008. [Google Scholar]
- Sundar, L.S.; Singh, M.K.; Ramana, E.V.; Singh, B.; Gracio, J.; Sousa, A.C. Enhanced thermal conductivity and viscosity of nanodiamond-nickel nanocomposite nanofluids. Sci. Rep. 2014, 4, 4039–4053. [Google Scholar] [CrossRef]
- Shenderova, O.; Taylor, T.; Cunningham, G.; Ray, M.; Walsh, J.; Casulli, M.; Hens, S.; McGuire, G.; Kuznetsov, V.; Lipa, S. Nanodiamond and onion-like carbon polymer nanocomposites. Diam. Relat. Mater. 2007, 16, 1213–1217. [Google Scholar] [CrossRef]
- Sajid, M.U.; Ali, H.M. Recent advances in application of nanofluids in heat transfer devices: A critical review. Renew. Sustain. Energy Rev. 2019, 103, 556–592. [Google Scholar] [CrossRef]
- Zhmud, B.; Pasalskiy, B. Nanomaterials in Lubricants: An Industrial Perspective on Current research. Lubricants 2013, 1, 95–101. [Google Scholar] [CrossRef]
- Peng, D.X.; Kang, Y.; Hwang, R.M.; Shyr, S.S.; Chang, Y.P. Tribological properties of diamond and SiO2 nanoparticles added in paraffin. Tribol. Int. 2009, 42, 911–917. [Google Scholar] [CrossRef]
- Tortora, A.M.; Veeregowda, D.H. Effects of two sliding motions on the superlubricity and wear of self-mated bearing steel lubricated by aqueous glycerol with and without nanodiamonds. Wear 2017, 386, 173–178. [Google Scholar] [CrossRef]
- Golchin, A.; Villain, A.; Emami, N. Tribological behaviour of nanodiamond reinforced UHMWPE in water-lubricated contacts. Tribol. Int. 2017, 110, 195–200. [Google Scholar] [CrossRef]
- Mochalin, V.N.; Shenderova, O.; Ho, D.; Gogotsi, Y. The properties and applications of nanodiamonds. Nat. Nanotechnol. 2012, 7, 11–23. [Google Scholar] [CrossRef]
- Nunn, N.; Torelli, M.; McGuire, G.; Shenderova, O. Nanodiamond: A high impact nanomaterial. Curr. Opin. Solid State Mater. Sci. 2017, 21, 1–9. [Google Scholar] [CrossRef]
- Einstein, A. On the motion of small particles suspended in liquids at rest required by the molecular-kinetic theory of heat. Annalen der Physik 1905, 17, 549–560. [Google Scholar] [CrossRef]
- Masoumi, N.; Sohrabi, N.; Behzadmehr, A. A new model for calculating the effective viscosity of nanofluids. J. Phys. D Appl. Phys. 2009, 42, 055501. [Google Scholar] [CrossRef]
- Shahmohamadi, H.; Rahmani, R.; Rahnejat, H.; Garner, C.P.; Balodimos, N. Thermohydrodynamics of lubricant flow with carbon nanoparticles in tribological contacts. Tribol. Int. 2016, 113, 50–57. [Google Scholar] [CrossRef]
- Rapoport, L.; Leshchinsky, V.; Lapsker, I.; Volovik, Y.; Nepomnyashchy, O.; Lvovsky, M.; Popovitz-Biro, R.; Feldman, Y.; Tenne, R. Tribological properties of WS2 nanoparticles under mixed lubrication. Wear 2003, 255, 785–793. [Google Scholar] [CrossRef]
- Chen, Y.; Zhang, Y.; Zhang, S.; Yu, L.; Zhang, P.; Zhang, Z. Preparation of Nickel-Based Nanolubricants via a facile in situ one-step route and investigation of their tribologial properties. Trib. Lett. 2013, 51, 73–83. [Google Scholar] [CrossRef]
- Kleinstreuer, C.; Xu, Z. Mathematical modelling and computer simulations of nanofluid flow with applications to cooling and lubrication. Fluids 2016, 1, 16. [Google Scholar] [CrossRef]
- Tannous, J.; Dassenoy, F.; Lahouij, I.; Le Mogne, T.; Vacher, B.; Bruhacs, A.; Tremel, W. Understanding the tribochemical mechanisms of IF-MoS2 nanoparticles under boundary lubrication. Trib. Lett. 2011, 41, 55–64. [Google Scholar] [CrossRef]
- Mahian, O.; Kolsi, L.; Amani, M.; Estelle, P.; Ahmadi, G.; Kleinstreuer, C.; Marshall, J.S.; Taylor, R.A.; Abu-Nada, E.; Rashidi, S.; et al. Recent advances in modelling and simulation of nanofluid flows—Part II: Applications. Phys. Rep. 2019, 791, 1–59. [Google Scholar] [CrossRef]
- Demas, N.G.; Timofeeva, E.V.; Routbort, J.L.; Fenske, G.R. Tribological effects of BN and MoS2 Nanoparticles added to Polyalphaolefin oil in piston skirt/cylinder liner tests. Trib. Lett. 2012, 47, 91–102. [Google Scholar] [CrossRef]
- Echavarri Otero, J.; Lafont Morgado, P.; Chacon Tanarro, E.; de la Guerra Ochoa, E.; Diaz Lantada, A.; Munoz-Guijosa, J.M.; Munoz Sanz, J.L. Analytical model for predicting the friction coefficient in point contacts with thermal elastohydrodynamic lubrication. Proc. IMechE Part. J. J. Eng. Trib. 2011, 225, 181–191. [Google Scholar] [CrossRef]
- Totten, G.E.; Westbrook, S.R.; Shah, R.J. Fuels and Lubricants Handbook: Technology, Properties, Performance and Testing; ASTM International: West Conshohocken, PA, USA, 2003. [Google Scholar]
- Guimarey, M.J.G.; Comunas, M.J.P.; Lopez, E.R.; Amigo, A.; Fernandez, J. Volumetric behaviour of some motor and gear-boxes oils at high pressure: Compressibility estimation at EHL conditions. Ind. Eng. Chem. Res. 2017, 58, 10877–10885. [Google Scholar] [CrossRef]
- Vogel, H. Das temperaturabhaengigkeitsgesetz der viskositaet von fluessigkeiten. Phys. Z. 1921, 22, 645–646. [Google Scholar]
- Stachowiak, G.W.; Batchelor, A.W. Engineering Tribology; Elsevier: Amesterdam, The Netherlands, 2014. [Google Scholar]
- Suganthai, K.S.; Rajan, K.S. Metal oxide nanofluids: Review of formulation, thermophysical properties, mechanisms and heat transfer performance. Renew. Sustain. Energy Rev. 2017, 76, 226–255. [Google Scholar] [CrossRef]
- Rabbani Esfahani, M.; Mohseni Languri, E.; Rao Nunna, M. Effect of particle size and viscosity on thermal conductivity enhancement of graphese oxide nanofluid. Int. Commun. Heat Mass Transf. 2016, 76, 308–315. [Google Scholar] [CrossRef]
- Das, S.K.; Putra, N.; Thiesen, P.; Roetzel, W. Temperature dependence of thermal conductivity enhancement for nanofluids. J. Heat Transf. ASME 2003, 125, 567–574. [Google Scholar] [CrossRef]
- Li, C.H.; Peterson, G.P. Experimental investigation of temperature and volume fraction variations on the effective thermal conductivity of nanoparticle suspensions (nanofluids). J. Appl. Phys. 2006, 99, 084314. [Google Scholar] [CrossRef]
- Nguyen, C.T.; Desgranges, F.; Roy, G.; Galanis, N.; Mare, T.; Boucher, S.; Angue Minsta, H. Temperature and particle-size dependent viscosity data for water-based nanofluids—Hysteresis phenomenon. Int. J. Heat Fluid Flow 2007, 28, 1492–1506. [Google Scholar] [CrossRef]
- Mahbubul, I.M.; Saidur, R.; Amalina, M.A. Latest developments on the viscosity of nanofluids. Int. J. Heat Mass Transf. 2012, 55, 874–885. [Google Scholar] [CrossRef]
- Gohar, R.; Rahnejat, H. Fundamentals of Tribology; Imperial College Press: London, UK, 2008. [Google Scholar]
- Gohar, R. Elastohydrodynamics; Ellis Horwood: Chichester, UK, 1988. [Google Scholar]
- Greenwood, J.A.; Tripp, J.H. The contact of two nominally flat rough surfaces. Proc. IMechE 1970, 185, 625–633. [Google Scholar] [CrossRef]
- Stribeck, R. Die wesentliechenichen eigenschaften gleit und rollen lager (Ball bearings for various loads). Trans. ASME 1907, 29, 420–463. [Google Scholar]
- Briscoe, B.J.; Evans, D.C. The shear properties of Langmuir—Blodgett layers. Proc. R. Soc. Lond. A. Math. Phys. Sci. 1982, 380, 389–407. [Google Scholar]
- Eyring, H. Viscosity, plasticity, and diffusion as examples of absolute reaction rates. J. Chem. Phys. 1936, 4, 283–291. [Google Scholar] [CrossRef]
- Chong, W.W.F.; Rahnejat, H. Nanoscale friction as a function of activation energies. Surf. Topogr. Metrol. Prop. 2015, 3, 044002. [Google Scholar] [CrossRef]
- Umer, J.; Morris, N.; Leighton, M.; Rahmani, R.; Howell-Smith, S.; Wild, R.; Rahnejat, H. Asperity level tribological investigation of automotive bore material and coatings. Tribol. Int. 2018, 117, 131–140. [Google Scholar] [CrossRef]
- Morris, N.; Rahmani, R.; Rahnejat, H.; King, P.D.; Fitzsimons, B. Tribology of piston compression ring conjunction under transient thermal mixed regime of lubrication. Tribol. Int. 2014, 59, 248–258. [Google Scholar] [CrossRef]
- Das, S.K.; Choi, S.U.S.; Yu, W.; Pradeep, T. Nanofluids: Science and Technology; John Wiley and Sons Inc.: Hoboken, NJ, USA, 2008. [Google Scholar]
- Carslaw, H.S.; Jaeger, J.C. Conduction of Heat in Solids; Scientific Publications: Oxford, UK, 2005. [Google Scholar]
- Yu, W.; Choi, S.U.S. The role of interfacial layers in the enhanced thermal conductivity of nanofluids: A renovated Hamilton-Crosser model. J. Nanoparticle Res. 2004, 6, 355–361. [Google Scholar] [CrossRef]
- Dolatabadi, N.; Rahmani, R.; Rahnejat, H.; Garner, C.P. Thermal conductivity and molecular heat transport of nanofluids. R. Soc. Chem. RSC Adv. 2019, 9, 2516–2524. [Google Scholar] [CrossRef]
- Jang, S.P.; Choi, S.U.S. Role of Brownian motion in the enhanced thermal conductivity of nanofluids. Appl. Phys. Lett. 2004, 84, 4316–4318. [Google Scholar] [CrossRef]
- Hersey, M.D. The Laws of Lubrication of Horizontal Journal Bearings. J. Wash. Acad. Sci. 1914, 4, 542–552. [Google Scholar]
- Saurin, N.; Espinosa, T.; Sanes, J.; Carrion, F.J.; Bermudez, M.D. Ionic nanofluids in tribology. Lubricants 2015, 3, 650–663. [Google Scholar] [CrossRef]
- Zhang, Z.; Xue, Q.; Zhang, J. Synthesis, structure and lubricating properties of dialkyldithiophosphate-modified Mo-S compound nanoclusters. Wear 1997, 209, 8–12. [Google Scholar] [CrossRef]
- Battez, A.H.; Gonzalez, R.; Viesca, J.L.; Fernandez, J.E.; Diaz Fernandez, J.M.; Machado, A.; Chou, R.; Riba, J. CuO, ZrO2 and ZnO nanoparticles as antiwear additive in oil lubricants. Wear 2008, 265, 422–428. [Google Scholar] [CrossRef]
- Styles, G.; Rahmani, R.; Rahnejat, H.; Fitzsimons, B. In-cycle and life-time friction transience in piston ring-liner conjunction under mixed regime of lubrication. Int. J. Eng. Res. 2014, 15, 862–876. [Google Scholar] [CrossRef]







| Parameter | Value | Unit |
|---|---|---|
| Density at 15 °C | 830 | kg/m3 |
| Thermal conductivity at 80 °C | 0.15 | W/(m K) |
| Specific heat capacity at 100 °C | 2.303 × 103 | J/(kg K) |
| Thermal expansion coefficient | 6.4 × 10−4 | 1/K |
| Parameter | Value | Unit |
|---|---|---|
| Size | <100 | Nm |
| Shape | Spherical | − |
| Density | 3500 | kg/m3 |
| Thermal conductivity | 3300 | W/(m K) |
| Specific heat capacity | 509.1 | J/(kg K) |
| T (°C) ± 1 | ||||||||
|---|---|---|---|---|---|---|---|---|
| PAO6 | Average (STDev) | 0.04% VF | Average (STDev) | 0.1% VF | Average (STDev) | 1.0% VF | Average (STDev) | |
| 20 | 0.0586 | 0.0589 (20) | 0.0588 | 0.0592 (26) | 0.0595 | 0.0595 (21) | 0.0605 | 0.0604 (25) |
| 0.0589 | 0.0595 | 0.0598 | 0.0600 | |||||
| 0.0592 | 0.0592 | 0.0592 | 0.0607 | |||||
| 33 | 0.0322 | 0.0318 (25) | 0.0330 | 0.0323 (42) | 0.0330 | 0.0324 (42) | 0.0337 | 0.0331 (39) |
| 0.0318 | 0.0322 | 0.0322 | 0.0329 | |||||
| 0.0314 | 0.0318 | 0.0318 | 0.0327 | |||||
| 46 | 0.0189 | 0.0187 (16) | 0.0190 | 0.0188 (16) | 0.0193 | 0.0190 (14) | 0.0200 | 0.0196 (27) |
| 0.0187 | 0.0188 | 0.0190 | 0.0196 | |||||
| 0.0184 | 0.0186 | 0.0188 | 0.0193 | |||||
| 60 | 0.0125 | 0.0123 (10) | 0.0128 | 0.0124 (19) | 0.0128 | 0.0127 (10) | 0.0133 | 0.0128 (33) |
| 0.0123 | 0.0124 | 0.0127 | 0.0128 | |||||
| 0.0122 | 0.0122 | 0.0125 | 0.0123 | |||||
| Lubricant | |||
| PAO6 | 1.497 × 10−4 | 1337.544 | 131.565 |
| 0.04% VF | 8.584 × 10−5 | 831.734 | 165.900 |
| 0.10% VF | 1.499 × 10−4 | 687.933 | 178.177 |
| 1.00% VF | 9.263 × 10−5 | 823.399 | 166.086 |
| Parameter | Pin | Disc | Unit |
|---|---|---|---|
| Root mean square (RMS) roughness, | 0.64 | 0.71 | µm |
| Mean peak radius of curvature, | 18.9 | 8.3 | µm |
| Density of peaks, | 262 × 10−6 | 646 × 10−6 | µm−2 |
| Skewness, | −0.36 | 0.0793 | − |
| Kurtosis, | 3.66 | 3.63 | − |
| Parameter | Pin | Disc | Unit |
|---|---|---|---|
| Material | En36C | En36C | − |
| Hardness | 700 | 700 | HV |
| Modulus of Elasticity, E | 205 | 205 | GPa |
| Poisson Ratio, ν | 0.3 | 0.3 | − |
| Radius of curvature, R | 0.0286 | ∞ | |
| Sample width, L | 0.010 | − | |
| Sample length, b | 0.020 | − | |
| Thermal conductivity | 43 | 43 | W/mK |
| Specific heat capacity | 500 | 500 | J/kgK |
© 2020 by the authors. Licensee MDPI, Basel, Switzerland. This article is an open access article distributed under the terms and conditions of the Creative Commons Attribution (CC BY) license (http://creativecommons.org/licenses/by/4.0/).
Share and Cite
Dolatabadi, N.; Rahmani, R.; Rahnejat, H.; Garner, C.P.; Brunton, C. Performance of Poly Alpha Olefin Nanolubricant. Lubricants 2020, 8, 17. https://doi.org/10.3390/lubricants8020017
Dolatabadi N, Rahmani R, Rahnejat H, Garner CP, Brunton C. Performance of Poly Alpha Olefin Nanolubricant. Lubricants. 2020; 8(2):17. https://doi.org/10.3390/lubricants8020017
Chicago/Turabian StyleDolatabadi, Nader, Ramin Rahmani, Homer Rahnejat, Colin P. Garner, and Charles Brunton. 2020. "Performance of Poly Alpha Olefin Nanolubricant" Lubricants 8, no. 2: 17. https://doi.org/10.3390/lubricants8020017
APA StyleDolatabadi, N., Rahmani, R., Rahnejat, H., Garner, C. P., & Brunton, C. (2020). Performance of Poly Alpha Olefin Nanolubricant. Lubricants, 8(2), 17. https://doi.org/10.3390/lubricants8020017

