Oil Film Thickness and Meshing Efficiency for a Novel Closed Movable Tooth Gear Reducer
Abstract
1. Introduction
2. Materials and Methods
2.1. Structure Composition and Working Principle
2.2. Velocities in Meshing Pairs
2.3. Forces and Friction Coefficients on Meshing Pairs
2.4. Oil Film Thickness
2.5. Friction Loss and Efficiency
3. Results
- (1)
- In the closed reducer, the relative velocity between the MT and the MT frame is very small, it is sinusoidal, and it is not affected by changes of the inner or outer surfaces of the WG.
- (2)
- The relative velocity for the MT and the WG is opposite to that of the MT and the CW. The former is greater than the latter, and both are much greater than the relative speed of the MT and the MT frame.
- (3)
- When the MT meshes with the inner surface of the WG, the relative velocity between them is the greatest, and the velocity fluctuations are also the greatest. When the MT meshes with the outer surface of the WG, both the relative velocity and the velocity fluctuations are maximum. When the MT meshes with the outer surface of the WG, both the relative velocity and its fluctuations are larger than when the MT meshes with the inner surface of the WG.
- (4)
- When the MT meshes with the inner surface of the CW, both relative velocity and its fluctuations are larger than when the MT meshes with the outer surface of the WG.
- (5)
- A large sliding velocity can cause a large friction loss between meshing pairs. The results above show that the friction power loss between the MT and the WG could be at a maximum while the friction power loss between the MT and the MT frame is at a minimum. The meshing efficiency of the reducer could depend on the friction power loss between the MT and the WG or the CW. Among these, the effects of the friction power loss between the MT and the WG on the efficiency could be most significant.
- (1)
- In a two-stage drive, the entrainment velocity of the MT and the MT frame is very small, and it is also sinusoidal and not affected by changes of the inner or outer surfaces of the WG.
- (2)
- When the first-stage MT meshes with the inner track of the WG, the entrainment velocity between them is close to the entrainment velocity between the MT and the CW. Under other conditions, the entrainment velocities between the MT and the WG are much greater than those between the MT and the CW.
- (3)
- For the first-stage drive, when the MT meshes with the outer surface of the WG, the entrainment velocity between them is larger than when the MT meshes with the inter surface of the WG. When the MT meshes with the outer surface of the CW, the entrainment velocity between them is larger than that when the MT meshes with the inner surface of the CW.
- (4)
- When the second-stage MT meshes with the outer surface of the WG, the entrainment velocity between them is larger than that when the MT meshes with the inner surface of the WG. When the MT meshes with the outer surface of the CW, the entrainment velocity between them is smaller than that when the MT meshes with the inner surface of the CW.
- (5)
- Both sliding and rolling friction coefficients are affected by the entrainment velocity between meshing pairs. The increase of the entrainment velocity could lead to the increase of the rolling friction coefficient and an evident decrease of the sliding friction coefficient, which causes increasing rolling-friction power loss and concurrently a decrease in the sliding-friction power loss. Thus, the meshing efficiency can be increased.
- (1)
- The meshing efficiency of the reducer changes periodically with the angular position, which is caused by the periodic change of the friction coefficient between the tooth surfaces and the effective radius of curvature.
- (2)
- With increasing eccentric distance for the first and second drives, the meshing efficiency of the reducer is increased. This is because increasing the eccentric distance reduces the pressure angle between meshing pairs so that the effective driving force is increased. When an error in the eccentric distance occurs, the meshing efficiency of the reducer is decreased significantly. This is because the error of the eccentric distance causes an obvious increase in the friction power loss between meshing pairs.
- (3)
- When the radius b1 or b2 is decreased, the meshing efficiency of the first and the second drives of the reducer is decreased slightly. This is because a decrease of b1 or b2 reduces the effective radius of curvature between meshing pairs, and the oil film thickness is reduced so that friction power loss is increased.
- (4)
- When angle or is increased, the meshing efficiency of the first and the second drives of the reducer is decreased. This is because increasing the angle or causes axial forces between meshing pairs to be increased so that the effective driving forces in the operation plane are reduced.
- (5)
- When the radius r1 or r2 of the movable teeth increases, the meshing efficiency of the first and the second drives of the reducer is increased slightly. This is because an increase in the radius r1 or r2 increases the effective radius of curvature between meshing pairs; the oil film thickness is increased so that friction power loss is decreased.
4. Discussion
5. Conclusions
- (1)
- The relative velocity of the movable teeth and the wave generator is greater than that of the movable teeth and the central ring. Both are much greater than the relative speed of the movable teeth and the movable tooth frame. The meshing efficiency depends mainly on the friction loss between the movable teeth and the wave generator or the movable teeth and the central wheel.
- (2)
- The entrainment velocity between the movable teeth and the inner track of the wave generator is close to the one between the movable teeth and the central wheel. Under other conditions, the entrainment velocities are much greater than those of the movable teeth and the central wheel. The increase of the entrapment velocity could lead to an increase of the rolling friction power loss and a decrease of the sliding friction power loss.
- (3)
- The meshing efficiency changes periodically; this is caused by the periodic change of the relative sliding speed and the effective radius of curvature. With increasing eccentric distance, the meshing efficiency is increased. When an eccentric distance error occurs, the meshing efficiency is significantly reduced.
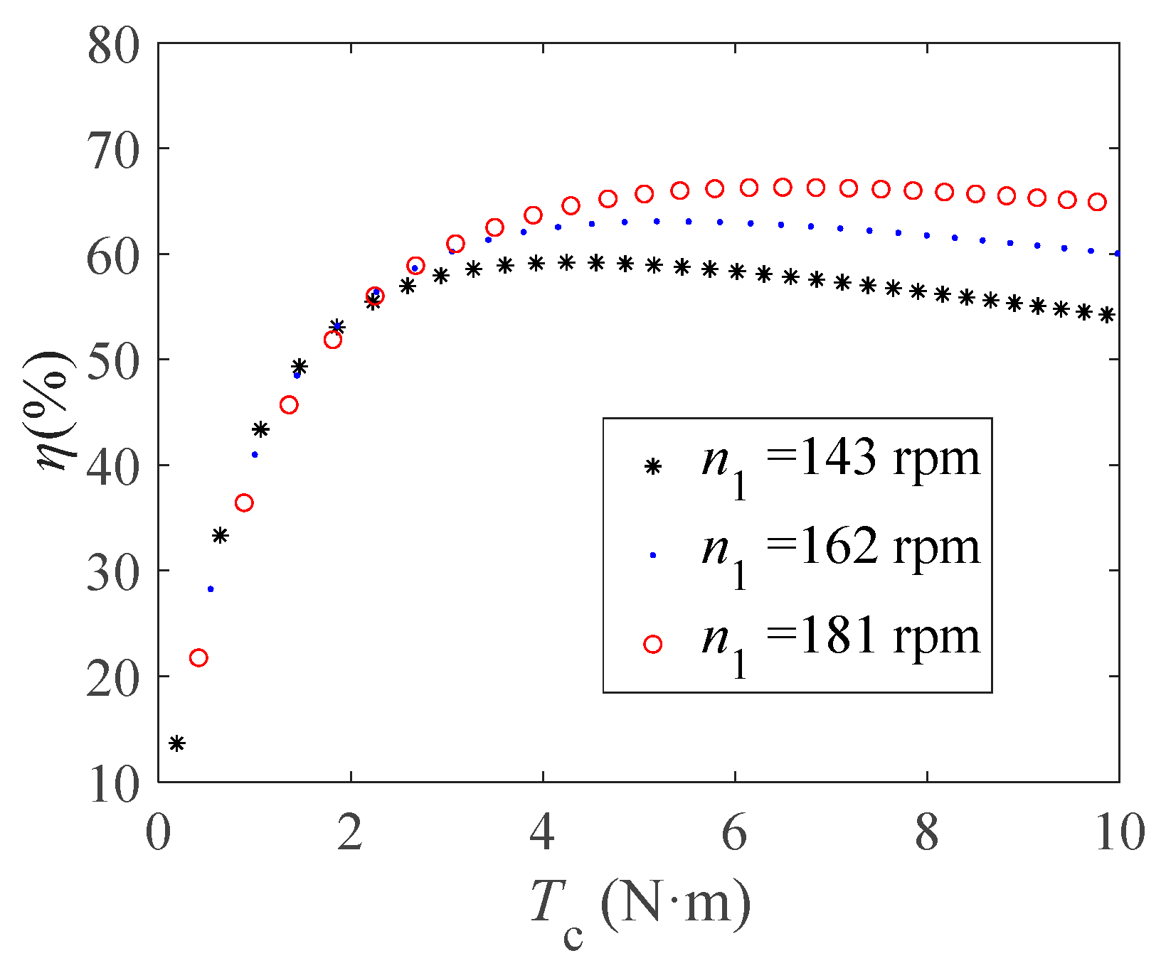
- (4)
- When the motor speed increases, the meshing efficiency increases. The load torque corresponding to the maximum meshing efficiency also increases significantly. The measured maximum efficiency is close to the calculated maximum efficiency, supporting the theoretical studies in this paper.
Author Contributions
Funding
Data Availability Statement
Conflicts of Interest
References
- Mo, S.; Zhang, Y.; Wu, Q. Load sharing characteristics of RV transmission mechanism in robot. Mech. Mach. Sci. 2016, 36, 977–987. [Google Scholar]
- Li, Z.; Melek, W.; Clark, C. Decentralized robust control of robot manipulators with harmonic drive transmission and application to modular and reconfigurable serial arms. Robotica 2009, 27, 291–302. [Google Scholar] [CrossRef]
- Kennedy, C.; Desai, J. Modeling and control of the Mitsubishi PA-10 robot arm harmonic drive system. IEEE-ASME Trans. Mechatron. 2005, 10, 263–274. [Google Scholar] [CrossRef]
- Terada, H. The development of gearless reducers with rolling balls. Korean Soc. Mech. Eng. 2010, 24, 185–195. [Google Scholar] [CrossRef]
- Vassileva, D.; Kiyosawa, Y.; Suzuki, M. Sensorless torque control for a robot with harmonic drive reducers. Mech. Based Des. Struct. Mach. 2011, 39, 253–267. [Google Scholar] [CrossRef]
- Keith, S. Subtractive and Additive Differential Gear Reduction System. U.S. Patent US4338830A, 2 July 1982. [Google Scholar]
- Imase, K. Ball-Rolling Type Torque Transmission Device. U.S. Patent US5683323A, 4 November 1997. [Google Scholar]
- Terada, H.; Makino, H.; Imase, K. Fundamental analysis of cycloid ball reducer (3rd Report)—Strength Design. JSPE 1995, 12, 1705–1709. [Google Scholar]
- Sapsalev, A.V. Comparison of the linear tachograms of cyclic gearless electric drives. Vestn Mashinostr 2004, 3, 12–15. [Google Scholar]
- Sapsalev, A.V. Optimizing cyclic gearless electric drives with a reduced-speed section. Russ. Eng. Res. 2012, 32, 438–443. [Google Scholar] [CrossRef]
- Terada, H.; Imase, K. Fundamental analysis of a cycloid ball reducer (5th Report)—Development of a two stage type reduction mechanism. JSPE 2009, 12, 1418–1422. [Google Scholar]
- Yang, R.; Li, F.; Zhou, Y. Nonlinear dynamic analysis of a cycloidal ball planetary transmission considering tooth undercutting. Mech. Mach. Theory 2020, 145, 103694. [Google Scholar] [CrossRef]
- Nam, W.; Shin, J.; Oh, S. Design of thin plate-type speed reducers using balls for robots. J. Mech. Sci. Technol. 2013, 27, 519–524. [Google Scholar] [CrossRef]
- Nishibe, S.; Mitsufuji, S.; Nishtani, Y. Eccentric Oscillating Reduction Gear for Joint Drive of Robot. JP Patent JP2014161952A, 16 May 2014. [Google Scholar]
- Furuta, K. Eccentric-Oscillating Gear Device. Ger. Patent DE102016201055A1, 12 July 2016. [Google Scholar]
- Wei, R.; Jin, H.; Yi, Y. Research on the transmission error of swing-rod movable teeth transmission system. Mech. Ind. 2020, 21, 409. [Google Scholar] [CrossRef]
- Yi, Y.; Gao, Y.; He, L. Thermoelastic stress--strain analysis of the meshing pairs of a two-tooth difference swing-rod movable toothed drive. Strength Mater. 2019, 51, 633–645. [Google Scholar] [CrossRef]
- Xu, L.; Wang, W. Quasi-static analysis of forces and stress for a novel two-step movable tooth drive. Mech. Based Des. Struct. Mach. 2018, 46, 285–295. [Google Scholar]
- Li, C.; Xing, J.; Fang, J. Numerical analysis on chaotic vibration of drive system for a movable tooth piezoelectric motor. Shock Vib. 2017, 2017, 3216010. [Google Scholar] [CrossRef]
- Liang, Y.; Xu, L. Coupled dynamics for an electromagnetic harmonic movable-tooth drive system with eccentricity. Appl. Math. Model. 2021, 90, 703–718. [Google Scholar] [CrossRef]
- Xu, L.; Li, R. Planar two-stage movable tooth reducer closed by input shaft. J. Adv. Mech. Des. Syst. Manuf. 2020, 14, 20-00090. [Google Scholar] [CrossRef]
- Crook, A.W. The Lubrication of Rollers IV. Measurements of Friction and Effective Viscosity. R. Soc. 1962, 68, 281–312. [Google Scholar]
- Benedict, G.H.; Kelley, B.W. Instantaneous Coefficients of Gear Tooth Friction. ASLE Trans. 1961, 4, 59–70. [Google Scholar] [CrossRef]
- Dowson, D.; Higgison, G.R. Elasto-Hydrodynamic Lubrication; Pergamon Press: London, UK, 1977. [Google Scholar]
- Xu, L.; Yang, X. Relative velocity and meshing efficiency for a novel planar ball reducer. Mech. Mach. Theory 2021, 155, 104057. [Google Scholar] [CrossRef]








| ZK1 | ZG1 | ZK2 | ZG2 | a1 (mm) | b1 (mm) | a2 (mm) | b2 (mm) | r (mm) |
|---|---|---|---|---|---|---|---|---|
| 6 | 7 | 5 | 6 | 1.3 | 16 | 1.3 | 16 | 6 |
Disclaimer/Publisher’s Note: The statements, opinions and data contained in all publications are solely those of the individual author(s) and contributor(s) and not of MDPI and/or the editor(s). MDPI and/or the editor(s) disclaim responsibility for any injury to people or property resulting from any ideas, methods, instructions or products referred to in the content. |
© 2025 by the authors. Licensee MDPI, Basel, Switzerland. This article is an open access article distributed under the terms and conditions of the Creative Commons Attribution (CC BY) license (https://creativecommons.org/licenses/by/4.0/).
Share and Cite
Yang, S.; Xu, L. Oil Film Thickness and Meshing Efficiency for a Novel Closed Movable Tooth Gear Reducer. Lubricants 2025, 13, 74. https://doi.org/10.3390/lubricants13020074
Yang S, Xu L. Oil Film Thickness and Meshing Efficiency for a Novel Closed Movable Tooth Gear Reducer. Lubricants. 2025; 13(2):74. https://doi.org/10.3390/lubricants13020074
Chicago/Turabian StyleYang, Shuo, and Lizhong Xu. 2025. "Oil Film Thickness and Meshing Efficiency for a Novel Closed Movable Tooth Gear Reducer" Lubricants 13, no. 2: 74. https://doi.org/10.3390/lubricants13020074
APA StyleYang, S., & Xu, L. (2025). Oil Film Thickness and Meshing Efficiency for a Novel Closed Movable Tooth Gear Reducer. Lubricants, 13(2), 74. https://doi.org/10.3390/lubricants13020074
