Next Article in Journal
Machine Tool Spindle Temperature Field Parametric Modeling and Thermal Error Compensation
Previous Article in Journal
The Coupling Influence of Load and Temperature on Boundary Friction of Fullerene Ball Nano-Additives
 
 
Font Type:
Arial Georgia Verdana
Font Size:
Aa Aa Aa
Line Spacing:
Column Width:
Background:
Article

Effect of Laser Power on the Microstructure and Wear and Corrosion Resistance of Ni25 Alloy Coatings

1
School of Mechanical Engineering, Guangdong Ocean University, Zhanjiang 524088, China
2
Guangdong Engineering Technology Research Center of Ocean Equipment and Manufacturing, Zhanjiang 524088, China
3
School of Electronics and Information Engineering, Guangdong Ocean University, Zhanjiang 524088, China
4
School of Materials and Science and Engineering, Guangdong Ocean University, Yangjiang 529500, China
*
Author to whom correspondence should be addressed.
Lubricants 2025, 13(12), 549; https://doi.org/10.3390/lubricants13120549
Submission received: 3 November 2025 / Revised: 14 December 2025 / Accepted: 15 December 2025 / Published: 16 December 2025

Abstract

This study systematically investigates the influence of laser power (1000 W, 1400 W, 1800 W) on the microstructure and properties of Ni25 alloy coatings prepared by laser cladding to optimize process parameters for enhanced comprehensive performance. Through the analysis of multi-dimensional characterization, it is found that the laser power significantly changes the thermal cycle, thus determining the evolution of microstructure. At 1000 W, a fine dendritic structure with dispersed hard phases (BNi3, BFe3Ni3, CrB2, Cr7C3) yielded the highest hardness (442.52 HV) but poor wear (volume loss: 0.3346 mm3) and corrosion resistance (Icorr: 2.75 × 10−4 A·cm−2) due to microstructural inhomogeneity. The 1400 W coating, featuring a uniform γ-Ni dendrite/eutectic network and increased B solid solubility, achieved an optimal balance with the lowest wear rate (0.0685 mm3), superior corrosion resistance (Icorr: 2.34 × 10−5; A·cm−2), and a stable friction coefficient (0.816), despite lower hardness (342.00 HV). At 1800 W, grain coarseness and Cr7C3 decomposition led to blocky hard phases, recovering hardness (415.36 HV) and reducing the friction coefficient (0.757), but resulting in intermediate wear and corrosion resistance. This study demonstrates that the uniformity and continuity of the microstructure are the key determinants governing the comprehensive service properties of the laser cladding layer, with their importance outweighing a single hardness index. 1400 W is identified as the optimal laser power, providing critical insights for fabricating high-performance Ni25 coatings in demanding service environments.

1. Introduction

The integration and advancement of surface engineering with additive manufacturing technologies offer innovative solutions for enhancing the wear resistance and corrosion resistance of critical mechanical components. Among these, laser cladding stands out as an efficient surface modification and remanufacturing technique. By utilizing a high-energy laser beam to deposit a high-performance coating with metallurgical bonding to the substrate surface, it significantly improves the comprehensive properties of workpiece surfaces and extends their service life. This technology offers distinct advantages such as controllable heat input, low dilution rate, and dense coating microstructure, demonstrating broad application prospects in aerospace, energy power, marine equipment, and other fields.
Longjie Zhao et al. [1] employed a large-spot (10 mm diameter) CO2 laser to deposit Ni35 cladding layers on 45 steel surfaces, systematically analyzing the influence patterns of process parameters: As laser specific energy decreased, coating height increased, while width, penetration depth, dilution ratio, aspect ratio, and contact angle all decreased. The coating phases primarily comprised γ-Ni, FeNi3, Ni3B, Cr23C6, and Cr5B3, exhibiting microstructures with diverse dendritic morphologies, including chrysanthemum-like, fishbone-like, pearl-like, and columnar patterns. With reduced scanning speed, the proportion of chrysanthemum-like dendrites gradually increases due to growth direction evolution. Simultaneously, the heat-affected zone microstructure sequentially transforms from martensite to martensite and sorbite and ultimately becomes entirely sorbite. The coating exhibits a maximum microhardness of 451.8 HV0.2, approximately double that of the substrate (220 HV0.2), demonstrating the significant enhancement of surface hardness achieved by laser cladding technology.
Fuzhen Sun et al. [2] employed laser cladding to deposit a Ni25-SiC-graphene composite coating on 6063 aluminum alloy. The study revealed that an appropriate amount of graphene (0.5%) significantly refined the microstructure, generated hard phases, and enhanced performance, increasing the average coating hardness by 40% and reducing the wear rate by 60%. However, excessive graphene (>0.5%) caused agglomeration, leading to crack formation, reduced hard phases, and deteriorated performance. Thus, this research determined 0.5% as the optimal graphene content.
Muvvala et al. [3] employed Inconel 718 nickel-based alloy as the cladding material and 304 stainless steel as the substrate. They conducted online monitoring of thermal cycling curves during laser cladding and systematically analyzed the intrinsic relationship between process parameters, thermal behavior, and microstructure-property correlations. Results indicate that slower thermal cycling induces significant element segregation, promotes phase formation, and coarsens the γ matrix, thereby degrading mechanical properties. Simultaneously, slow cooling inhibits epitaxial growth, forming equiaxed grains in the surface layer. The study also explored the role of subsequent heat treatment in element re-dissolution and microstructural homogenization, providing a theoretical basis for optimizing process parameters and enhancing cladding layer quality. Qiao et al. [4] noted in their study of high-speed laser cladding that process parameters profoundly influence the residual stress distribution and deformation behavior of coatings through complex thermal-stress evolution processes. Improper processes can induce crack sensitivity. Furthermore, the final properties of clad layers are not determined by a single factor but rather represent the comprehensive manifestation of their microstructural characteristics—including phase composition, grain size, and secondary phase distribution. For instance, in GH4169 alloy, rapid solidification promotes the precipitation of harmful Laves phases, severely degrading mechanical properties. Conversely, adjusting composition (e.g., adding V) combined with appropriate heat treatment can control phase precipitation, significantly enhancing coating hardness and high-temperature wear resistance [5]. These studies collectively demonstrate that optimizing processes to achieve desirable microstructures is crucial for improving the overall performance of laser-clad layers.
For the NI25 alloy, its cladding layer typically consists of a γ-Ni solid solution matrix and multiple boride and carbide hard phases. While its high hardness is highly valued, the coating’s wear resistance and service behavior in corrosive environments remain strongly dependent on the composition and microstructure of these phases. On one hand, the type, size, and distribution of hard phases directly influence wear mechanisms. On the other hand, electrochemical property differences between distinct phases may induce localized galvanic corrosion, accelerating coating failure. Davoodi et al. [6] demonstrated through electron beam melting of Ti6Al4V that surface finishing treatments reducing roughness and improving uniformity significantly enhance corrosion resistance and biofouling resistance. This provides valuable insights into how surface conditions and microstructure influence coating durability. Currently, systematic research on how laser power systematically affects the “process-microstructure-mechanical performance” relationship in Ni25 clad layers remains insufficient.
The final properties of laser cladding coatings are largely determined by the optimized configuration of process parameters such as laser power, scanning speed, and powder feed rate [7]. Different process combinations directly influence the thermodynamic behavior of the molten pool, the solidification process, and the final microstructure, thereby decisively affecting key coating properties such as hardness, wear resistance, and corrosion resistance. Therefore, systematically investigating the relationship between critical process parameters (particularly laser power) and the evolution of clad microstructure and macroscopic properties is central to optimizing coating preparation processes and achieving ideal performance combinations. This study aims to establish intrinsic correlations between process parameters, microstructure, and performance, thereby providing robust experimental evidence and theoretical support for process development and performance prediction of high-performance laser-clad coatings.

2. Test Materials, Methods, and Equipment

2.1. Materials

The test employed Q235 low-carbon steel as the substrate material and utilized Ni25 (China Sichuan Tsuengyue Metal Materials Co., Chengdu, China) alloy powder as the cladding material. As a typical structural steel for engineering applications, Q235 steel features low carbon content, excellent ductility and weldability, but exhibits relatively limited surface hardness, wear resistance, and corrosion resistance, limiting its use in demanding operating conditions.
As shown in Figure 1a, the NI25 powder particles exhibit a spherical morphology. The particle size statistics indicate a maximum of 167.74 μm, a minimum of 102.09 μm, and an average of 139.15 μm. Figure 1b shows that the particle size distribution is concentrated and follows a normal distribution.
To enhance the surface properties of Q235 steel, nickel-based Ni25 alloy powder was selected as the cladding layer material. The Ni25 alloy features a nickel matrix, incorporating boron (B) and silicon (Si) as melting-point-lowering elements, along with an appropriate amount of chromium to improve oxidation resistance and corrosion resistance. The specific chemical composition is detailed in Table 1. During laser or plasma cladding, this alloy system forms a low-melting-point eutectic structure, exhibiting excellent wettability, low cladding stress, and high precipitation capacity for hard phases. This enables the formation of a metallurgically bonded cladding layer on the soft substrate, characterized by high hardness and superior wear resistance.
By cladding Ni25 powder onto Q235 surfaces, the substrate’s inherent toughness is preserved while significantly enhancing surface hardness and wear resistance, achieving a composite structure characterized by a “tough matrix and strong surface layer.” This material combination balances economic viability with functional enhancement, demonstrating significant research value and application potential.

2.2. Equipment and Methods

Laser cladding processing was performed using a laser cladding workstation (Model: SM-RF3000, Anhui Suiming Education Technology Co., Ltd., Anqing, China). This device is equipped with a fiber laser and integrated with automatic powder feeding system. Firstly, a set of preliminary experiments was conducted to establish a baseline that ensured the formation of a continuous and well-bonded cladding layer. The scanning speed of 5 mm/s and powder feed rate of 10 r/min were identified from these trials as they provided a stable melt pool and consistent deposition morphology for our specific material system. Secondly, to systematically investigate the effect of energy input on the cladding quality, the laser power was selected as the primary variable. The three gradients (1000 W, 1400 W, and 1800 W) were chosen to represent low, medium, and high linear energy density conditions, respectively. This range allows for a comprehensive analysis of the process-structure-property relationship. The choice of this power range is also consistent with the parameters reported in previous studies for cladding similar materials [8,9].
Following cladding, samples were cut into standard 10 × 10 mm specimens using a wire-cutting machine (Model: AR40-MA, Beijing Ande Jianqi Digital Equipment Co., Ltd., Beijing, China) for subsequent friction, wear, and corrosion performance testing.
Friction and wear performance testing was conducted on an SFT-2M pin-on-disk friction and wear tester (Lanzhou Zhongke Kaihua Technology Development Co., Ltd., Lanzhou, China). Tests employed a circular motion mode with a load of 15 N, a runtime of 30 min, and a friction radius of 2 mm. The wear tests were performed using a ball-on-disk configuration, with a Si3N4 (silicon nitride) ball of 4 mm diameter as the counter material. Wear volume was measured via surface profile scanning, with a uniform scan length of 4 mm.
Phase analysis was performed using a Shimadzu XRD-6100 X-ray diffractometer (Shimadzu, Tokyo, Japan). X-ray diffraction analysis was conducted with a Cu Kα X-ray source, and the X-ray generator was configured at 40 kV and 30 mA. Test conditions were: diffraction angle range 10–90°, step size 0.02°, and scanning speed 6°/min. XRD patterns were analyzed to determine the crystalline structure and phase composition of the samples. The diffraction data were analyzed using JADE6.5 software (Materials Data, Inc. (MDI), Livermore, CA, USA), with phase identification conducted by matching the measured diffraction patterns against the ICDD/JCPDS standard powder diffraction database (PDF).
Surface morphology of the worn areas was observed using a Hitachi TM4000Plus (Hitachi High-Technologie, Osaka, Japan) scanning electron microscope (SEM). The accompanying energy dispersive spectrometer (EDS) was employed to analyze the surface distribution of major elements, investigating wear mechanisms and compositional changes.
Electrochemical corrosion behavior testing was conducted at room temperature using a CS Studio (Wuhan Corette Instrument Co., Wuhan, China) electrochemical workstation. The workstation was equipped with a three-electrode system: the test sample served as the working electrode, a saturated calomel electrode acted as the reference electrode, and a platinum plate functioned as the counter electrode. The electrolyte consisted of a 3.5% (w/w) NaCl aqueous solution, designed to simulate typical chloride ion corrosion conditions in marine atmospheric environments. Prior to testing, samples were immersed in the electrolyte until the open-circuit potential stabilized. Subsequently, dynamic potential polarization curves were scanned at a rate of 5 mV/s, typically covering a range of ±2.5 V relative to the open-circuit potential. Key electrochemical parameters such as the self-corrosion potential (Ecorr) and corrosion current density (Icorr) were extracted from the polarization curves using Tafel extrapolation analysis. This enabled a systematic evaluation of the material’s corrosion resistance and corrosion kinetics in chloride-containing media.

3. Results and Analysis

3.1. Coating Macroscopic Morphology

At a laser power of 1000 W, insufficient energy supply restricts the melting, flow, and solidification processes of the molten pool. This results in a large temperature gradient within the pool and accelerated solidification rates, preventing the cladding material from spreading adequately. Consequently, the clad layer exhibits a rough surface with numerous unmelted particles remaining. Insufficient energy prevents complete and uniform fusion of the cladding material, resulting in poor thickness uniformity of the clad layer [10]. The thickness of the cladding layer is 2.20 mm. Distinct, irregular striated textures form, and the metallurgical bonding interface becomes discontinuous and prone to poor bonding. Macroscopically, this manifests as slag inclusion at the edges (e.g., the raised side of the specimen in Figure 2a).
Figure 2b shows the clad layer at 1400 W power. The thickness of the cladding layer is 2.39 mm. Improved energy matching provides the molten pool with adequate energy, enabling thorough melting and enhanced flow characteristics. The cladding material spreads more uniformly within the molten pool, and the temperature field during solidification becomes more stable. Compared with the 1000 W operating condition, the macroscopic unevenness is reduced and the stripe texture becomes more regular. Energy promotes metallurgical bonding between the clad layer and substrate, reducing interlayer defects and enhancing clad layer density [11]. However, minor localized protrusions persist due to subtle variations in energy distribution, though the overall morphology remains superior to lower power settings.
Figure 2c shows the clad layer at 1800 W power. The thickness of the cladding layer is 2.69 mm. At high power inputs, increased energy causes excessive melt pool temperatures and flow rates, intensifying material evaporation and spatter. This leads to surface composition inhomogeneity and ablation defects (evident as localized dark burn areas in the image).
Rapid solidification due to excessive energy input can concentrate thermal stresses, increasing the risk of cracking in the clad layer. Furthermore, the surface undergoes repeated melting-solidification cycles, resulting in reduced flatness, blurred grain structure, and degraded macroscopic quality.
Laser power comprehensively influences cladding layer quality—from micro-metallurgical bonding to macro-surface morphology—by regulating the molten pool’s energy state (temperature, fluidity, solidification rate). An optimal power range exists where the cladding layer achieves good density, flatness, and bonding strength. Both excessively high and low power levels can cause morphological and performance defects.

3.2. Coating Surface Analysis

3.2.1. Influence of Laser Power on Phase Composition of Cladding Layer

Figure 3a shows the XRD diffraction patterns of the clad layers obtained at laser powers of 1000 W, 1400 W, and 1800 W. Systematic analysis of characteristic parameters such as peak positions, intensities, and half-widths reveals that variations in laser power significantly influence the phase composition and microstructure of the clad layers, exhibiting a clear, regular evolutionary trend. At the lower laser power of 1000 W, the Ni25 cladding layer has already formed a relatively complex multi-phase system. Its primary phase composition includes the γ-Ni solid solution phase as the matrix phase of the nickel-based alloy, constituting the continuous skeletal structure of the cladding layer and serving as the core phase composition, ensuring coating toughness. This phase features a face-centered cubic (FCC) lattice formed by Ni atoms, with alloying elements like Cr and Fe entering the Ni lattice via substitutional solid solution, significantly enhancing the matrix strength. The boride phase primarily comprises hard phases such as BNi3, BFe3Ni3, and CrB2. These compounds are formed during the solidification of the molten pool through in situ reactions between boron (B) from the powder feedstock and matrix elements like Ni, Fe, and Cr. Exhibiting high microhardness, they act as uniformly distributed dispersion-strengthening phases within the γ-Ni matrix, significantly enhancing the overall hardness and wear resistance of the cladding layer. Regarding carbide phases, distinct Cr7C3 diffraction peaks were detected. This phase forms through the combination of Cr and C elements within the alloy, representing a metastable carbide phase. It also exhibits high hardness and stability, constituting a crucial strengthening phase in the cladding layer. The above phase composition fully confirms that Ni25, as a typical Ni-Cr-B-Si self-fluxing alloy, successfully achieved the anticipated metallurgical reactions under laser cladding conditions. This resulted in a composite coating system supported by a ductile γ-Ni matrix and uniformly dispersed multiple hard phases, establishing the microstructural foundation for the coating’s excellent comprehensive mechanical properties. When laser power increased from 1000 W to 1400 W, the XRD patterns exhibited two distinct changes with clear physical significance: First, the intensity of the primary diffraction peak of the γ-Ni solid solution significantly increased. This indicates a marked improvement in the crystallinity of the γ-Ni phase and a trend toward larger grain sizes. From a thermodynamic perspective, higher laser power input elevates the peak temperature of the molten pool, prolongs its existence time, and simultaneously slows the cooling rate. This thermal cycling characteristic provides more favorable diffusion conditions and a longer time window for the growth and coarsening of γ-Ni phase nuclei, promoting the development of a more complete and coarse crystal structure. Second, the main γ-Ni diffraction peak exhibits a pronounced shift toward higher angles. According to the Bragg diffraction equation (2d sinθ = nλ), under constant incident wavelength λ, an increase in diffraction angle 2θ directly corresponds to a decrease in interplanar spacing d. This phenomenon is primarily attributed to lattice distortion caused by solid solution strengthening: the higher energy input at 1400 W enhances convective mixing within the molten pool, promoting uniform distribution of alloying elements. This significantly increases the solubility of B elements in the γ-Ni solid solution. A large number of B atoms enter the FCC lattice interstitial sites of γ-Ni as interstitial atoms, causing significant lattice contraction and distortion. This reduces the interplanar spacing, ultimately manifesting as a high-angle shift in the diffraction peak position. When laser power further increased to 1800 W, the phase evolution exhibited new characteristics reflecting phase equilibrium shifts under extreme heat input conditions. The main γ-Ni diffraction peak shifted back toward lower angles compared to the 1400 W condition, indicating recovery and an increase in the interplanar spacing d value. Under extremely high heat input, the composition of the γ-Ni solid solution underwent dynamic adjustment. At 1800 W, the excessively high melt pool temperature caused partially supersaturated B elements previously dissolved in the γ-Ni lattice to partially precipitate due to reduced solubility. These precipitated B elements further reacted with metallic elements in the matrix to form additional boride phases (e.g., BNi3 and CrB2). As the solubility of boron (B), the primary lattice-contracting element, decreased in γ-Ni, lattice distortion diminished. This led to a partial recovery of the lattice constant, causing a leftward shift in diffraction peak positions (Figure 3b shows). These peaks remained to the right of the 1000 W position, indicating that boron solubility in γ-Ni remained higher than at 1000 W, suggesting partial retention of the solid solution strengthening effect. Second, a more pronounced change is the near-complete disappearance of the Cr7C3 carbide diffraction peak. Given that Cr7C3 is a thermodynamically metastable carbide, its phase stability is highly temperature-sensitive. Under the extreme heat input of 1800 W, the melt pool temperature likely exceeded its thermodynamic stability threshold. Secondly, a more pronounced change is the near-complete disappearance of the diffraction peak for the Cr7C3 carbide. Given that Cr7C3 is a thermodynamically metastable carbide, its phase stability is highly sensitive to temperature. Under the extreme heat input of 1800 W, the molten pool temperature may have exceeded its thermodynamic stability range, leading to high-temperature decomposition or phase transformation. A possible transformation pathway involves high-temperature dissolution of Cr7C3, decomposing into Cr atoms and C atoms that then re-dissolve into the liquid melt pool. Ultimately, these atoms exist as solute atoms within the γ-Ni matrix.
Comprehensive analysis indicates that laser power, as the most critical energy input parameter in the laser cladding process, profoundly influences the solidification behavior and phase equilibrium of the Ni25 clad layer by systematically regulating the thermal cycling characteristics of the molten pool (including peak temperature, high-temperature dwell time, and cooling rate) [12,13]. Increased power not only promotes the coarsening of γ-Ni grains and the solid solution-precipitation dynamics of alloying elements but also triggers thermodynamic stability issues in hard phases, particularly Cr7C3. This evolution pattern indicates the existence of an optimal laser power window within the experimental parameter range (estimated around 1400 W under the conditions of this study). Within this process range, effective solid solution strengthening of the γ-Ni matrix and an optimal grain structure can be achieved while retaining sufficient quantities of hard phases (borides and carbides) to ensure high coating hardness and wear resistance, thereby achieving excellent comprehensive mechanical properties.

3.2.2. Effect of Laser Power on the Microstructure of Clad Layers

Observation of the microstructure of the clad layer via scanning electron microscopy (SEM) provides direct evidence of how laser power regulates the solidification microstructure [14]. At a laser power of 1000 W, Figure 4a shows the γ-Ni solid solution phase exhibiting a uniform, saturated, and continuous arrangement [15]. At this parameter, the rapid cooling rate of the molten pool promotes the formation of fine dendrites or cellular crystals in the γ-Ni matrix. Due to the high cooling rate [16,17], high nucleation rate, and short nucleation time, a fine and dense microstructure is formed. This corresponds to the relatively broadened diffraction peaks in XRD Figure 3. Simultaneously, rapid solidification results in the fine dispersion of multiple hard phases, such as BNi3, CrB2, and Cr7C3, which are dispersed in fine sizes within the inter-dendritic regions of the γ-Ni matrix. Although these phases do not exhibit distinct isolated features under low-magnification SEM due to their minute scale and low contrast, this uniform, fine microstructure lays the foundation for the combination of high hardness and good toughness. The results of micro-area EDS analysis indicate that significant elemental redistribution occurs in the cladding layer during solidification. The composition of point A in Figure 4a (Ni 80.45%, C 10.97%, Si 3.82%, Cr 1.04%, Fe 0.78%) represents a typical γ-Ni supersaturated solid solution. In comparison, the contents of C, Si, and Cr at point B on the grain boundary in Figure 4b all show varying degrees of increase, with the carbon content rising from 10.97% to 12.41%. The strong aggregation of carbon at the grain boundary confirms that during the final stage of solidification or subsequent cooling, Cr-rich carbide M7C3 preferentially nucleates and precipitates at the grain boundaries.
Figure 4d, Figure 4e and Figure 4f, respectively, show the statistical distribution of grain sizes in the cladding layer prepared under laser powers of 1000 W, 1400 W, and 1800 W. It can be observed that the grain sizes under all three powers exhibit a typical normal distribution, indicating that the grain growth within the cladding layer tends to be uniform and stable under their respective thermal cycling conditions. The statistical results show that as the laser power increases, the average grain size shows a significant increasing trend, specifically: at 1000 W, the average grain size is 9.74 μm; at 1400 W, it increases to 11.53 μm; and at 1800 W, it reaches 17.00 μm. The increase in laser power directly raises the energy input into the molten pool, resulting in prolonged high-temperature dwell time and a slower cooling rate. This provides more favorable thermodynamic conditions for grain boundary migration and full grain growth, thereby causing significant grain coarsening. The increase in grain size directly weakens the fine-grain strengthening effect, which explains why the hardest microstructure appears in the finest-grained 1000 W sample, while the coarsest 1800 W sample exhibits a reduction in hardness. Furthermore, the coarse grains, along with the accompanying blocky hard phases at the grain boundaries, may also potentially affect the material’s toughness and resistance to crack propagation. This grain evolution pattern provides key quantitative evidence for further understanding the intrinsic mechanism by which laser power influences macroscopic properties through the regulation of microstructure.
When the power was increased to 1400 W, the microstructure of the clad layer in Figure 4b underwent significant changes. On one hand, the increased heat input slowed the cooling rate of the molten pool, allowing γ-Ni grains to obtain more sufficient growth time. Their size coarsened significantly, transforming from the fine dendrites at 1000 W into coarser dendrites or allowing γ-Ni grains more time to grow. Their size noticeably coarsened, transforming from the fine dendrites observed at 1000 W into coarser dendrites or even equiaxed grains. On the other hand, bright contrast and “hollow” or net-like structures were observed around the coarse γ-Ni dendrites or grain boundaries. Combined with XRD phase analysis, these bright regions represent enriched hard phases (BNi3, CrB2, Cr7C3) [18]. Their formation mechanism involves alloying elements like B, C, and Cr diffusing into inter-dendritic regions during slow cooling, enriching there, and precipitating during the late solidification stage. Due to the higher average atomic number of these hard phases compared to the γ-Ni matrix (rich in heavy elements like Cr), they exhibit brighter contrast during SEM electron beam imaging. The “hollowed-out” morphology is a characteristic feature of eutectic structures, indicating that the cladding layer at 1400 W underwent non-equilibrium solidification eutectic reactions. This resulted in a eutectic structure of γ-Ni and hard phases surrounding the primary γ-Ni dendrites. When the power was further increased to the extremely high level of 1800 W, the microstructure in Figure 4c exhibits overdeveloped characteristics. The extremely high heat input prolongs the high-temperature residence time in the melt pool, creating conditions for intense grain growth. This results in a significant increase in γ-Ni grain size, with grains becoming irregular in shape due to competitive growth, losing their distinct dendritic morphology. Concurrently, coarse, independent block-like compounds appear at γ-Ni grain boundaries. This phenomenon directly correlates with the “near disappearance of the Cr7C3 peak” in the XRD analysis. The mechanism is explained as follows: At the extreme temperature of 1800 W, the metastable phase Cr7C3 dissolves or transforms. The B and Cr elements enriched in the molten pool possess extremely favorable diffusion conditions, tending to form more stable, thermodynamically favored hard phases (such as Cr7C3). Due to the slowest cooling rate, these stable hard phases have ample time to nucleate and grow. They no longer exist as fine eutectic network structures but instead aggregate and coarsen into larger blocky or strip-like compounds distributed along the boundaries of giant γ-Ni grains. Although such coarse, blocky, hard phases possess high hardness themselves, they may reduce grain boundary strength and serve as microcrack origins, adversely affecting the toughness of the cladding layer. Collectively, SEM observations clearly demonstrate the decisive influence of laser power on the solidification microstructure of the clad layer through thermal cycling control. Specifically, as power increases from 1000 W to 1800 W, the cladding structure evolves from “fine and uniform → moderately coarsened with eutectic network formation → excessive growth with coarse blocky phases.” This morphological evolution aligns perfectly with the phase changes revealed by XRD (solubility variations and Cr7C3 decomposition). The “γ-Ni dendrites and eutectic network” structure formed at 1400 W power likely achieves the optimal balance between hardness, wear resistance, and toughness, whereas the coarse γ-Ni grains and intergranular blocky phases formed at 1800 W power.

3.3. Hardness Analysis

The hardness values measured at different laser powers are shown in Figure 5. The hardness distribution across the cross-section in Figure 5a correlates strongly with the aforementioned phase composition (XRD analysis) and microstructural evolution patterns (SEM observation), collectively revealing the strengthening and softening mechanisms of laser-clad Ni25: At 1000 W power, the cladding layer exhibits the highest average hardness (442.52 HV as shown in Figure 5b) but with significant hardness fluctuations. The high hardness originates from grain refinement strengthening and second-phase dispersion strengthening [19]. At 1000 W, rapid cooling forms a uniform fine γ-Ni dendritic structure (grain refinement strengthening), while BNi3, BFe3Ni3, CrB2, Cr7C3, and other hard phases are dispersed finely between dendrites (dispersion strengthening that strongly impedes dislocation motion). The hardness variation stems from microstructural compositional inhomogeneity, where indentation measurements may occur in softer γ-Ni solid solution regions or in inter-dendritic zones enriched with hard phases. This non-uniformity poses potential risks to coating consistency and service reliability [20,21]. When power was increased to 1400 W, the average hardness of the cladding layer decreased significantly to 342.00 HV. However, the cross-sectional hardness remained relatively stable with minimal fluctuation. This hardness reduction primarily resulted from significant grain growth in γ-Ni, which diminished the fine-grain strengthening effect. Although XRD analysis indicated that the solution strengthening from increased B solubility in γ-Ni was insufficient to counteract the softening effect of grain coarsening, Hardness homogenization benefited from the typical microstructure observed via SEM: “γ-Ni dendrites and continuous eutectic network.” The harder eutectic structure (γ-Ni and hard phases) formed a continuous network surrounding softer γ-Ni primary dendrites, creating a more uniform composite structure at the micro-scale and reducing hardness variations across different locations. When power was further increased to 1800 W, the average hardness of the cladding layer recovered to 415.36 HV, with a corresponding increase in the heat-affected zone hardness. The primary factor driving this hardness recovery in the cladding layer was a shift in the second-phase strengthening mechanism. XRD analysis revealed decomposition of metastable Cr7C3, while SEM observation showed coarse, blocky, hard phases (e.g., CrB2) forming at grain boundaries. Although such blocky phases are detrimental to toughness, their high hardness effectively resisted indentation. Simultaneously, Cr and C atoms released from Cr7C3 decomposition re-dissolved into γ-Ni, imparting potential solid solution strengthening that counteracted the softening effect of further γ-Ni grain coarsening [22]. The increased hardness in the heat-affected zone was associated with secondary hardening of the substrate. The extremely high heat input of 1800 W subjected the base material’s HAZ to thorough thermal cycling, potentially inducing microstructural transformations such as carbide precipitation or tempered martensite formation. Comprehensive phase, morphology, and hardness analyses reveal that laser power modulates the solidification pathway, phase composition, and microstructure of the Ni25 cladding layer through controlled thermal cycling, thereby determining hardness properties. No single parameter yields optimal performance across all metrics: For uniform performance and adequate toughness reserves (coarse γ-Ni typically offers superior toughness), 1400 W is the ideal choice; Although hardness increases at 1800 W, it is accompanied by excessive grain coarsening and blocky phases, which may negatively impact toughness and wear resistance. Therefore, in practical applications, the process must be finely optimized between 1000 W and 1400 W based on service conditions (such as exposure to impact loads or pure abrasive wear) to achieve the optimal balance of hardness, toughness, and uniformity.

3.4. Friction and Wear Analysis

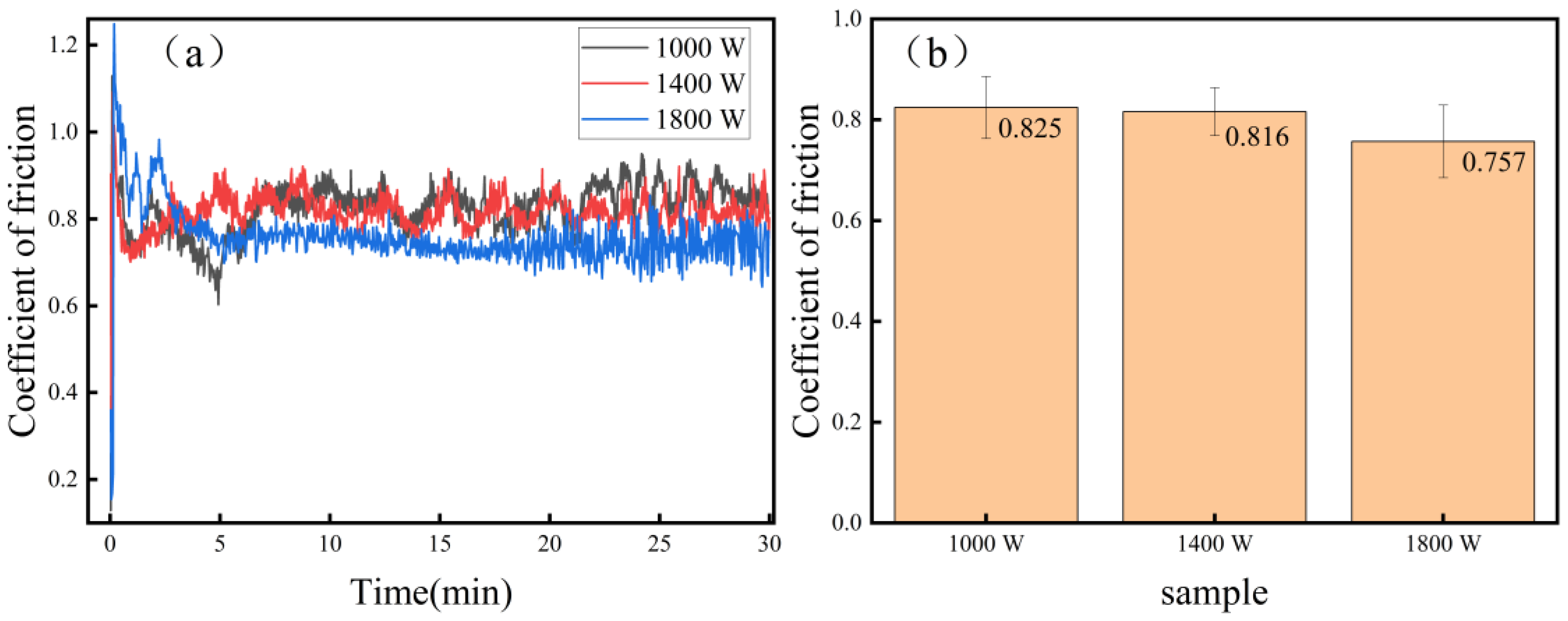
As a key parameter for evaluating material wear resistance, the average coefficient of friction of Ni25 clad layers prepared at different laser powers exhibits systematic variations, closely correlated with hardness, microstructure, and phase composition evolution.
The influence of laser power on the tribological behavior of the cladding layer is shown in Figure 6.The test results indicate (Figure 6b) that as the laser power increased from 1000 W to 1800 W, the average friction coefficient of the cladding layer first decreased significantly and then slightly increased. Specifically, it reached a maximum of 0.825 at 1000 W, slightly decreased to 0.816 at 1400 W, and dropped to its lowest at 1800 W, with an average of 0.757. At the same time, the variability of the friction coefficient (expressed as the standard deviation) also exhibited a regular pattern: the standard deviation was smallest at 1400 W (0.048), indicating the most stable friction process, whereas it was greater at 1000 W (0.062) and 1800 W (0.072), reflecting relatively significant fluctuations in the friction process. Correlation analysis indicates that although the clad layer exhibits the highest hardness (442.52 HV) at 1000 W, it also possesses the highest friction coefficient. The core reason lies in its microstructural inhomogeneity—during friction, softer γ-Ni matrix regions undergo plastic deformation and wear first. In addition to the microstructural inhomogeneity discussed above, the relatively poor macroscopic surface roughness of the 1000 W coating (as evidenced in Figure 2) likely contributed to its elevated friction coefficient. The rough surface would reduce the effective contact area, increase local contact pressure, and promote mechanical interlocking, all of which can lead to higher frictional resistance and exacerbate the detrimental effects of microstructural heterogeneity. Protruding hard-phase particles are prone to spalling or fracturing under shear forces. These detached hard-phase particles act as third-body abrasives within the friction pair, triggering severe abrasive wear. This leads to increased friction force and coefficient, with wear mechanisms dominated by abrasive wear and brittle spalling. Consequently, the layer exhibits high hardness but poor friction resistance. At 1400 W power, the cladding layer exhibits the lowest average hardness (342.00 HV) but a reduced friction coefficient compared to the 1000 W condition. This improvement stems from its uniform “γ-Ni dendrite and continuous eutectic network” microstructure, which creates a gentle gradient in micro-mechanical properties across the friction surface. During wear, the material undergoes uniform and stable plastic flow and removal, preventing violent spalling of hard phases and reducing the tendency for abrasive wear. The wear mechanism shifts to predominantly adhesive wear and uniform fatigue wear. Although the hardness is lower, the improved microstructural uniformity enhances friction performance. At 1800 W power, the cladding layer achieves the lowest friction coefficient, attributed to its unique microstructure: The coarse γ-Ni matrix, while reducing hardness, undergoes sufficient plastic deformation during friction to form a smoother friction surface, increase effective contact area, and reduce contact stress [23]. Coarse, blocky, hard phases distributed along grain boundaries effectively support loads and prevent severe seizure of the friction pair. Due to their large size and minimal interface with the matrix, they are less prone to spalling compared to the fine hard phases observed at 1000 W. Simultaneously, the plastic deformation layer of coarse γ-Ni grains or potentially formed oxides may function similarly to a lubricating film. The wear mechanism combines mild abrasive wear with plastic deformation, achieving a low friction coefficient. The relationship between “Process-Structure-Performance-Tribological Behavior” reveals that at 1000 W, the microstructure consists of fine γ-Ni dendrites and dispersed hard phases, with phase characteristics including coexisting multiple hard phases and the presence of Cr7C3. This results in high hardness but poor uniformity, leading to a high friction coefficient. The core influencing factors are rapid cooling under low heat input and microstructural inhomogeneity. At 1400 W, the microstructure comprises coarse γ-Ni dendrites and a continuous eutectic network; phase characteristics include γ-Ni lattice distortion with increased solubility, low but uniform hardness, and a moderate friction coefficient. The core influencing factor is elemental diffusion and microstructural homogenization under moderate heat input. At 1800 W, the microstructure consists of coarse irregular γ-Ni and blocky hard phases at grain boundaries. Phase characteristics include decomposition of Cr7C3 and predominant stable borides, with moderate hardness and good uniformity, and a low friction coefficient. The core influencing factors are phase decomposition and excessive grain growth under high heat input. Based on these findings, the following engineering application recommendations are proposed: For applications requiring high hardness and resistance to severe abrasive wear, select the 1000 W process. This is suitable for conditions involving plowing by hard particles, but note the risk of localized failure due to performance non-uniformity. For balanced performance, stability, and fatigue wear resistance, the 1400 W process is optimal. It suits friction components subjected to moderate impact or alternating loads. Its uniform microstructure ensures stable performance and good toughness, while the moderate friction coefficient facilitates smooth operation. For applications demanding low friction coefficients and anti-adhesive wear resistance, the 1800 W grade excels. It is suitable for scenarios with stringent requirements for motion smoothness and friction force. However, caution is advised regarding the potential negative impacts of coarse microstructure and blocky hard particles on relative impact toughness and fatigue strength.
By integrating hardness, coefficient of friction, and wear volume data (where wear volume serves as the most direct indicator of material wear resistance), we can make a final assessment of the performance of the Ni25 cladding layer under three power parameters: 1000 W, 1400 W, and 1800 W. The wear volume data, as shown in Figure 7 (0.3346 mm3 at 1000 W, 0.0685 mm3 at 1400 W, and 0.1911 mm3 at 1800 W), is highly consistent with the aforementioned microstructure and coefficient of friction analysis. 0.0685 mm3 at 1400 W, and 0.1911 mm3 at 1800 W) is highly consistent with the previously analyzed microstructure and friction coefficient data. In the comprehensive wear resistance evaluation, although the cladding layer at 1000 W exhibited the highest hardness (442.52 HV), it also showed the greatest wear volume and poorest wear resistance. The core reason lies in its non-uniform microstructure—during friction, the interface between the hard phases and the γ-Ni matrix becomes a weak point [24,25]. The hard phases are prone to exfoliation under shear forces. The detached hard-phase particles act as abrasives, intensifying three-body abrasive wear and leading to rapid material loss [26,27]. This demonstrates that high hardness does not equate to high wear resistance; microstructural stability is crucial. Although the cladding layer at 1400 W power exhibited the lowest hardness (342.00 HV), its wear volume was significantly lower than the other two processes, demonstrating the best wear resistance. This is attributed to its uniform microstructure of “γ-Ni dendrites and continuous eutectic network,” which forms a stable, unified anti-wear structure [28]. During wear, the material undergoes coordinated, gradual plastic deformation and minor abrasion, preventing localized brittle spalling [26,29]. Despite lower hardness, this uniform wear mechanism significantly slows material loss. At 1800 W power, the cladding layer exhibits increased hardness (415.36 HV) and the lowest friction coefficient (0.757), but its wear rate is intermediate and wear resistance is inferior to the 1400 W process. Its advantage lies in coarse, blocky hard phases effectively bearing loads to reduce friction coefficients. The disadvantage is that large γ-Ni grains render the substrate excessively soft. Under sustained loads, the soft substrate is prone to gradual wear due to plastic creep and fatigue [30].
At a power of 1000 W (Figure 8a), the worn surface exhibits composite characteristics resulting from the combined effects of fatigue wear and abrasive wear. Morphologically, typical parallel plow grooves and large flake-like spalling pits can be observed. This phenomenon originates from the microstructure formed under relatively low laser power: although the hard phases (such as carbides and borides) are dispersedly distributed, the solid solution strengthening of the γ-Ni matrix is limited, and the interface bonding between the hard phases and the matrix may be relatively weak. Under cyclic frictional loading, microcracks easily initiate around the hard phases, leading to their detachment. The detached hard particles act as abrasives, exacerbating the plowing effect on the surface (forming plow grooves), while the pits left by the fallen hard phases and the fatigue damage of the matrix together result in the flake-like spalling of the material.
When the power is increased to 1400 W (Figure 8b), the wear morphology changes significantly. The surface plow grooves largely disappear, and the wear mechanism becomes dominated by fatigue wear. This is characterized by dense microcracks and the small spall fragments resulting from them. This transition corresponds to an optimized microstructure: moderate heat input allows the γ-Ni matrix to achieve sufficient solid solution strengthening, the hard phases bond firmly with the matrix, and they are distributed in a continuous eutectic network. This uniform and tough microstructure enables the material to resist abrasive cutting during friction, with the failure mode shifting to progressive fatigue spalling of the matrix under cyclic stress, thereby exhibiting optimal wear resistance.
At a high power of 1800 W (Figure 8c), the worn surface is still primarily dominated by fatigue wear, but the morphology differs, with deeper cracks and relatively large block-like spalling observed. Combined with XRD analysis, it is evident that excessive heat input causes the decomposition of the key strengthening phase Cr7C3, and the γ-Ni grains coarsen significantly. This weakens the overall strength of the coating and its resistance to fatigue crack propagation. Cracks are more likely to initiate and propagate at coarse grain boundaries or softened matrix regions, leading to larger-scale material spalling and, consequently, lower wear resistance compared to the coating under 1400 W conditions.
Once substrate support weakens, the blocky hard phases may also detach. The decision matrix constructed based on the above analysis (integrating key performance indicators such as average hardness, hardness uniformity, average friction coefficient, wear rate, and overall wear resistance ranking) reveals that 1000 W exhibits high hardness but poor uniformity, a high friction coefficient, significant wear, and ranks 3rd in wear resistance. It is only suitable for applications with low toughness requirements and wear conditions dominated by light cutting; 1400 W exhibits low hardness but excellent uniformity, a moderate friction coefficient, extremely low wear volume (approximately 1/5 of 1000 W and 1/3 of 1800 W), and ranks first in wear resistance. It is the preferred choice for most wear-resistant components and is suitable for conditions involving abrasive wear, adhesive wear, and fatigue wear; 1800 W: medium hardness, good uniformity, lowest friction coefficient, moderate wear rate, and second-highest wear resistance.

3.5. Corrosion Resistance Analysis

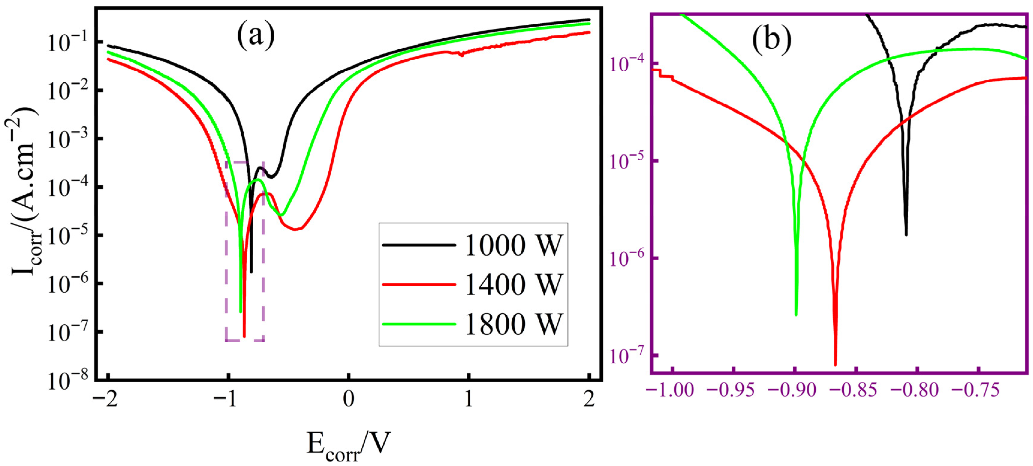
The self-corrosion potential (Ecorr) and self-corrosion current density (Icorr) are key electrochemical parameters for evaluating a material’s corrosion resistance. A higher (more positive) Ecorr indicates that the material is thermodynamically less prone to corrosion, while a lower Icorr signifies a slower corrosion kinetic rate and better corrosion resistance [31]. The electrochemical test results for the Ni25 cladding layer at three power levels (1000 W, 1400 W, 1800 W) are shown in Table 2.
As shown in Figure 9, regarding corrosion susceptibility, as the power increased from 1000 W to 1800 W, Ecorr gradually shifted negatively, indicating that clad layers prepared at higher power exhibit increased thermodynamic susceptibility to corrosion. Regarding corrosion rate, the Icorr of the clad layer at 1400 W power is the lowest, being nearly one order of magnitude lower than those at 1000 W and 1800 W. This key metric clearly indicates that the 1400 W clad layer exhibits the slowest corrosion rate and the most outstanding corrosion resistance. Analyzing the correlation mechanism between corrosion resistance and microstructure reveals that the optimal corrosion resistance at 1400 W power stems primarily from its uniform, continuous “γ-Ni dendrite and eutectic network” microstructure—the uniform γ-Ni solid solution matrix facilitates the formation of a complete, dense, and well-adhered passivation film (e.g., Cr2O3) [32], while simultaneously minimizing microstructural inhomogeneity. This structure reduces the driving force and number of micro-galvanic corrosion cells forming between the γ-Ni matrix (anode) and hard phases (cathode, e.g., borides, carbides). Consequently, the corrosive medium struggles to identify distinct weak points for selective attack, significantly lowering the overall corrosion rate. At 1000 W power, the cladding layer exhibits the poorest corrosion resistance. The highest Icorr stems from its poorest microstructural uniformity, where fine γ-Ni dendrites and numerous dispersed hard phases form a vast array of microscopic galvanic cells. Within the corrosive medium, the γ-Ni matrix rapidly corrodes as the anode, resulting in extremely high corrosion currents; at 1800 W power, the cladding layer’s corrosion resistance falls between the two extremes. While the coarse γ-Ni grains theoretically reduce grain boundary density, benefiting corrosion resistance, the coarse, block-like hard phases at grain boundaries form macroscale galvanic couples with the matrix. These locally strong cathodic phases accelerate corrosion of the surrounding anodic matrix [33]. Simultaneously, decomposition of Cr7C3 may reduce solid solution Cr content, hindering passivation film formation—consistent with the most negative Ecorr at this power level.

4. Conclusions

This study systematically investigated the influence of laser power on the microstructure and properties of Ni25 laser-clad coatings. The main findings are summarized as follows:
1. Laser power critically controls microstructural evolution. Increasing power from 1000 W to 1800 W resulted in a transition from a fine dendritic structure to a uniform “γ-Ni dendrite + eutectic network” and finally to coarse, irregular grains with blocky hard phases at grain boundaries, accompanied by the decomposition of the metastable Cr7C3 phase.
2. A significant performance trade-off was observed. The 1000 W coating achieved the highest hardness (442.52 HV) but suffered from the poorest wear resistance (wear volume: 0.3346 mm3) and corrosion resistance (Icorr: 2.75 × 10−4 A·cm−2) due to microstructural inhomogeneity. Conversely, the 1800 W coating recovered in hardness (415.36 HV) but exhibited intermediate wear and corrosion performance.
3. The 1400 W coating demonstrated an optimal balance. Its uniform microstructure yielded the lowest wear volume (0.0685 mm3), the best corrosion resistance (Icorr: 2.34 × 10−5 A·cm−2), and stable mechanical properties, despite a lower hardness (342.00 HV). This confirms that microstructural uniformity, rather than maximum hardness, is paramount for superior comprehensive service performance.
Thus, 1400 W is identified as the optimal laser power for fabricating Ni25 coatings, providing crucial guidance for applications in wear-corrosion coupled service environments.

Author Contributions

Conceptualization, W.S., G.W. and J.H.; methodology, J.W.; software, X.W.; validation, J.H., X.W. and W.S.; formal analysis, X.W. and J.W.; investigation, X.W. and J.Z.; resources, W.S., G.W. and J.H.; data curation, J.W.; writing—original draft preparation, X.W.; writing—review and editing, X.W., J.H., B.C. and J.Z.; visualization, J.W.; supervision, F.A., B.C. and J.Z.; project administration, W.S.; funding acquisition, J.W. and J.Z. All authors have read and agreed to the published version of the manuscript.

Funding

Guangdong Provincial Key Special Program for Higher Education Institutions (Smart Manufacturing) (No. 2020ZDZX2061), the Zhanjiang Science and Technology Plan Project (No. 2021A05171), the Laser Processing Team Project of Guangdong Ocean University (No. CCTD201823), Zhanjiang Science and Technology Program (No. 2025B01138), Guangdong Ocean University Education Reform Project (No. PX-972025125), Zhanjiang Science and Technology Program (No. 2024B01107), and Ministry of Education Industry-Academia Cooperation and Collaborative Education Project (No. 231104082170913).

Institutional Review Board Statement

Not applicable.

Informed Consent Statement

Not applicable.

Data Availability Statement

Data are contained within the article.

Conflicts of Interest

Authors Jingquan Wu and Xianglin Wu are employed by Guangdong Engineering Technology Research Center of Ocean Equipment and Manufacturing. The remaining authors declare that the research was conducted in the absence of any commercial or financial relationships that could be construed as a potential conflict of interest.

References

  1. Zhao, L.; Yu, H.; Wang, Y.; Zhao, Z.; Song, W.; Chen, C. NiCrBSi Coatings Fabricated on 45 Steel Using Large Spot Laser Cladding. Materials 2022, 15, 6246. [Google Scholar] [CrossRef]
  2. Sun, F.; Li, X.; Zheng, K.; Han, B.; Li, Y.; Zang, Y.; Pang, M. Study on the Influence of Graphene Content Variation on the Microstructure Evolution and Properties of Laser Additive Manufacturing Nickel-Based/SiC Composite Cladding Layer on Aluminum Alloy Surface. Materials 2022, 15, 8219. [Google Scholar] [CrossRef] [PubMed]
  3. Muvvala, G.; Karmakar, D.P.; Nath, A.K. Online monitoring of thermo-cycles and its correlation with microstructure in laser cladding of nickel based super alloy. Opt. Lasers Eng. 2017, 88, 139–152. [Google Scholar] [CrossRef]
  4. Qiao, X.; Xia, T.; Chen, P. Numerical research on effect of overlap ratio on thermal-stress behaviors of the high-speed laser cladding coating. Chin. Phys. B 2021, 30, 632–645. [Google Scholar] [CrossRef]
  5. Yuan, J.; Zhao, X.; Wei, A.; Li, D.; Arif, A.F.M.; Alfano, M. Impact of post-heat treatment on the mechanical and tribological properties of GH4169/V coatings produced by laser cladding. Wear 2025, 571, 205829. [Google Scholar] [CrossRef]
  6. Davoodi, F.; Varmaziar, S.; Atapour, M.; Iuliano, L.; Saboori, A. In vitro corrosion and bio-tribocorrosion performance of electron beam powder bed fusion Ti6Al4V specimens with lapping and superfinishing treatments. Prog. Addit. Manuf. 2025, 10, 9117–9132. [Google Scholar] [CrossRef]
  7. Lin, C.M. Parameter optimization of laser cladding process and resulting microstructure for the repair of tenon on steam turbine blade. Vacuum 2015, 115, 117–123. [Google Scholar] [CrossRef]
  8. Wang, R.; Wu, C.L.; Wang, Z.Z.; Zhang, S.; Zhang, C.H.; Tao, X.P. Effects of laser energy density on the resistance to wear and cavitation erosion of FeCrNiMnAl high entropy alloy coatings by laser cladding. Mater. Chem. Phys. 2025, 329, 130122. [Google Scholar]
  9. Ouis, A.; Taheri, M.; Khalaj, G.; Abbasi, S.M.; Abduvalieva, D.; Al-Hasnaawei, S. Processing of IN625-ZrB2 composite coating by laser cladding through optimization and definition of line energy and powder feeding density parameters. Mater. Today Commun. 2025, 46, 112838. [Google Scholar] [CrossRef]
  10. Fan, D.; Sun, Y.N.; Zhang, J.B.; Sun, M. Laser processed intermetallic matrix composite coatings on Ni-based superalloy substrate. Key Eng. Mater. 2007, 353, 1338–1341. [Google Scholar] [CrossRef]
  11. Lin, Y.C.; Chang, K.Y. Elucidating the microstructure and erosive wear of ceramic powder alloying on AISI 1050 steel. Surf. Coat. Technol. 2012, 207, 493–502. [Google Scholar] [CrossRef]
  12. Przybyłowicz, J.; Kusiński, J. Structure of laser cladded tungsten carbide composite coatings. J. Mater. Process. Technol. 2001, 109, 154–160. [Google Scholar] [CrossRef]
  13. Chai, R.; Zhang, Y.; Zhong, B.; Zhang, C. Effect of scan speed on grain and microstructural morphology for laser additive manufacturing of 304 stainless steel. Rev. Adv. Mater. Sci. 2021, 60, 744–760. [Google Scholar] [CrossRef]
  14. Huang, S.W.; Nolan, D.; Brandt, M. Pre-placed WC/Ni clad layers produced with a pulsed Nd: YAG laser via optical fibres. Surf. Coat. Technol. 2003, 165, 26–34. [Google Scholar] [CrossRef]
  15. Liu, Z.; Yang, Y.; Sun, D.; Han, J.; Ma, S.; Xu, B.; Yuan, M. Influence of high-reactivity energetic materials on microstructure and performance on iron-based cladding layer under low laser power. Mater. Test. 2024, 66, 1409–1424. [Google Scholar] [CrossRef]
  16. Wu, X.; Chen, J.; Huang, J.; Shi, W.; Wang, Q.; An, F.; Wu, J. Laser-Melted Wc/Ni-Based Coating Remelting Study on Q235 Steel Surface. Coatings 2024, 14, 1172. [Google Scholar] [CrossRef]
  17. Zhang, J.; Wang, G.; Wu, J.; Huang, J.; Shi, W.; An, F.; Wu, X. Study on Secondary Remelting Modification of Laser Cladding Ni60/C Composite Coatings. Lubricants 2025, 13, 222. [Google Scholar] [CrossRef]
  18. Moreau, E.D.; Corbin, S.F. The Role of Base Metal Chromium in Determining the TLPB Behavior of Ni-Based Alloys Using a Boron-Containing Braze. Metall. Mater. Trans. A 2020, 51, 3906–3919. [Google Scholar] [CrossRef]
  19. Yuan, Q.; Feng, X.; Cao, J.; Su, Z. Research on microstructure of Ni-based alloy coating by laser cladding. Zhongguo Jiguang Chin. J. Lasers 2010, 37, 2116–2120. [Google Scholar]
  20. Huang, M.; Ma, Y.; Wu, Y.; Zheng, W.; Pavel, M.J.; Weaver, M.L.; Vogel, F. Effect of γ forming element additions on the homogenization behavior and formation of hierarchical microstructures in Ni-based superalloys. J. Alloys Compd. 2024, 975, 172929. [Google Scholar] [CrossRef]
  21. Peng, P.; Lu, L.; Liu, Z.; Xu, Y.; Zhang, X.; Ma, Z.; Liu, L. Investigation on influence of Ta on microstructure evolution of directionally solidified Ni-based superalloys. J. Alloys Compd. 2022, 927, 167009. [Google Scholar] [CrossRef]
  22. Ratov, B.T.; Mechnik, V.A.; Kolodnitsky, V.M.; Kuttybayev, A.; Muzapparova, A. Drilling inserts of the WC-Co-CrB2 system with increased mechanical properties. Int. Multidiscip. Sci. GeoConf. SGEM 2021, 21, 617–625. [Google Scholar]
  23. Yang, L.; Wei, C.; Jiang, F.; Liang, D.; Yan, K.; Cheng, Z.; Ren, F. Significant reduction in friction and wear of an ultrafine-grained single-phase FeCoNi alloy through the formation of nanolaminated structure. Acta Mater. 2024, 263, 119526. [Google Scholar] [CrossRef]
  24. Zhu, Z.; Xu, Y.; Zhang, H.; Yi, B.; Luo, D.; Zhu, S.; Zheng, M. Atomic-scale study of the effect of γ/γ′-phase and interface on workpiece wear mechanism during reciprocating friction of nickel-based single crystal alloys. Tribol. Int. 2024, 192, 109225. [Google Scholar] [CrossRef]
  25. Chen, N.; Xiao, H.; Ren, L.; Huang, F.; Chen, Y.; Cao, S.; Zhu, L. Microstructure and tribological properties of laser-cladded TiCx/TiAl composite coatings on TC4 alloy. Tribol. Int. 2024, 192, 109236. [Google Scholar] [CrossRef]
  26. Qi, X.; Li, Y.; Cui, W.; Du, J.; Zhao, Y.; Li, F. Improving the wear and corrosion properties of laser cladded Ni-based composite coatings via regulating in-situ TiB2-TiC. Ceram. Int. 2025, 51, 9442–9454. [Google Scholar] [CrossRef]
  27. Meng, L.; Zhu, B.; Liu, X.; Zeng, X. Comparison on the Ni60 coatings deposited by extreme-high-speed and conventional laser-induction hybrid cladding technologies: Forming features, microstructure and wear behaviors. Metall. Mater. Trans. A 2023, 54, 3118–3133. [Google Scholar] [CrossRef]
  28. Xu, Y.; Wang, H. Microstructure and room-temperature dry sliding wear behavior of Mo2Ni3Si/γ dual-phase alloy. Jinshu Xuebao/Acta Metall. Sin. 2006, 42, 722–726. [Google Scholar]
  29. Hu, Z.; Li, Y.; Lu, B.; Tan, N.; Cai, L.; Yong, Q. Effect of WC content on microstructure and properties of high-speed laser cladding Ni-based coating. Opt. Laser Technol. 2022, 155, 108449. [Google Scholar] [CrossRef]
  30. Wan, M.Q.; Shi, J.; Lei, L.; Cui, Z.Y.; Wang, H.L.; Wang, X. A comparative study of the microstructure, mechanical properties and corrosion resistance of Ni-or Fe-based composite coatings by laser cladding. J. Mater. Eng. Perform. 2018, 27, 2844–2854. [Google Scholar] [CrossRef]
  31. Wu, J.; Zhang, J.; Chen, D.; Huang, J.; Shi, W.; An, F.; Wu, X. Study on the Effect of CeO2 on the Performance of WC + Ni60 Laser Cladding Coating. Lubricants 2025, 13, 24. [Google Scholar] [CrossRef]
  32. Lei, X.; Dong, X.; Hao, L.; Wang, J.; Macdonald, D.D.; Wang, N. Investigation of the ordered and disordered corrosion morphologies on Ni-based alloy in the passive state. Corros. Sci. 2023, 224, 111490. [Google Scholar] [CrossRef]
  33. Jiang, H.; Liu, L.; Zhang, J.; Chen, X.; Li, Z.; Wang, D.; Huang, G. Corrosion mechanism of WE43 Mg Alloy via stationary shoulder friction stir processing-induced fine-grained supersaturated solid solution with synergistic aging. J. Alloys Compd. 2025, 1045, 184651. [Google Scholar] [CrossRef]
Figure 1. Ni25 powder. (a) Morphology of Ni25 powder; (b) Particle size distribution of Ni25 powder.
Figure 1. Ni25 powder. (a) Morphology of Ni25 powder; (b) Particle size distribution of Ni25 powder.
Lubricants 13 00549 g001
Figure 2. Macroscopic views of laser cladding layers at different power levels. (a) Cladding layer at 1000 W; (b) Cladding layer at 1400 W; (c) Cladding layer at 1800 W.
Figure 2. Macroscopic views of laser cladding layers at different power levels. (a) Cladding layer at 1000 W; (b) Cladding layer at 1400 W; (c) Cladding layer at 1800 W.
Lubricants 13 00549 g002
Figure 3. Phase composition analysis of Ni25 cladding layers prepared under different laser power conditions. (a) XRD pattern of the cladding layer; (b) Zoomed-in view.
Figure 3. Phase composition analysis of Ni25 cladding layers prepared under different laser power conditions. (a) XRD pattern of the cladding layer; (b) Zoomed-in view.
Lubricants 13 00549 g003
Figure 4. Cross-sectional SEM images of clad layers at 1500× magnification under different laser power conditions. (a) 1000 W; (b) Cross-section of clad layer at 1400 W; (c) Cross-section of clad layer at 1800 W; (d) Grain size distribution at 1000 W; (e) Grain size distribution at 1400 W; (f). Grain size distribution at 1800 W.
Figure 4. Cross-sectional SEM images of clad layers at 1500× magnification under different laser power conditions. (a) 1000 W; (b) Cross-section of clad layer at 1400 W; (c) Cross-section of clad layer at 1800 W; (d) Grain size distribution at 1000 W; (e) Grain size distribution at 1400 W; (f). Grain size distribution at 1800 W.
Lubricants 13 00549 g004
Figure 5. Hardness of Clad Layer under Different Laser Power Conditions. (a) Cross-sectional hardness distribution; (b) Average hardness of clad layer.
Figure 5. Hardness of Clad Layer under Different Laser Power Conditions. (a) Cross-sectional hardness distribution; (b) Average hardness of clad layer.
Lubricants 13 00549 g005
Figure 6. Friction coefficient of the cladding layer at different laser powers. (a) friction coefficient-time curve; (b) average friction coefficient and standard deviation.
Figure 6. Friction coefficient of the cladding layer at different laser powers. (a) friction coefficient-time curve; (b) average friction coefficient and standard deviation.
Lubricants 13 00549 g006
Figure 7. Wear resistance of clad layer under different laser power conditions. (a) Contour of clad layer after wear (b) Wear amount of clad layer.
Figure 7. Wear resistance of clad layer under different laser power conditions. (a) Contour of clad layer after wear (b) Wear amount of clad layer.
Lubricants 13 00549 g007
Figure 8. SEM images of wear surfaces of the cladding layer at different laser powers: (a) 1000 W; (b) 1400 W; (c) 1800 W.
Figure 8. SEM images of wear surfaces of the cladding layer at different laser powers: (a) 1000 W; (b) 1400 W; (c) 1800 W.
Lubricants 13 00549 g008
Figure 9. Polarization curves of cladding layers under different laser power conditions. (a) Polarization curve; (b) Localized enlargement of the polarization curve.
Figure 9. Polarization curves of cladding layers under different laser power conditions. (a) Polarization curve; (b) Localized enlargement of the polarization curve.
Lubricants 13 00549 g009
Table 1. Chemical composition of Ni 25 Powder (mass fraction, %).
Table 1. Chemical composition of Ni 25 Powder (mass fraction, %).
ElementCCrBMnSiFePSNi
Ni250.15.0–8.01.0–2.0-2.3–3.55.0–8.0--Bal
Q2350.22--0.3–0.70.35Bal0.0450.05-
Table 2. Corrosion data of cladding layers in 3.5% NaCl solution under different laser power conditions.
Table 2. Corrosion data of cladding layers in 3.5% NaCl solution under different laser power conditions.
Sample1000 W1400 W1800 W
Ecorr/V−0.81−0.87−0.89
Icorr/(A·cm−2)2.75 × 10−42.34 × 10−59.57 × 10−5
Corrosion rate (mm/a)3.290.281.15
Disclaimer/Publisher’s Note: The statements, opinions and data contained in all publications are solely those of the individual author(s) and contributor(s) and not of MDPI and/or the editor(s). MDPI and/or the editor(s) disclaim responsibility for any injury to people or property resulting from any ideas, methods, instructions or products referred to in the content.

Share and Cite

MDPI and ACS Style

Wu, J.; Zhang, J.; Chen, B.; Wang, G.; Huang, J.; Shi, W.; An, F.; Wu, X. Effect of Laser Power on the Microstructure and Wear and Corrosion Resistance of Ni25 Alloy Coatings. Lubricants 2025, 13, 549. https://doi.org/10.3390/lubricants13120549

AMA Style

Wu J, Zhang J, Chen B, Wang G, Huang J, Shi W, An F, Wu X. Effect of Laser Power on the Microstructure and Wear and Corrosion Resistance of Ni25 Alloy Coatings. Lubricants. 2025; 13(12):549. https://doi.org/10.3390/lubricants13120549

Chicago/Turabian Style

Wu, Jingquan, Jianwen Zhang, Bohao Chen, Gui Wang, Jiang Huang, Wenqing Shi, Fenju An, and Xianglin Wu. 2025. "Effect of Laser Power on the Microstructure and Wear and Corrosion Resistance of Ni25 Alloy Coatings" Lubricants 13, no. 12: 549. https://doi.org/10.3390/lubricants13120549

APA Style

Wu, J., Zhang, J., Chen, B., Wang, G., Huang, J., Shi, W., An, F., & Wu, X. (2025). Effect of Laser Power on the Microstructure and Wear and Corrosion Resistance of Ni25 Alloy Coatings. Lubricants, 13(12), 549. https://doi.org/10.3390/lubricants13120549

Note that from the first issue of 2016, this journal uses article numbers instead of page numbers. See further details here.

Article Metrics

Back to TopTop