Improving Tribological Properties of Oil-in-Water Lubricating Fluid Using Hybrid Protic Ionic Liquid and Nanoparticle Additives
Abstract
1. Introduction
2. Materials and Methods
2.1. Protic Ionic Liquid
2.2. Nanoparticles
2.3. Vegetable Oil
2.4. Preparation of Lubricating Samples
- (i)
- The supernatant was mixed with the PIL (1 wt.%) using a magnetic stirrer at 500 rpm for 30 min.
- (ii)
- Vegetable oil (5 wt.%) was added to the above dispersion. The mixture was sonicated for 30 min, when the flask was removed from the bath and slightly stirred every 10 min.
2.5. Physicochemical Properties
2.6. Wettability Tests
2.7. Tribological Tests
2.8. Worn Surface Characterisation
3. Results
3.1. Physico-Chemical Properties
3.2. Wettability of Lubricating Samples
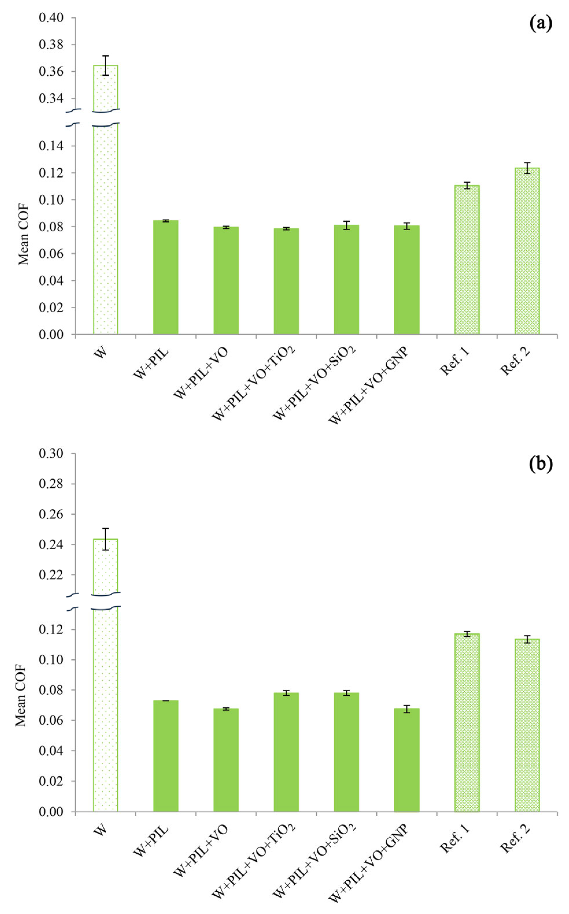
3.3. Lubricity of Water/Vegetable Oil/PIL Lubricating Fluids
3.4. Lubricity of Water/Vegetable Oil/PIL/Nanoparticles Lubricating Fluids
3.5. Proposing the Lubrication Mechanism
4. Conclusions
- i.
- Thanks to its polar nature, bis(2-hydroxyethyl)amine oleate PIL enabled the dispersion of vegetable oil in water and enhanced wettability and lubricity.
- ii.
- Combining NPs with PIL in oil-in-water lubricating fluid resulted in a relatively stable dispersion. The graphene nanoplatelet-containing lubricating sample was the most stable, while the silicon oxide nanoparticle-loaded sample was the least stable.
- iii.
- The investigated additives significantly improved water’s wear and friction reduction ability. It was found that the protic ionic liquid primarily governs lubricity, whereas the introduction of vegetable oil has no significant effect. Adding nanoparticles only slightly improved lubricity. The most pronounced synergistic effect was observed with titanium oxide NPs, yielding 14% and 29% wear reductions in the BS/BS and WC/BS friction pairs, respectively. The investigated samples also showed better performance than the reference samples.
- iv.
- Based on the obtained wear and friction results, it was proposed that the tribo-reaction of PIL with the steel surface formed a soapy layer. The nanoparticles were embedded in the layer and reinforced, thereby improving load-carrying capacity.
Supplementary Materials
Author Contributions
Funding
Data Availability Statement
Conflicts of Interest
References
- Najiha, M.S.; Rahman, M.M.; Yusoff, A.R. Environmental Impacts and Hazards Associated with Metal Working Fluids and Recent Advances in the Sustainable Systems: A Review. Renew. Sustain. Energy Rev. 2016, 60, 1008–1031. [Google Scholar] [CrossRef]
- Bartz, W.J. Ecotribology: Environmentally Acceptable Tribological Practices. Tribol. Int. 2006, 39, 728–733. [Google Scholar] [CrossRef]
- Commission Decision (EU) 2018/1702 of 8 November 2018 Establishing the EU Ecolabel Criteria for Lubricants (Notified under Document C(2018) 7125). 2018. Available online: https://eur-lex.europa.eu/eli/dec/2018/1702/2024-12-20/eng (accessed on 1 August 2022).
- Zheng, D.; Zhao, Q.; Ju, C.; Wang, X. The Interaction of Two Anticorrosive Ionic Liquid Additives on the Friction Properties of Water Lubricants. Tribol. Int. 2020, 141, 105948. [Google Scholar] [CrossRef]
- Gajrani, K.K.; Suvin, P.S.; Kailas, S.V.; Mamilla, R.S. Thermal, Rheological, Wettability and Hard Machining Performance of MoS2 and CaF2 Based Minimum Quantity Hybrid Nano-Green Cutting Fluids. J. Mater. Process. Technol. 2019, 266, 125–139. [Google Scholar] [CrossRef]
- Gajrani, K.K.; Suvin, P.S.; Kailas, S.V.; Sankar, M.R. Hard Machining Performance of Indigenously Developed Green Cutting Fluid Using Flood Cooling and Minimum Quantity Cutting Fluid. J. Clean. Prod. 2019, 206, 108–123. [Google Scholar] [CrossRef]
- Nune, M.M.R.; Chaganti, P.K. Development, Characterization, and Evaluation of Novel Eco-Friendly Metal Working Fluid. Measurement 2019, 137, 401–416. [Google Scholar] [CrossRef]
- Mousavi, S.B.; Heris, S.Z.; Estellé, P. Experimental Comparison between ZnO and MoS2 Nanoparticles as Additives on Performance of Diesel Oil-Based Nano Lubricant. Sci. Rep. 2020, 10, 5813. [Google Scholar] [CrossRef]
- Nyholm, N.; Espallargas, N. Functionalized Carbon Nanostructures as Lubricant Additives—A Review. Carbon 2023, 201, 1200–1228. [Google Scholar] [CrossRef]
- Donato, M.T.; Colaço, R.; Branco, L.C.; Saramago, B. A Review on Alternative Lubricants: Ionic Liquids as Additives and Deep Eutectic Solvents. J. Mol. Liq. 2021, 333, 116004. [Google Scholar] [CrossRef]
- Wang, B.; Qiu, F.; Barber, G.C.; Zou, Q.; Wang, J.; Guo, S.; Yuan, Y.; Jiang, Q. Role of Nano-Sized Materials as Lubricant Additives in Friction and Wear Reduction: A Review. Wear 2022, 490–491, 204206. [Google Scholar] [CrossRef]
- Amiril, S.A.S.; Rahim, E.A.; Syahrullail, S. A Review on Ionic Liquids as Sustainable Lubricants in Manufacturing and Engineering: Recent Research, Performance, and Applications. J. Clean. Prod. 2017, 168, 1571–1589. [Google Scholar] [CrossRef]
- Matczak, L.; Johanning, C.; Gil, E.; Guo, H.; Smith, T.W.; Schertzer, M.; Iglesias, P. Effect of Cation Nature on the Lubricating and Physicochemical Properties of Three Ionic Liquids. Tribol. Int. 2018, 124, 23–33. [Google Scholar] [CrossRef]
- Hernández Battez, A.; Fernandes, C.M.C.G.; Martins, R.C.; Bartolomé, M.; González, R.; Seabra, J.H.O. Two Phosphonium Cation-Based Ionic Liquids Used as Lubricant Additive: Part I: Film Thickness and Friction Characteristics. Tribol. Int. 2017, 107, 233–239. [Google Scholar] [CrossRef]
- Yang, S.; Shi, Y.; Zuo, X.; Zhang, X. Tribological Properties of the P and S-Free Protic Ionic Liquids as Water-Based Lubricants. J. Mol. Liq. 2024, 414, 126101. [Google Scholar] [CrossRef]
- Qu, G.; Fang, H.; Liu, L.; Li, Y.; Zhang, S.; Yang, H.; Hu, L. High-Performance Protic Ionic Liquids as Additives in Lubricating Oils with Varying Polarity. Tribol. Int. 2024, 191, 109157. [Google Scholar] [CrossRef]
- Zheng, Z.; Chen, H.; Xu, Y.; Liu, X.; Wang, H.; Meng, W.; Feng, D.; Qiao, D. Effective Superlubricity Behavior Triggered by Interfacial Tribochemical Reactions from Simple Protic Ionic Liquids Aqueous. Chem. Eng. J. 2024, 485, 149465. [Google Scholar] [CrossRef]
- Sun, X.; Liu, X.; Chen, Q.; Guo, P.; Bai, Y.; Zou, K.; Yi, M.; Yang, S.; Cai, M.; Zhou, F.; et al. Amino Acid-Based Ionic Liquids as Water-Ethylene Glycol Additives towards Superior Lubricity and Corrosion Resistance. J. Mol. Liq. 2024, 401, 124706. [Google Scholar] [CrossRef]
- Amirchand, K.D.; Singh, V. Studies on Wetting Behaviour of Pure and Aqueous Protic Ionic Liquids (PIL) Solutions on Different Surfaces: ILphobicity to ILphilicity. J. Mol. Liq. 2024, 409, 125432. [Google Scholar] [CrossRef]
- Azman, N.F.; Samion, S. Dispersion Stability and Lubrication Mechanism of Nanolubricants: A Review. Int. J. Precis. Eng. Manuf. —Green Technol. 2019, 6, 393–414. [Google Scholar] [CrossRef]
- Wu, H.; Zhao, J.; Xia, W.; Cheng, X.; He, A.; Yun, J.H.; Wang, L.; Huang, H.; Jiao, S.; Huang, L.; et al. A Study of the Tribological Behaviour of TiO2 Nano-Additive Water-Based Lubricants. Tribol. Int. 2017, 109, 398–408. [Google Scholar] [CrossRef]
- Peña-Parás, L.; Taha-Tijerina, J.; García, A.; Maldonado, D.; González, J.A.; Molina, D.; Palacios, E.; Cantú, P. Antiwear and Extreme Pressure Properties of Nanofluids for Industrial Applications. Tribol. Trans. 2014, 57, 1072–1076. [Google Scholar] [CrossRef]
- Bao, Y.; Sun, J.; Kong, L. Effects of Nano-SiO2 as Water-Based Lubricant Additive on Surface Qualities of Strips after Hot Rolling. Tribol. Int. 2017, 114, 257–263. [Google Scholar] [CrossRef]
- Ibrahim, A.M.M.; Li, W.; Zeng, Z.; Bedairi, B.H.; ElSheikh, A. Graphene Nanoplatelets-Water Nanofluids: A Sustainable Approach to Enhancing Ti-6Al-4V Grinding Performance through Minimum Quantity Lubrication. Tribol. Int. 2025, 201, 110145. [Google Scholar] [CrossRef]
- Liang, S.; Shen, Z.; Yi, M.; Liu, L.; Zhang, X.; Ma, S. In-Situ Exfoliated Graphene for High-Performance Water-Based Lubricants. Carbon 2016, 96, 1181–1190. [Google Scholar] [CrossRef]
- Carrión, F.J.; Avilés, M.D.; Nakano, K.; Tadokoro, C.; Nagamine, T.; Bermúdez, M.D. Diprotic Ammonium Palmitate Ionic Liquid Crystal and Nanodiamonds in Aqueous Lubrication. Film Thickness and Influence of Sliding Speed. Wear 2019, 418–419, 241–252. [Google Scholar] [CrossRef]
- Hao, L.; Hao, W.; Li, P.; Liu, G.; Li, H.; Aljabri, A.; Xie, Z. Friction and Wear Properties of a Nanoscale Ionic Liquid-like GO@SiO2 Hybrid as a Water-Based Lubricant Additive. Lubricants 2022, 10, 125. [Google Scholar] [CrossRef]
- Kreivaitis, R.; Treinytė, J.; Kupčinskas, A.; Gumbytė, M.; Andriušis, A. Improving Tribological Properties of Water/Glycerol Lubricating Fluid by the Synergy of Nanoparticles and Protic Ionic Liquid. Wear 2023, 534–535, 205133. [Google Scholar] [CrossRef]
- He, Z.; Alexandridis, P. Ionic Liquid and Nanoparticle Hybrid Systems: Emerging Applications. Adv. Colloid. Interface Sci. 2017, 244, 54–70. [Google Scholar] [CrossRef]
- Liñeira del Río, J.M.; López, E.R.; Fernández, J. Synergy between Boron Nitride or Graphene Nanoplatelets and Tri(Butyl)Ethylphosphonium Diethylphosphate Ionic Liquid as Lubricant Additives of Triisotridecyltrimellitate Oil. J. Mol. Liq. 2020, 301, 112442. [Google Scholar] [CrossRef]
- Li, Y.; Zhang, S.; Ding, Q.; Li, H.; Qin, B.; Hu, L. Understanding the Synergistic Lubrication Effect of 2-Mercaptobenzothiazolate Based Ionic Liquids and Mo Nanoparticles as Hybrid Additives. Tribol. Int. 2018, 125, 39–45. [Google Scholar] [CrossRef]
- Sanes, J.; Avilés, M.D.; Saurín, N.; Espinosa, T.; Carrión, F.J.; Bermúdez, M.D. Synergy between Graphene and Ionic Liquid Lubricant Additives. Tribol. Int. 2017, 116, 371–382. [Google Scholar] [CrossRef]
- Beheshti, A.; Huang, Y.; Ohno, K.; Blakey, I.; Stokes, J.R. Improving Tribological Properties of Oil-Based Lubricants Using Hybrid Colloidal Additives. Tribol. Int. 2020, 144, 106130. [Google Scholar] [CrossRef]
- Han, X.; Zhang, Z.; Thrush, S.J.; Barber, G.C.; Qu, H. Ionic Liquid Stabilized Nanoparticle Additive in a Steel-Ceramic Contact for Extreme Pressure Application. Wear 2020, 452–453, 203264. [Google Scholar] [CrossRef]
- Avilés, M.D.; Saurín, N.; Sanes, J.; Carrión, F.J.; Bermúdez, M.D. Ionanocarbon Lubricants. The Combination of Ionic Liquids and Carbon Nanophases in Tribology. Lubricants 2017, 5, 14. [Google Scholar] [CrossRef]
- Hasnul, M.H.; Zulkifli, N.W.M.; Hassan, M.; Zulkifli, S.A.; Yusoff, M.N.A.M.; Zakaria, M.Z. Synergistic Behavior of Graphene and Ionic Liquid as Bio-Based Lubricant Additive. Lubricants 2021, 9, 46. [Google Scholar] [CrossRef]
- Fan, X.; Wang, L. High-Performance Lubricant Additives Based on Modified Graphene Oxide by Ionic Liquids. J. Colloid. Interface Sci. 2015, 452, 98–108. [Google Scholar] [CrossRef]
- Nasser, K.I.; Liñeira del Río, J.M.; Mariño, F.; López, E.R.; Fernández, J. Double Hybrid Lubricant Additives Consisting of a Phosphonium Ionic Liquid and Graphene Nanoplatelets/Hexagonal Boron Nitride Nanoparticles. Tribol. Int. 2021, 163, 107189. [Google Scholar] [CrossRef]
- Liñeira del Río, J.M.; López, E.R.; García, F.; Fernández, J. Tribological Synergies among Chemical-Modified Graphene Oxide Nanomaterials and a Phosphonium Ionic Liquid as Additives of a Biolubricant. J. Mol. Liq. 2021, 336, 116885. [Google Scholar] [CrossRef]
- Chen, B.; Liu, L.; Zhang, C.; Zhang, S.; Zhang, Y.; Zhang, P. Tribological Properties and Lubrication Mechanism of Protic Ionic Liquid-Modified Nanosilica as High-Temperature Antiwear Additive for Pentaerythritol Ester. Tribol. Int. 2022, 176, 107886. [Google Scholar] [CrossRef]
- Xue, S.; Zhang, X.; Wang, Y.; Jin, G.; Liu, S.; Ye, Q.; Liu, W. Fabrication of Ionic Liquid-Functionalized Carbon Dots as Lubricant Additive for Friction and Wear Reduction. Tribol. Int. 2025, 201, 110227. [Google Scholar] [CrossRef]
- Kreivaitis, R.; Gumbytė, M.; Kupčinskas, A.; Kazancev, K.; Makarevičienė, V. Investigating the Tribological Properties of PILs Derived from Different Ammonium Cations and Long Chain Carboxylic Acid Anion. Tribol. Int. 2020, 141, 105905. [Google Scholar] [CrossRef]
- Iglesias, M.; Gonzalez-Olmos, R.; Cota, I.; Medina, F. Brønsted Ionic Liquids: Study of Physico-Chemical Properties and Catalytic Activity in Aldol Condensations. Chem. Eng. J. 2010, 162, 802–808. [Google Scholar] [CrossRef]
- Álvarez, V.H.; Mattedi, S.; Martin-Pastor, M.; Aznar, M.; Iglesias, M. Synthesis and Thermophysical Properties of Two New Protic Long-Chain Ionic Liquids with the Oleate Anion. Fluid Phase Equilib. 2010, 299, 42–50. [Google Scholar] [CrossRef]
- ASTM D 445; Standard Test Method for Kinematic Viscosity of Transparent and Opaque Liquids (and Calculation of Dynamic Viscosity). ASTM International: West Conshohocken, PA, USA, 2023.
- ASTM D 2270; Standard Practice for Calculating Viscosity Index from Kinematic Viscosity at 40 °C and 100 °C. ASTM International: West Conshohocken, PA, USA, 2023.
- ASTM D 974; Standard Test Method for Acid and Base Number by Color-Indicator Titration. ASTM International: West Conshohocken, PA, USA, 2023.
- Kreivaitis, R.; Gumbytė, M.; Treinytė, J. Investigation of Tribological Properties of Environmentally Friendly Ionic Liquids as a Potential Lubricity Improving Additives for Water-Based Lubricants. Ind. Lubr. Tribol. 2022, 74, 294–301. [Google Scholar] [CrossRef]
- Hernandez, Y.; Nicolosi, V.; Lotya, M.; Blighe, F.M.; Sun, Z.; De, S.; McGovern, I.T.; Holland, B.; Byrne, M.; Gun’ko, Y.K.; et al. High-Yield Production of Graphene by Liquid-Phase Exfoliation of Graphite. Nat. Nanotechnol. 2008, 3, 563–568. [Google Scholar] [CrossRef]
- Chang, H.; Jwo, C.S.; Fan, P.S.; Pai, S.H. Process Optimization and Material Properties for Nanofluid Manufacturing. Int. J. Adv. Manuf. Technol. 2007, 34, 300–306. [Google Scholar] [CrossRef]
- Sharif, M.Z.; Azmi, W.H.; Redhwan, A.A.M.; Mamat, R.; Yusof, T.M. Analyse de La Performance Du Nanolubrifiant SiO2/PAG Dans Un Système de Conditionnement d’air Automobile. Int. J. Refrig. 2017, 75, 204–216. [Google Scholar] [CrossRef]
- Edachery, V.; Ravi, S.; Badiuddin, A.F.; Tomy, A.; Kailas, S.V.; Suvin, P.S. Wetting Behaviour of a Green Cutting Fluid (GCF); Influence of Surface Roughness and Surface Energy of AA5052, Ti6Al4V and EN31. Mater. Today Proc. 2022, 62, 7605–7609. [Google Scholar] [CrossRef]
- Hanke, S.; Samerski, I.; Schöfer, J.; Fischer, A. The Role of Wear Particles under Multidirectional Sliding Wear. Wear 2009, 267, 1319–1324. [Google Scholar] [CrossRef]
- Mariño, F.; López, E.R.; Arnosa, Á.; González Gómez, M.A.; Piñeiro, Y.; Rivas, J.; Alvarez-Lorenzo, C.; Fernández, J. ZnO Nanoparticles Coated with Oleic Acid as Additives for a Polyalphaolefin Lubricant. J. Mol. Liq. 2022, 348, 118401. [Google Scholar] [CrossRef]
- Tatsumi, G.; Ratoi, M.; Shitara, Y.; Sakamoto, K.; Mellor, B.G. Effect of Organic Friction Modifiers on Lubrication of PEEK-Steel Contact. Tribol. Int. 2020, 151, 106513. [Google Scholar] [CrossRef]
- Czamara, K.; Majzner, K.; Pacia, M.Z.; Kochan, K.; Kaczor, A.; Baranska, M. Raman Spectroscopy of Lipids: A Review. J. Raman Spectrosc. 2015, 46, 4–20. [Google Scholar] [CrossRef]
- Otero, V.; Sanches, D.; Montagner, C.; Vilarigues, M.; Carlyle, L.; Lopes, J.A.; Melo, M.J. Characterisation of Metal Carboxylates by Raman and Infrared Spectroscopy in Works of Art. J. Raman Spectrosc. 2014, 45, 1197–1206. [Google Scholar] [CrossRef]
- Kreivaitis, R.; Kupčinskas, A.; Gumbytė, M.; Treinytė, J. Tribological Properties of Bis(2-Hydroxyethyl)Ammonium Oleate in Glycerol and Polyethylene Glycol Aqueous Solutions. J. Mol. Liq. 2023, 369, 120933. [Google Scholar] [CrossRef]
- Stachowiak, G.W.; Batchelor, A.W. Engineering Tribology, 4th ed.; Butterworth-Heinemann: Oxford, UK, 2013. [Google Scholar]
- Fox, N.J.; Tyrer, B.; Stachowiak, G.W. Boundary Lubrication Performance of Free Fatty Acids in Sunflower Oil. Tribol. Lett. 2004, 16, 275–281. [Google Scholar] [CrossRef]
- Blau, P.J. Friction Science and Technology from Concepts to Applications, 2nd ed.; CRC Press: Boca Raton, FL, USA, 2019; ISBN 9780367386665. [Google Scholar]
- Zhang, S.; Fan, Y.; Dong, X.; Ma, X.; Yang, M.; Xiao, W. Preparation and NH4+ Adsorption Performance of Ultrafine Lignite-Based Porous Materials. Separations 2024, 11, 40. [Google Scholar] [CrossRef]
- Wang, X.; Liu, W.; Duan, H.; Liu, W.; Shen, Y.; Gu, X.; Qiu, J.; Jia, C. Potential application of an eco-friendly amine oxide collector in flotation separation of quartz from hematite. Sep. Purif. Technol. 2021, 278, 119668. [Google Scholar] [CrossRef]
- Wang, B.; Zhao, P.; Liu, W.; Liu, W.; Guo, Y.; Tong, K.; Chen, X. Novel Hydroxyl-Containing Quaternary Ammonium Salt N-(2-Hydroxyethyl)-N, N-Dimethyl-3-[(1-Oxododecyl)amino]-1-Propanaminium: Its Synthesis and Flotation Performance to Quartz. Minerals 2023, 13, 702. [Google Scholar] [CrossRef]
- Sota-Uba, I.; Bamidele, M.; Moulton, J.; Booksh, K.; Lavine, B.K. Authentication of edible oils using Fourier transform infrared spectroscopy and pattern recognition methods. Chemom. Intell. Lab. Syst. 2021, 210, 104251. [Google Scholar] [CrossRef]
















| Key Action Mechanisms | Description | References |
|---|---|---|
| Enhanced dispersion stability | Ionic liquids act as dispersing agents, improving the stability of nanoparticles in the base oil. This ensures that the nanoparticles are uniformly distributed, which is essential for maintaining tribological performance. Ionic liquids encapsulate nanoparticles, forming micelles and preventing agglomeration via electrostatic shielding. | [26,32,33,34,36,39,40,41] |
| Complementary lubrication | Ionic liquids form a physisorbed or chemisorbed boundary layer, while nanoparticles form a sacrificial layer and act as solid lubricants, filling surface asperities and smoothing rough surfaces. | [26,29,39] |
| Formation of the composite layer | Nanoparticles act as reinforcing agents in the tribo-film, mainly formed from the tribo-reaction of the ionic liquid. | [26,31,32,40] |
| PIL Additive | Kinematic Viscosity, mm2/s | Density at 23 °C, kg/m3 | |
|---|---|---|---|
| 40 °C | 100 °C | ||
| bis(2-hydroxyethyl)amine oleate | >20,000 | 41.5 | 890 |
| Cation | Anion | ||
[bis(2-hydroxyethyl)amine-] | [-oleate]![]() | ||
| Properties | Nanoparticles | ||
|---|---|---|---|
| Silicon (IV) Oxide CAS No. 7631-86-9 [SiO2] | Titanium (IV) Oxide CAS No. 13463-67-7 [TiO2] | Graphene CAS No. 7782-42-5 [GNP] | |
| Appearance | Nanopowder (spherical, porous) 5–15 nm in size | Nanopowder. Surface area—50 m2/g Primary particle size—21 nm | Nanoplatelets. Surface area—750 m2/g Particle diameter—<2 µm Thickness—a few nm |
| Density at 25 °C, g/cm3 | 2.2–2.6 v | 4.26 | 2.0–2.25 |
| Bulk density, g/cm3 | 0.011 | - | 0.2–0.4 |
| Melting Point, °C | >1600 | 1850 >350 (lit.) | 3652 |
| Trace metal, ppm | 2111.4 | 6.9 | - |
| Toxicity to daphnia (OECD Test Guideline 202) | EC50- > 5000 mg/L | EC50- > 1000 mg/L | EC50- > 100 mg/L |
| Properties | Value | Test Method | |
|---|---|---|---|
| Kinematic viscosity, mm2/s | 40 °C | 34.4 ± 0.87 | ASTM D 445 [45] |
| 100 °C | 8.12 ± 0.24 | ||
| Viscosity Index | 210 ± 3.98 | ASTM D 2270 [46] | |
| Acid number, mg KOH/g | 0.07 ± 0.002 | ASTM D 974 [47] | |
| Appearance | light yellow | - | |
| Nanoparticles | Rotation Speed, rpm | Duration, min | Temperature, °C |
|---|---|---|---|
| TiO2 | 4700 | 10 | 20 |
| SiO2 | 3 | ||
| GNP | 120 |
| Nanoparticles | Concentration in the Supernatant | Concentration in the Lubricating Samples, wt.% | UV-Vis Controlled Absorbance | UV-Vis Wavelength, nm | |
|---|---|---|---|---|---|
| wt.% | mg/mL | ||||
| TiO2 | 0.23 | 2.32 | 0.219 | 0.825 | 280 [50] |
| SiO2 | 0.27 | 2.74 | 0.257 | 1.875 | 313 [51] |
| GNP | 0.069 | 0.69 | 0.066 | 0.957 | 660 [49] |
| Test Parameters | ||||||
|---|---|---|---|---|---|---|
| Load, N | Temperature, °C | Duration, s | Reciprocation frequency, Hz | Stroke length, mm | Amount of sample, mL | |
| 4 | 30 | 1800 (300, 600, 1200) 1 | 15 | 1 | 1 | |
| Tribo-test specimens | ||||||
| Dimensions, mm | Roughness Ra, µm | Hardness, HV30 | Material | Composition | ||
| Ball | φ 6 | 0.07 | Tungsten carbide (WC) | C = 28.6%; Co = 10.9%; Al = 2.5%; O = 4.1%; W—balance. | ||
| 0.05 | 750–800 | Bearing steel AISI 52100 * (BS) | C = 0.98%; Cr = 1.4%; Mn = 0.34%; Si = 0.24%; P < 0.25%; S < 0.25%; Fe—balance | |||
| Plate | φ 10 × 3 | 0.02 | 190–200 | |||
| Lubricating Sample | Kinematic Viscosity at 30 °C, mm2/s | Density, g/cm3 at 30 °C | pH |
|---|---|---|---|
| W + PIL | 1.026 ± 0.004 | 0.995 ± 0.0005 | 9.17 ± 0.024 |
| W + PIL + VO (5 wt.%) | 1.075 ± 0.002 | 0.991 ± 0.0001 | 9.20 ± 0.013 |
| W + PIL + VO (10 wt.%) | 1.390 ± 0.003 | 0.981 ± 0.0007 | 9.18 ± 0.017 |
| W + PIL + VO (20 wt.%) | 1.517 ± 0.006 | 0.979 ± 0.0012 | 9.19 ± 0.023 |
| W + PIL + VO + TiO2 | 1.080 ± 0.004 | 0.992 ± 0.0003 | 8.84 ± 0.009 |
| W + PIL + VO + SiO2 | 1.079 ± 0.001 | 0.994 ± 0.0015 | 8.14 ± 0.021 |
| W + PIL + VO + GNP | 1.069 ± 0.008 | 0.990 ± 0.0006 | 8.89 ± 0.017 |
| Ref. 1 [1] | 0.997 ± 0.001 | 0.996 ± 0.0003 | 9.38 ± 0.011 |
| Ref. 2 [2] | 0.864 ± 0.002 | 0.997 ± 0.0002 | 9.45 ± 0.013 |
| Lubricating Sample | BS/BS | WC/BS | ||
|---|---|---|---|---|
| Ra, nm | Rz, nm | Ra, nm | Rz, nm | |
| W + PIL + VO | 6.2 ± 0.2 | 64.4 ± 3.3 | 4.4 ± 0.2 | 27.3 ± 1.1 |
| W + PIL + VO + TiO2 | 4.7 ± 0.3 | 24.8 ± 1.9 | 2.0 ± 0.4 | 11.9 ± 0.6 |
| W + PIL + VO + SiO2 | 15.9 ± 0.48 | 81.9 ± 1.8 | 6.5 ± 0.3 | 33.3 ± 0.9 |
| W + PIL + VO + GNP | 6.4 ± 0.7 | 33.3 ± 5.8 | 2.9 ± 0.2 | 17.4 ± 1.0 |
| Ref. 1 [1] | 4.7 ± 0.4 | 30.8 ± 1.2 | 43 ± 2.6 | 192.1 ± 10.2 |
| Ref. 2 [2] | 4.9 ± 0.6 | 26.6 ± 4.8 | 9.9 ± 1.2 | 49.3 ± 5.2 |
Disclaimer/Publisher’s Note: The statements, opinions and data contained in all publications are solely those of the individual author(s) and contributor(s) and not of MDPI and/or the editor(s). MDPI and/or the editor(s) disclaim responsibility for any injury to people or property resulting from any ideas, methods, instructions or products referred to in the content. |
© 2025 by the authors. Licensee MDPI, Basel, Switzerland. This article is an open access article distributed under the terms and conditions of the Creative Commons Attribution (CC BY) license.
Share and Cite
Kreivaitis, R.; Treinytė, J.; Kupčinskas, A.; Gumbytė, M.; Gaidė, I. Improving Tribological Properties of Oil-in-Water Lubricating Fluid Using Hybrid Protic Ionic Liquid and Nanoparticle Additives. Lubricants 2026, 14, 3. https://doi.org/10.3390/lubricants14010003
Kreivaitis R, Treinytė J, Kupčinskas A, Gumbytė M, Gaidė I. Improving Tribological Properties of Oil-in-Water Lubricating Fluid Using Hybrid Protic Ionic Liquid and Nanoparticle Additives. Lubricants. 2026; 14(1):3. https://doi.org/10.3390/lubricants14010003
Chicago/Turabian StyleKreivaitis, Raimondas, Jolanta Treinytė, Artūras Kupčinskas, Milda Gumbytė, and Ieva Gaidė. 2026. "Improving Tribological Properties of Oil-in-Water Lubricating Fluid Using Hybrid Protic Ionic Liquid and Nanoparticle Additives" Lubricants 14, no. 1: 3. https://doi.org/10.3390/lubricants14010003
APA StyleKreivaitis, R., Treinytė, J., Kupčinskas, A., Gumbytė, M., & Gaidė, I. (2026). Improving Tribological Properties of Oil-in-Water Lubricating Fluid Using Hybrid Protic Ionic Liquid and Nanoparticle Additives. Lubricants, 14(1), 3. https://doi.org/10.3390/lubricants14010003



