Synthesis and Characterization of Trimethylolpropane Esters via Guanidine Carbonate-Catalyzed Transesterification of Sunflower Oil Methyl Esters
Abstract
1. Introduction
- Deprotonation and activation of TMP hydroxyl groups.
- Nucleophilic activation of FAME carbonyl carbons via hydrogen bonding or ion-pair interactions.
- Enhanced methanol displacement due to carbonate buffering.
- Suppression of saponification compared to strong metal alkoxides because guanidines stabilize transition states without forming strongly nucleophilic metal–oxygen species.
2. Materials and Methods
| Fatty Acid | Molecular Formula | SUNOME | |
|---|---|---|---|
| Caproic | CH3(CH2)4COOCH3 | C6:0 | 0.1% |
| Caprylic | CH3(CH2)6COOCH3 | C8:0 | 0.0% |
| Capric | CH3(CH2)8COOCH3 | C10:0 | 0.0% |
| Lauric | CH3(CH2)10COOCH3 | C12:0 | 0.0% |
| Myristic | CH3(CH2)12COOCH3 | C14:0 | 0.1% |
| Myristoleic | CH3(CH2)3CH=CH(CH2)7COOCH3 | C14:1 | 0.3% |
| Palmitic | CH3(CH2)14COOCH3 | C16:0 | 7.3% |
| Palmitoleic | CH3(CH2)5CH=CH(CH2)7COOCH3 | C16:1 | 0.2% |
| Margaric | CH3(CH2)15COOCH3 | C 17:0 | 0.0% |
| Stearic | CH3(CH2)16COOCH3 | C18:0 | 3.1% |
| Oleic | CH3(CH2)7CH=CH(CH2)7COOCH3 | C18:1 | 37.3% |
| Linoleic | CH3(CH2)4CH=CHCH2CH=CH-(CH2)7COOCH3 | C18:2 | 49.3% |
| Linolenic | CH3(CH2CH=CH)3(CH2)7COOCH3 | C18:3 | 0.4% |
| Arachidic | CH3(CH2)18COOCH3 | C20:0 | 0.2% |
| Eicosenoic | CH3(CH2)7CH=CH(CH2)9COOCH3 | C20:1 | 0.3% |
| Behenic | C21H43COOCH3 | C22:0 | 0.7% |
| Erucic | CH3(CH2)7CH=CH(CH2)11COOCH3 | C22:1 | 0.4% |
| Lignoceric | C23H47COOCH3 | C24:0 | 0.3% |
| Property | Unit | SUNOME | EN 14214 Limits | Standard Method |
|---|---|---|---|---|
| Density (15 °C) | g/cm3 | 0.882 | 0.860–0.900 | EN ISO 12185 [32] |
| Kinematic Viscosity (40 °C) | mm2/s | 4.63 | 3.50–5.00 | EN ISO 3104 [33] |
| Water Content | mg/kg | 250.4 | Max. 500 | EN ISO 12937 [34] |
| Acid Value (AV) | mg KOH/g | 0.21 | Max. 0.50% | EN 14104 [35] |
| Ester Content | m/m | 98.8% | Min. 96.5% | EN 14103 [36] |
| Methanol Content | m/m | 0.06% | Max. 0.2% | EN 14110 [37] |
| Linolenic acid methyl ester content | m/m | 0.4% | Max. 12% | EN 14103 [36] |
2.1. Synthesis Procedure
- I.
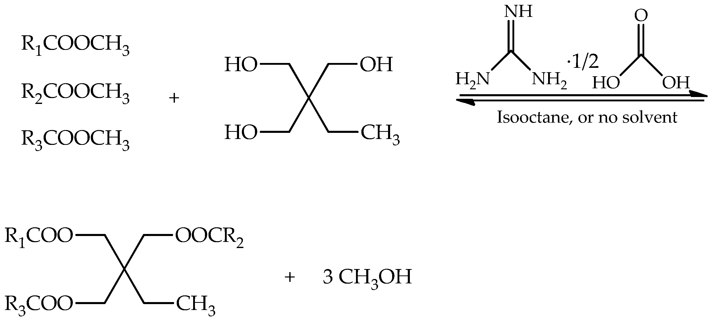
- Sunflower oil methyl esters (SUNOME, 50 g) and trimethylolpropane (TMP, 7.67 g) were charged into a 250 mL round-bottom reactor at a molar ratio of 3:1 according to the general reaction shown in Figure 1.
- II.
- Guanidine carbonate was added at the desired concentration (3.0–5.0 wt% relative to the total mass of the reactants) and two distinct methodologies were employed [12,16,38]:
- Isooctane-assisted transesterification: Reactions were performed in a 250 mL round-bottom flask fitted with a Dean–Stark trap and reflux condenser. Isooctane (40 mL) was used as a solvent to facilitate reactant contact and to collect and remove methanol generated during the process, thereby promoting higher conversion via Le Chatelier’s principle. The reactive mixture was heated to 180 °C under atmospheric pressure.
- Vacuum-assisted transesterification: The reaction was conducted under 0.25 bar vacuum maintained with a centrifugal pump, with methanol vapors condensed in a cold trap. The mixture was heated to 140 °C, keeping the methyl ester-to-TMP ratio at 3:1.

- III.
- Upon completion of each batch reaction, the mixtures were allowed to cool to ambient temperature, followed by cessation of stirring.
- IV.
- The products were then centrifuged at 3500 rpm for 15 min to remove the catalyst and any precipitated solids. When centrifugation was insufficient, vacuum filtration was performed. In reactions employing isooctane, the solvent was recovered by vacuum distillation using a rotary evaporator [16].
2.2. Conversion Rate and Reaction Time Monitoring and Determination
2.3. Characterization and Testing
3. Results
4. Discussion
4.1. Comparison of the Two Synthetic Methods and Selection of Optimal Catalyst Concentration
4.2. FTIR Spectroscopy and Evidence of Amide Formation
4.3. Elemental Analysis and Its Implications for Reaction Pathways
4.4. Tribological Performance and Comparison with Mineral Base Oils
- The presence of small amounts of guanidinamide species, which reinforce the surface film through additional hydrogen-bonding and dipole interactions with steel surfaces [48].
5. Conclusions
- Both methods demonstrate excellent catalytic efficiency, with optimal conversion achieved at intermediate catalyst concentrations.
- The concentration of guanidine carbonate was found to be a critical parameter affecting the reaction efficiency and product quality. The optimal catalyst concentrations were determined to be 4.0 wt% for the isooctane-assisted process and 4.5 wt% for the vacuum-assisted process, based on the combined evaluation of reaction time and physicochemical properties.
- The vacuum-assisted synthesis proved more effective in promoting ester formation, resulting in shorter reaction times and higher kinematic viscosities at both 40 °C and 100 °C, as well as slightly improved oxidation stability compared to the solvent-assisted method.
- All synthesized SUNOTMPEs exhibited high-viscosity index values, significantly exceeding those of conventional Group I mineral base oils, indicating superior viscosity–temperature behavior.
- The examination of the conversion rate, the study of the physicochemical properties and FTIR spectroscopy confirmed the formation of trimethylolpropane esters and revealed additional absorption features attributed to nitrogen-containing functional groups. The elemental analysis verified the incorporation of small amounts of nitrogen into the products, consistent with the formation of fatty acid guanidinamides as secondary reaction products.
- Although formed in minor quantities, the presence of guanidinamide species was found to have a beneficial impact on the boundary lubrication performance due to their strong surface activity and ability to enhance tribofilm stability.
- Tribological testing, according to ASTM D4172 and ASTM D 2783, demonstrated that SUNOTMPEs exhibit substantially lower wear scar diameters and coefficients of friction and higher weld loads compared to SN-150 and SN-500 mineral oils, confirming their superior anti-wear and friction-reducing performance.
- Overall, SUNOTMPEs synthesized using guanidine carbonate—particularly via the vacuum-assisted route—show strong potential as renewable base lubricating oils, combining favorable physicochemical characteristics with enhanced tribological behavior, and represent a promising alternative to conventional mineral-based lubricants.
Author Contributions
Funding
Data Availability Statement
Conflicts of Interest
Abbreviations
| SUNOME | Sunflower oil methyl esters |
| FAME | Fatty acid methyl esters |
| TMP | Trimethylolpropane |
| GNDC | Guanidine carbonate |
| FATMPE | Fatty acid trimethylolpropane esters |
| SUNOTMPE | Sunflower oil trimethylolpropane esters |
| WSD | Wear scar diameter |
| CoF | Coefficient of friction |
References
- Nogales-Delgado, S.; Encinar, J.M.; González, J.F. A Review on Biolubricants Based on Vegetable Oils through Transesterification and the Role of Catalysts: Current Status and Future Trends. Catalysts 2023, 13, 1299. [Google Scholar] [CrossRef]
- Salih, N.; Salimon, J. A Review on Eco-Friendly Green Biolubricants from Renewable and Sustainable Plant Oil Sources. Barrier Release Interface Chem. 2021, 11, 13303–13327. [Google Scholar] [CrossRef]
- Cecilia, J.A.; Plata, D.B.; Saboya, R.M.A.; de Luna, F.M.T.; Cavalcante, C.L.; Rodríguez-Castellón, E. An overview of the biolubricant production process: Challenges and future perspectives. Processes 2020, 8, 257. [Google Scholar] [CrossRef]
- European Commission. EU Agricultural Markets Data—Sunflower Seeds. 2023. Available online: https://agriculture.ec.europa.eu (accessed on 29 November 2025).
- Appiah, G.; Tulashie, S.K.; Akpari, E.E.A.; Rene, E.R.; Dodoo, D. Biolubricant production via esterification and transesterification processes: Current updates and perspectives. Int. J. Energy Res. 2022, 46, 3860–3890. [Google Scholar] [CrossRef]
- FAO. FAOSTAT Statistical Database: Crops and Livestock Products. 2023. Available online: https://www.fao.org/faostat/en/ (accessed on 29 November 2025).
- de Sá Parente, E.J.; de Oliveira, L.B.; de Luna, F.M.T.; Cavalcante, C.L. Integrated production of biolubricants and biodiesel: Process simulation and technical–economic analysis. Biomass Convers. Biorefin. 2023, 14, 23709–23732. [Google Scholar] [CrossRef]
- OECD-FAO. OECD-FAO Agricultural Outlook 2021–2030; Organisation for Economic Co-Operation and Development and Food and Agriculture Organization of the United Nations: Paris, France, 2021. [Google Scholar] [CrossRef]
- Kurre, S.K.; Yadav, J. A Review on Bio-Based Feedstock, Synthesis, and Chemical Modification to Enhance Tribological Properties of Biolubricants. Ind. Crops Prod. 2023, 193, 116122. [Google Scholar] [CrossRef]
- Reeves, C.J.; Siddaiah, A.; Menezes, P.L. A Review on the Science and Technology of Natural and Synthetic Biolubricants. J. Bio-Tribocorros. 2017, 3, 11. [Google Scholar] [CrossRef]
- Sarker, M.I.; Ngo, H.; Sharma, B.K.; Wagner, K.M.; Jones, K.C.; Powell, M.J. Green Synthesis of Trimethylolpropane Triisostearate and Triisooleate for Usage as Bio-Lubricants. Tribol. Int. 2023, 186, 108649. [Google Scholar] [CrossRef]
- Shi, Y.; Qiao, S.; Wang, X.; Lin, Z.; Jiang, Y. Synthesis of Bio-Lubricant Trimethylolpropane Trioleate and Its Lubricant Base Oil Properties. Energy Fuels 2017, 31, 7185–7190. [Google Scholar] [CrossRef]
- Barbera, E.; Hirayama, K.; Maglinao, R.L.; Davis, R.W.; Kumar, S. Recent Developments in Synthesizing Biolubricants—A Review. Biomass Convers. Biorefin. 2024, 14, 2867–2887. [Google Scholar] [CrossRef]
- Hájek, M.; Vávra, A.; de Paz Carmona, H.; Kocík, J. The Catalysed Transformation of Vegetable Oils or Animal Fats to Biofuels and Bio-Lubricants: A Review. Catalysts 2021, 11, 1118. [Google Scholar] [CrossRef]
- Nogales-Delgado, S.; Encinar, J.M.; González, J.F. Use of Mild Reaction Conditions to Improve Quality Parameters and Sustainability during Biolubricant Production. Biomass Bioenergy 2022, 161, 106456. [Google Scholar] [CrossRef]
- Filon, D.; Anastopoulos, G.; Karonis, D. Synthesis and Evaluation of Sunflower-Oil-Based Esters as Biolubricant Base Oils Using Ca/TEA Alkoxide Catalyst. Lubricants 2025, 13, 345. [Google Scholar] [CrossRef]
- Selig, P. Guanidine Organocatalysis. Synthesis 2013, 45, 703–718. [Google Scholar] [CrossRef]
- Chipurici, P.; Vlaicu, A.; Călinescu, I.; Vînătoru, M.; Busuioc, C.; Dinescu, A.; Ghebaur, A.; Rusen, E.; Voicu, G.; Ignat, M.; et al. Magnetic Silica Particles Functionalized with Guanidine Derivatives—Efficient Catalysts for Microwave-Assisted Transesterification. Sci. Rep. 2021, 11, 22000. [Google Scholar] [CrossRef] [PubMed]
- Balbino, J.M.; de Menezes, E.W.; Benvenutti, E.V.; Cataluña, R.; Ebeling, G.; Dupont, J. Silica-supported guanidine catalyst for continuous flow biodiesel production. Green Chem. 2011, 13, 3111–3116. [Google Scholar] [CrossRef]
- Xie, W.; Wan, F. Guanidine Post-Functionalized Crystalline ZIF-90 Frameworks as a Promising Recyclable Catalyst for the Production of Biodiesel via Soybean Oil Transesterification. Energy Convers. Manag. 2019, 198, 111922. [Google Scholar] [CrossRef]
- Nayab, R.; Imran, M.; Ramzan, M.; Tariq, M.; Taj, M.B.; Akhtar, M.N.; Iqbal, H.M.N. Sustainable Biodiesel Production via Catalytic and Non-Catalytic Transesterification of Feedstock Materials—A Review. Fuel 2022, 328, 125254. [Google Scholar] [CrossRef]
- Răducanu, C.E.; Dobre, T.; Mihăiescu, D.E.; Moroșan, A.; Jidveian, R.; Cioroiu Tîrpan, D.R.; Vasiliu, A.D.; Gogoașă, C.I.; Pârvulescu, O.C.; Trică, B. Synthesis of Guanidine and Its Deposition on Bacterial Cellulose as Green Heterogeneous Catalyst for Transesterification to Methyl Esters. Energies 2024, 17, 1344. [Google Scholar] [CrossRef]
- Ji, Y. Recent Development of Heterogeneous Catalysis in the Transesterification of Glycerol to Glycerol Carbonate. Catalysts 2019, 9, 581. [Google Scholar] [CrossRef]
- Al-Saadi, L.S.; Eze, V.C.; Harvey, A.P. Coupling of Biodiesel Production with In Situ Glycerol Carbonate Formation—Process Optimization. Front. Chem. 2018, 6, 625. [Google Scholar] [CrossRef]
- Santos, E.C.S.; dos Santos, T.C.; Guimarães, R.B.; Ishida, L.; Freitas, R.S.; Ronconi, C.M. Guanidine-functionalized Fe3O4 magnetic nanoparticles as basic recyclable catalysts for biodiesel production. RSC Adv. 2015, 5, 48031–48038. [Google Scholar] [CrossRef]
- Racar, M.; Jerbić, I.Š.; Glasovac, Z.; Jukić, A. Guanidine catalysts for biodiesel production: Activity, process modelling and optimization. Renew. Energy 2023, 202, 1046–1053. [Google Scholar] [CrossRef]
- Peng, W.; Hao, P.; Luo, J.; Peng, B.; Han, X.; Liu, H. Guanidine-Functionalized Amphiphilic Silica Nanoparticles as a Pickering Interfacial Catalyst for Biodiesel Production. Ind. Eng. Chem. Res. 2020, 59, 4273–4280. [Google Scholar] [CrossRef]
- Sercheli, R.; Vargas, R.M.; Schuchardt, U. Alkylguanidine-catalyzed heterogeneous transesterification of soybean oil. J. Am. Oil Chem. Soc. 1999, 76, 1207–1210. [Google Scholar] [CrossRef]
- Elmelawy, M.S.; El-Meligy, A.; Mawgoud, H.A.; Morshedy, A.S.; Hanafy, S.A.; El-Tantawy El-Sayed, I. Synthesis and Kinetics Study of Trimethylolpropane Fatty Acid Triester from Oleic Acid Methyl Ester as Potential Biolubricant. Biomass Convers. Biorefin. 2023, 13, 1645–1657. [Google Scholar] [CrossRef]
- Karmakar, G.; Ghosh, P.; Sharma, B.K. Chemically modifying vegetable oils to prepare green lubricants. Lubricants 2017, 5, 4. [Google Scholar] [CrossRef]
- DIN EN 14214:2019; Liquid Petroleum Products—Fatty Acid Methyl Esters (FAME) for Use in Biodiesel Engines and Heating Applications–Requirements and Test Methods (Includes Amendment: 2019). Deutsche Institut für Normung e.V. (DIN): Berlin, Germany, 2019.
- EN ISO 12185:1996; Petroleum Products—Determination of Density—Oscillating U-tube Method. International Organization for Standardization (ISO): Geneva, Switzerland, 1996.
- EN ISO 3104:2017; Petroleum Products—Transparent and Opaque Liquids—Determination of Kinematic Viscosity and Calculation of Dynamic Viscosity. International Organization for Standardization (ISO): Geneva, Switzerland, 2017.
- EN ISO 12937:2000; Petroleum Products—Determination of Water—Karl Fischer Method. International Organization for Standardization (ISO): Geneva, Switzerland, 2000.
- EN 14104:2011; Fat and Oil Derivatives—Fatty Acid Methyl Esters (FAME)—Determination of Acid Value. European Committee for Standardization (CEN): Brussels, Belgium, 2011.
- EN 14103:2011; Fat and Oil Derivatives—Fatty Acid Methyl Esters (FAME)—Determination of Ester Content and Ester Distribution. European Committee for Standardization (CEN): Brussels, Belgium, 2011.
- UNE EN 14110; Fat and Oil Derivatives—Fatty Acid Methyl Esters (FAME)—Determination of Methanol Content. European Committee for Standardization (CEN): Brussels, Belgium, 2003.
- Kamyab, B.; Beims, R.F.; Chio, C.; Qin, W.; Chambers, D.W.; Xu, C.C. Synthesis of TMP Esters as a Biolubricant from Canola Oil via a Two-Step Transesterification–Transesterification Process. Can. J. Chem. Eng. 2024, 102, 35–52. [Google Scholar] [CrossRef]
- Hussain, M.M.; Gaval, V.; Pratap, A.; Sonawane, D. Tribological Study of Vegetable Oil and Its TMP Esters as Biolubricants. J. Tribol. 2021, 31, 13–27. [Google Scholar]
- ASTM D7545:2020; Standard Test Method for Oxidation Stability of Middle Distillate Fuels—Rapid Small Scale Oxidation Test (RSSOT). ASTM International: West Conshohocken, PA, USA, 2020.
- ASTM D4172-21; Standard Test Method for Wear Preventive Characteristics of Lubricating Fluid (Four-Ball Method). ASTM International: West Conshohocken, PA, USA, 2021. [CrossRef]
- ASTM D2783:2021; Standard Test Method for Measurement of Extreme-Pressure Properties of Lubricating Fluids (Four-Ball Method). ASTM International: West Conshohocken, PA, USA, 2021.
- ASTM D97:2020; Standard Test Method for Pour Point of Petroleum Products. ASTM International: West Conshohocken, PA, USA, 2020.
- ASTM D7042:2020; Standard Guide for Properties of Diesel Fuels. ASTM International: West Conshohocken, PA, USA, 2020.
- ASTM D2270:2020; Standard Practice for Calculating Viscosity Index of Petroleum Oils. ASTM International: West Conshohocken, PA, USA, 2020.
- Raof, N.A.; Hamid, H.A.; Mohamad Aziz, N.A.; Yunus, R. Prospects of Plant-Based Trimethylolpropane Esters in the Biolubricant Formulation for Various Applications: A Review. Front. Mech. Eng. 2022, 8, 833438. [Google Scholar] [CrossRef]
- Nowicki, J.; Drabik, J.; Woszczyński, P.; Gębura, K.; Nowakowska-Bogdan, E.; Kozdrach, R. Tribological Characterisation of Plant Oil Derived Fatty Acid Esters of Higher Polyols: Comparative Experimental Study. Lubr. Sci. 2019, 31, 61–72. [Google Scholar] [CrossRef]
- Drabik, J.; Korasiak, K.; Chrobak, J.; Woch, J.; Brzeźniak, N.; Barszcz, W.; Kozdrach, R.; Iłowska, J. Amide/Amino-Based Functional Additives for Lubricants: Structure, Antimicrobial Activity and Wear Resistance. Molecules 2024, 29, 122. [Google Scholar] [CrossRef] [PubMed]




| Property | Unit | 3.0% | 3.5% | 4.0% | 4.5% | 5.0% | Standard Method |
|---|---|---|---|---|---|---|---|
| Acid Value | mgKOH/g | 0.07 | 0.08 | 0.06 | <0.02 | <0.02 | EN 14104 [35] |
| Water Content | mg/kg | 97 | 91 | 77 | 80 | 90 | EN ISO 12937 [34] |
| Pour Point | °C | −21 | −20 | −18 | −19 | −21 | ASTM D 97 [43] |
| Kin. Viscosity (40 °C) | mm2/s | 41.27 | 44.90 | 46.37 | 45.44 | 44.49 | ASTM D 7042 [44] |
| Kin. Viscosity (100 °C) | mm2/s | 8.668 | 9.054 | 9.235 | 9.094 | 8.941 | |
| Viscosity Index | - | 196 | 188 | 187 | 187 | 187 | ASTM D 2270 [45] |
| Density (15 °C) | g/cm3 | 0.9249 | 0.9264 | 0.9260 | 0.9257 | 0.9282 | ASTM D 7042 [44] |
| Oxidation Stability (RSSOT 140 °C, 700 kPa) | min | 40.53 | 44.73 | 53.55 | 50.07 | 44.23 | ASTM D7545 [46] |
| Reaction time | h | 10 | 10 | 8.0 | 8.0 | 7.5 | - |
| Conversion Rate | - | 86.5% | 94.1% | 97.2% | 95.8% | 93.7% |
| Property | Unit | 3.0% | 3.5% | 4.0% | 4.5% | 5.0% | Standard Method |
|---|---|---|---|---|---|---|---|
| Acid Value | mgKOH/g | 0.06 | 0.06 | <0.02 | <0.02 | <0.02 | EN 14104 [35] |
| Water Content | mg/kg | 80 | 68 | 71 | 77 | 73 | EN ISO 12937 [34] |
| Pour Point | °C | −18 | −17 | −17 | −15 | −16 | ASTM D 97 [43] |
| Kin. Viscosity (40 °C) | mm2/s | 45.55 | 49.01 | 52.73 | 52.56 | 50.45 | ASTM D 7042 [44] |
| Kin. Viscosity (100 °C) | mm2/s | 9.123 | 9.582 | 9.995 | 10.02 | 9.625 | |
| Viscosity Index | - | 187 | 184 | 180 | 181 | 179 | ASTM D 2270 [45] |
| Density (15 °C) | g/cm3 | 0.9328 | 0.9354 | 0.9341 | 0.9338 | 0.9337 | ASTM D 7042 [44] |
| Oxidation Stability (RSSOT 140 °C, 700 kPa) | min | 44.10 | 48.28 | 52,52 | 54.27 | 50.82 | ASTM D7545 [40] |
| Reaction time | h | 10 | 8.0 | 7.5 | 6.0 | 6.0 | - |
| Conversion Rate | - | 91.7% | 95.5% | 97.1% | 97.8% | 96.8% |
| Property | Unit | GNDC (4.0 wt%)-Isooctane | GNDC (4.5 wt%)-Vacuum | SN-150 | SN-500 | Standard Method |
|---|---|---|---|---|---|---|
| Acid Value | mgKOH/g | 0.06 | <0.02 | <0.02 | <0.02 | EN 14104 [35] |
| Water Content | mg/kg | 77 | 77 | 97 | 98 | EN ISO 12937 [34] |
| Pour Point | °C | −18 | −15 | −13 | −9 | ASTM D 97 [43] |
| Kin. Viscosity (40 °C) | mm2/s | 46.37 | 52.56 | 34.98 | 67.57 | ASTM D 7042 [44] |
| Kin. Viscosity (100 °C) | mm2/s | 9.235 | 10.02 | 5.813 | 9.128 | |
| Viscosity Index | - | 187 | 181 | 107 | 112 | ASTM D 2270 [45] |
| Density (15 °C) | g/cm3 | 0.9260 | 0.9338 | 0.8726 | 0.8736 | ASTM D 7042 [44] |
| Oxidation Stability (RSSOT 140 °C, 700 kPa) | min | 53.55 | 54.27 | 427.8 | 1453 | ASTM D7545 [40] |
| %C | %H | %O | %N | %S | |
|---|---|---|---|---|---|
| SUNOME | 77.79 | 12.20 | 9.93 | 0.08 | <0.01 |
| GNDC (4.0 wt%)-Isooctane | 77.00 | 11.72 | 10.66 | 0.62 | <0.01 |
| GNDC (4.5 wt%)-Vacuum | 76.12 | 11.77 | 10.68 | 1.43 | <0.01 |
| WSD (mm) | Weld Load (kg) | CoF | |
|---|---|---|---|
| GNDC (4.0 wt%)-Isooctane | 0.62 | 160 | 0.03 |
| GNDC (4.5 wt%)-Vacuum | 0.54 | 160 | 0.02 |
| SN-150 | 1.23 | 100 | 0.08 |
| SN-500 | 0.90 | 120 | 0.07 |
Disclaimer/Publisher’s Note: The statements, opinions and data contained in all publications are solely those of the individual author(s) and contributor(s) and not of MDPI and/or the editor(s). MDPI and/or the editor(s) disclaim responsibility for any injury to people or property resulting from any ideas, methods, instructions or products referred to in the content. |
© 2026 by the authors. Licensee MDPI, Basel, Switzerland. This article is an open access article distributed under the terms and conditions of the Creative Commons Attribution (CC BY) license.
Share and Cite
Filon, D.; Anastopoulos, G.; Zannikou, Y.; Karonis, D. Synthesis and Characterization of Trimethylolpropane Esters via Guanidine Carbonate-Catalyzed Transesterification of Sunflower Oil Methyl Esters. Lubricants 2026, 14, 82. https://doi.org/10.3390/lubricants14020082
Filon D, Anastopoulos G, Zannikou Y, Karonis D. Synthesis and Characterization of Trimethylolpropane Esters via Guanidine Carbonate-Catalyzed Transesterification of Sunflower Oil Methyl Esters. Lubricants. 2026; 14(2):82. https://doi.org/10.3390/lubricants14020082
Chicago/Turabian StyleFilon, Dimosthenis, George Anastopoulos, Ypatia Zannikou, and Dimitrios Karonis. 2026. "Synthesis and Characterization of Trimethylolpropane Esters via Guanidine Carbonate-Catalyzed Transesterification of Sunflower Oil Methyl Esters" Lubricants 14, no. 2: 82. https://doi.org/10.3390/lubricants14020082
APA StyleFilon, D., Anastopoulos, G., Zannikou, Y., & Karonis, D. (2026). Synthesis and Characterization of Trimethylolpropane Esters via Guanidine Carbonate-Catalyzed Transesterification of Sunflower Oil Methyl Esters. Lubricants, 14(2), 82. https://doi.org/10.3390/lubricants14020082

