Effect of Scanning Speed on the Microstructure and Properties of Co-Cu-Ti Coatings by Laser Cladding
Abstract
1. Introduction
2. Materials and Methods
2.1. The Preparation of Coatings
2.2. Characterization
3. Results and Discussion
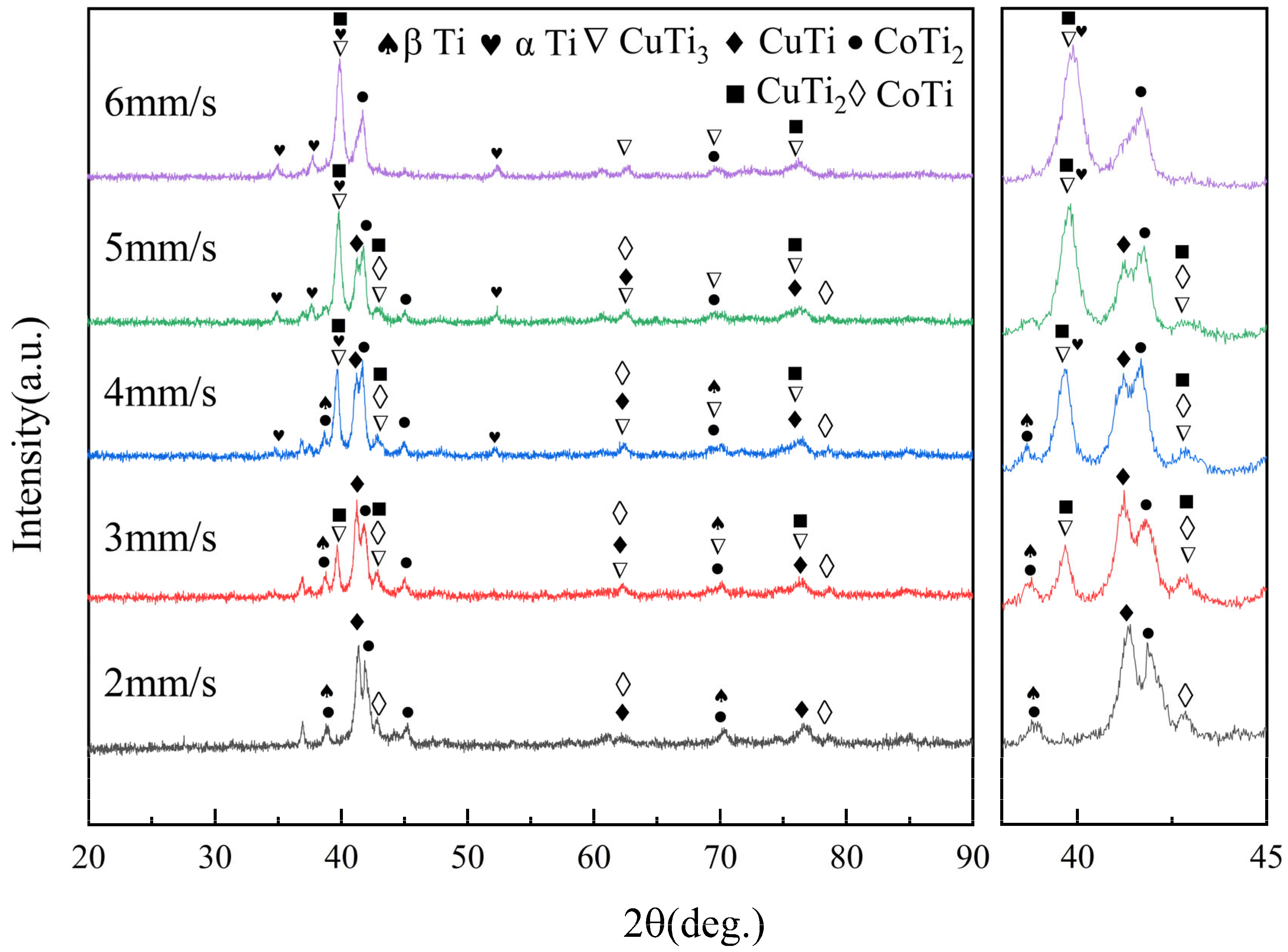
3.1. Microstructure and XRD Analysis
3.2. Microhardness
3.3. Wear Properties
3.4. Wear Mechanism
4. Conclusions
- (1)
- We used an orthogonal test combined with the CRITIC-TOPSIS method to systematically identify the best process parameters at laser power of 600 W, scanning speed of 3 m/s and powder feed rate of 25 g/min. The results demonstrated that scanning speed plays the most important role in overall process performance, accounting for 47.7% of the total influence. An excellent metallurgical bond between the coating and substrate was achieved.
- (2)
- The composition of the coating is dominated by Co-Ti and Cu-Ti phases. Variations in scanning speed lead to the disappearance of the β-Ti phase and the formation of the α-Ti phase, accompanied by changes in the CuTi2 and CuTi3 phases. Additionally, an increase in scanning speed results in grain size refinement within the coating. In particular, the coatings prepared at scanning speeds of 3 and 4 mm/s shows homogeneous block-like arrangement within the Co-Ti and Cu-Ti phases, while that prepared with other scanning speeds reveals a network-like eutectic morphology, owing to the variation in cooling rates.
- (3)
- The coatings, in contrast to the substrate, exhibited significantly increased microhardness and wear resistance due to the reinforcing effect of the Co-Ti phase and the lubricating effects provided by the Cu-Ti phase. With the increase in scanning speed, the microhardness of the coating shows a trend of first rising and then decreasing, and the wear resistance also shows a change pattern of first strengthening and then weakening. The coating obtained at a scanning speed of 3 mm/s exhibited the most favorable microhardness and wear resistance, which is attributed to an optimal balance of synergistic effects.
Author Contributions
Funding
Data Availability Statement
Conflicts of Interest
References
- Chu, M.; Xiao, H.; Ren, L.; Mo, T.; Lin, B. Microstructure and Properties of Ti–Al–C Composite Coatings Prepared by Laser Cladding. Ceram. Int. 2024, 50, 12498–12509. [Google Scholar] [CrossRef]
- Chen, K.; Chen, B.; Zhang, S.; Wang, M.; Zhang, L.; Shan, A. Friction Spot Welding between Porous TC4 Titanium Alloy and Ultra High Molecular Weight Polyethylene. Mater. Des. 2017, 132, 178–187. [Google Scholar] [CrossRef]
- Saurabh, A.; Meghana, C.M.; Singh, P.K.; Verma, P.C. Titanium-Based Materials: Synthesis, Properties, and Applications. Mater. Today 2022, 56, 412–419. [Google Scholar] [CrossRef]
- Liu, D.; He, D.; Li, H.; Li, N.; Ma, L.; Li, H.; Xu, Y.; Yu, J. Multi-Ceramic Phases Synergistically Reinforced Titanium Matrix Composite Coating Deposited by Laser Cladding: Effect of B4C Content on the Microstructure and Wear Properties. Surf. Coat. Technol. 2025, 496, 131648. [Google Scholar] [CrossRef]
- Nair, A.M.; Kumar, R.; Maurya, S.S.; Gaur, A.; Keshri, A.K.; Sharma, S. Plasma Sprayed Titanium- Nanodiamond Composite Coatings with Enhanced Mechanical Properties. Mater. Today Commun. 2024, 41, 110238. [Google Scholar] [CrossRef]
- Koshuro, V.; Fomina, M.; Zakharevich, A.; Fomin, A. Superhard Ta–O–N Coatings Produced on Titanium Using Induction Physical Vapor Deposition. Ceram. Int. 2022, 48, 19467–19483. [Google Scholar] [CrossRef]
- Zhao, M.; Ma, Y.; Zhang, Y.; Liu, X.; Sun, H.; Liang, R.; Yin, H.; Wang, D. An Efficient Salt-Thermo-Carburizing Method to Prepare Titanium Carbide Coating. Surf. Coat. Technol. 2023, 465, 129546. [Google Scholar] [CrossRef]
- Gan, R.; Liu, Z.; Kong, Y.; Chang, Y.; Shen, Y.; Li, J.; Ning, H. Preparation and Properties of Cu/Cu-Sn Alloy Cladding Layers on Titanium Alloy by Laser Cladding. J. Alloys Compd. 2025, 1020, 179547. [Google Scholar] [CrossRef]
- Zhang, Y.; Liu, Z.; Yang, C.; Wang, X.; Sun, M.; Chen, S.; Xu, G. Microstructure and Wear Behavior of Laser-Cladded WC Matrix Composite Coatings with Different TiC/Ni Contents on Titanium Alloys. Ceram. Int. 2025, 51, 27229–27242. [Google Scholar] [CrossRef]
- Ding, H.; Zhang, Z.; Cao, Y.; Wu, H.; Hua, K.; Wang, H. Effect of Laser Remelting on Microstructure Evolution and High-Temperature Fretting Wear Resistance in a Laser-Cladding Self-Lubricating Composite Coating on Titanium Alloy Substrate. Surf. Coat. Technol. 2024, 494, 131435. [Google Scholar] [CrossRef]
- Xiang, D.; Liu, Y.; Yu, T.; Wang, D.; Leng, X.; Wang, K.; Liu, L.; Pan, J.; Yao, S.; Chen, Z. Review on Wear Resistance of Laser Cladding High-Entropy Alloy Coatings. J. Mater. Res. Technol. 2024, 28, 911–934. [Google Scholar] [CrossRef]
- Chen, H.; Yu, D.T.; Mao, J.T.; Wu, C.L.; Zhang, S.; Zhang, C.H.; Wang, Q.; Zhang, D. Microstructure and Tribo-Corrosion Behavior of TC4 Composites Reinforced by in Situ Synthesized TiC Ceramics Particles through Laser Cladding. Ceram. Int. 2025, 51, 31719–31733. [Google Scholar] [CrossRef]
- Ren, Z.Y.; Hu, Y.L.; Tong, Y.; Cai, Z.H.; Liu, J.; Wang, H.D.; Liao, J.Z.; Xu, S.; Li, L.K. Wear-Resistant NbMoTaWTi High Entropy Alloy Coating Prepared by Laser Cladding on TC4 Titanium Alloy. Tribol. Int. 2023, 182, 108366. [Google Scholar] [CrossRef]
- Fu, S.; Xu, Y.; Zhu, L.; Lu, H.; Li, W. Enhanced In-Situ Reinforcement Evolution and Superior Wear Resistance by Changing Y2O3 Addition in Ti6Al4V-Based WC Gradient Coatings through Laser Cladding. Tribol. Int. 2025, 205, 110524. [Google Scholar] [CrossRef]
- Zhou, L.; Ma, G.; Zhao, H.; Mou, H.; Xu, J.; Wang, W.; Xing, Z.; Li, Y.; Guo, W.; Wang, H. Research Status and Prospect of Extreme High-Speed Laser Cladding Technology. Opt. Laser Technol. 2024, 168, 109800. [Google Scholar] [CrossRef]
- Ren, P.; Ouyang, Y.; Mu, J.; Luo, S.; Tang, Z.; Wu, Y.; Leung, C.L.A.; Oliveira, J.P.; Zou, Y.; Wang, H.; et al. Metal Powder Atomization Preparation, Modification, and Reuse for Additive Manufacturing: A Review. Prog. Mater. Sci. 2025, 152, 101449. [Google Scholar] [CrossRef]
- Liu, Y.; Ding, Y.; Yang, L.; Sun, R.; Zhang, T.; Yang, X. Research and Progress of Laser Cladding on Engineering Alloys: A Review. J. Manuf. Process. 2021, 66, 341–363. [Google Scholar] [CrossRef]
- Lu, S.; Wang, L.; Zhou, J.; Liang, J. Microstructure and Tribological Properties of Laser-Cladded Co-Ti3SiC2 Coating with Ni-Based Interlayer on Copper Alloy. Tribol. Int. 2022, 171, 107549. [Google Scholar] [CrossRef]
- Li, X.; Peng, J.; Wang, F.; Liu, Z.; Feng, X. Effect of Electrically Assisted Preheating on Microstructure and Properties of Laser-Cladded Co-Based Coating on CP-Ti Alloy Substrate. Coatings 2023, 13, 1379. [Google Scholar] [CrossRef]
- Chang, W.; Xiao, G.; Zhang, H.; Chen, H.; Yi, M.; Zhang, J.; Chen, Z.; Xu, C. Microstructure and Properties of Graphene Reinforced Co-Based Composite Coating by Laser Cladding. Surf. Coat. Technol. 2023, 453, 129139. [Google Scholar] [CrossRef]
- Dong, Q.; Zheng, S.; An, Y.; Pu, J. Effect of Copper Addition on the Microstructure, Wear Resistance, Anti-Corrosion and Antibacterial Behavior of Laser Cladding CoCrW Coatings in Marine Environment. Surf. Coat. Technol. 2025, 502, 131966. [Google Scholar] [CrossRef]
- Zhang, T.; Yan, X.; Zhen, H.; Zhang, Q.; Zhang, Z. Influence of Cu Addition on the Microstructure and Tribological Properties of Ti-Based Laser Cladded Composite Coatings on TC4. Mater. Today Commun. 2024, 40, 110220. [Google Scholar] [CrossRef]
- Zhuang, D.-D.; Yao, W.-S.; Tao, W.-W.; Lian, X.-L.; Zhang, L.-S.; Li, X.-B. The Microstructure and Properties of Ti-Enhanced AlCoCrFeNiTix Coatings Prepared by Laser Cladding. Appl. Surf. Sci. 2025, 698, 163085. [Google Scholar] [CrossRef]
- Gong, Z.; Wen, D.; Kong, B.; Qiao, Y.; Xiao, Z.; Wang, Y.; Ding, Y.; Lv, Q.; Zhang, M.; Sun, Y.; et al. Microstructure and Fretting Wear Properties of Ti-Al Coatings Fabricated by Laser Cladding on a Ti-6Al-4V Alloy. Opt. Laser. Technol. 2025, 189, 113066. [Google Scholar] [CrossRef]
- Kumar, V.; Kumar, R.; Kumar Das, A. Comprehensive Study of Process Parameters and Their Effect on Tribological Properties of Laser Cladded Ti6Al4V Alloy: A Review. Mater. Today 2024, 98, 91–96. [Google Scholar] [CrossRef]
- Yue, H.; Lv, N.; Guo, C.; Zhai, J.; Dai, W.; Zhang, J.; Zhao, G. Multi-Objective Process Optimization of Laser Cladding Co-Based Alloy by Process Window and Grey Relational Analysis. Coatings 2023, 13, 1090. [Google Scholar] [CrossRef]
- Nezhad, M.N.; Aboutalebi, M.R.; Seyedein, S.H.; Barekat, M. Multi-Criteria Optimization of Processing Parameters in Laser Cladding of Al0.5CoCrFeNiNb0.5-Si0.1 High Entropy Alloy Coating. J. Mater. Res. Technol. 2025, 35, 6519–6536. [Google Scholar] [CrossRef]
- Singha, B.; Kamble, D.L.; Kumar Sahu, R.; Narendranath, S.; Badiger, R.I. Optimization of Measured Mechanical Characteristics of Selective Microwave Hybrid Heating Processed Inconel 625/ SS 304 Weldments Using Multi-Objective JAYA Algorithm Coupled with Multi-Attributes Decision Making R-Method. Measurement 2025, 240, 115553. [Google Scholar] [CrossRef]
- Zeng, Q.; Wang, K.; Lu, S.; Lu, C.; Li, X. Modeling and Optimization of Energy Consumption, Surface Quality and Relative Density in GH3625 Superalloy by Laser Powder Bed Melting via RSM MOPSO and CRITIC-TOPSIS. Opt. Laser Technol. 2025, 184, 112411. [Google Scholar] [CrossRef]
- Yang, Y.; Cao, S.; Zhang, S.; Xu, C.; Qin, G. Microstructure and Wear Resistance of Ti–Cu–N Composite Coating Prepared via Laser Cladding/Laser Nitriding Technology on Ti–6Al–4V Alloy. Appl. Phys. A 2017, 123, 474. [Google Scholar] [CrossRef]
- Adesina, O.S.; Popoola, A.P.; Farotade, G.A.; Obadele, B.A.; Sanyaolu, O.O.; Jeje, S.O.; Rominiyi, A.L. Effect of SiC Addition on Laser-Based CoNi Binary Alloy Coatings on Ti-6Al-4V Alloy. Emergent. Mater. 2024, 7, 2117–2128. [Google Scholar] [CrossRef]
- Kanyane, L.R.; Adesina, O.S.; Popoola, A.P.I.; Farotade, G.A.; Malatji, N. Microstructural Evolution and Corrosion Properties of Laser Clad Ti-Ni on Titanium Alloy (Ti6Al4V). Procedia Manuf. 2019, 35, 1267–1272. [Google Scholar] [CrossRef]
- Tian, X.; Cao, S.; Hou, K.; Hou, X.; Wang, H.; Zhang, Y. Preparation of Laser Cladding Coating Undercooling Cu-Based Alloy and Co on Non-Equilibrium Solidification Structure. J. Wuhan Univ. Technol.-Mat. Sci. Edit. 2024, 39, 463–472. [Google Scholar] [CrossRef]
- Qiao, Y.; Huang, J.; Huang, D.; Chen, J.; Liu, W.; Wang, Z.; Zhibin, Z. Effects of Laser Scanning Speed on Microstructure, Microhardness, and Corrosion Behavior of Laser Cladding Ni45 Coatings. J. Chem. 2020, 2020, 1438473. [Google Scholar] [CrossRef]
- Weng, F.; Yu, H.; Chen, C.; Dai, J. Microstructures and Wear Properties of Laser Cladding Co-Based Composite Coatings on Ti–6Al–4V. Mater. Des. 2015, 80, 174–181. [Google Scholar] [CrossRef]
- Szajewski, B.A.; Crone, J.C.; Knap, J. Analytic Model for the Orowan Dislocation-Precipitate Bypass Mechanism. Materialia 2020, 11, 100671. [Google Scholar] [CrossRef]
- Aissat, S.; Zaid, M.; Sadeddine, A. Correlation between Hardness and Abrasive Wear of Grinding Balls. Metall. Res. Technol. 2020, 117, 608. [Google Scholar] [CrossRef]
- Burkov, A.; Dvornik, M.; Kulik, M.; Bytsura, A. Wear Resistance and Corrosion Behavior of Cu-Ti Coatings in SBF Solution. Obrab. Met. 2024, 26, 234–249. [Google Scholar] [CrossRef]
- Günen, A.; Bölükbaşı, Ö.S.; Özgürlük, Y.; Özkan, D.; Odabaş, O.; Somunkıran, İ. Effect of Cr Addition on Properties and Tribological Behavior at Elevated Temperature of Boride Layers Grown on Borosintered Powder Metallurgy Alloys. Met. Mater. Int. 2022, 29, 748–766. [Google Scholar] [CrossRef]
- Ouyang, C.; Wang, R.; Zhao, C.; Wei, R.; Li, H.; Deng, R.; Bai, Q.; Liu, Y. Multi-Layer Laser Cladding Analysis and High-Temperature Oxidative Wear Behavior of Cast Iron with a Low Expansion Coefficient. Surf. Coat. Technol. 2023, 474, 130079. [Google Scholar] [CrossRef]
- De Sousa, J.M.S.; Ratusznei, F.; Pereira, M.; De Medeiros Castro, R.; Curi, E.I.M. Abrasion Resistance of Ni-Cr-B-Si Coating Deposited by Laser Cladding Process. Tribol. Int. 2020, 143, 106002. [Google Scholar] [CrossRef]
- Chen, N.; Xiao, H.; Ren, L.; Huang, F.; Chen, Y.; Cao, S.; Wu, H.; Zhu, L. Microstructure and Tribological Properties of Laser-Cladded TiC /TiAl Composite Coatings on TC4 Alloy. Tribol. Int. 2024, 192, 109236. [Google Scholar] [CrossRef]
- Zhao, S.; Meng, F.; Fan, B.; Dong, Y.; Wang, J.; Qi, X. Evaluation of Wear Mechanism between TC4 Titanium Alloys and Self-Lubricating Fabrics. Wear 2023, 512–513, 204532. [Google Scholar] [CrossRef]
- Deng, C.; Wang, C.; Chai, L.; Wang, T.; Luo, J. Mechanical and Chemical Properties of CoCrFeNiMo0.2 High Entropy Alloy Coating Fabricated on Ti6Al4V by Laser Cladding. Intermetallics 2022, 144, 107504. [Google Scholar] [CrossRef]
- Wang, H.; Wu, M.; Miao, X.; Jin, X.; Cui, C. TiC In-Situ Strengthening Mechanism and Crack Initiation Mechanism of SiC/TC4 Composite Coatings by Laser Cladding. Ceram. Int. 2024, 50, 52558–52571. [Google Scholar] [CrossRef]
- Meng, X.; Cui, Z.; Huang, L.; Xia, C.; Lei, Q. Effects of Loads and Speeds on Friction and Wear Properties of Cu–Ti Alloys Processed by Combination Aging Treatments. J. Mater. Res. Technol. 2023, 26, 948–960. [Google Scholar] [CrossRef]
- Guo, C.; Zhou, J.; Yu, Y.; Wang, L.; Zhou, H.; Chen, J. Microstructure and Tribological Properties of Ti–Cu Intermetallic Compound Coating. Mater. Des. (1980–2015) 2012, 36, 482–489. [Google Scholar] [CrossRef]










| Element | Al | V | Fe | C | N | H | O | Ti |
|---|---|---|---|---|---|---|---|---|
| Ti-6Al-4V | 5.5–6.75 | 3.5–4.5 | ≤0.3 | ≤0.08 | ≤0.05 | ≤0.015 | ≤0.02 | bal |
| Number | A Laser Power (W) | B Scanning Speed (mm/s) | C Powder Feed Rate (g/min) |
|---|---|---|---|
| 1 | 500 (A1) | 2 (B1) | 25 (C1) |
| 2 | 500 (A1) | 3 (B2) | 35 (C3) |
| 3 | 500 (A1) | 4 (B3) | 30 (C2) |
| 4 | 600 (A2) | 2 (B2) | 35 (C3) |
| 5 | 600 (A2) | 3 (B3) | 30 (C2) |
| 6 | 600 (A2) | 4 (B1) | 25 (C1) |
| 7 | 700 (A3) | 2 (B3) | 30 (C2) |
| 8 | 700 (A3) | 3 (B1) | 25 (C1) |
| 9 | 700 (A3) | 4 (B2) | 35 (C3) |
| Number | Standard Deviation | Correlation Coefficient | Information Content | Weights |
|---|---|---|---|---|
| Microhardness | 0.348 | 0.787 | 0.274 | 54.58% |
| Dilution ratio | 0.290 | 0.787 | 0.228 | 45.42% |
| Tested Point | Composition | Tested Point | Composition | ||||||||
|---|---|---|---|---|---|---|---|---|---|---|---|
| Ti | Al | Co | Cu | V | Ti | Al | Co | Cu | V | ||
| P1 | 95.90 | 2.65 | 0.56 | 0.43 | 0.46 | P9 | 61.13 | 1.65 | 17.46 | 19.51 | 0.25 |
| P2 | 60.04 | 5.65 | 12.17 | 20.98 | 1.17 | P10 | 52.78 | 2.33 | 22.74 | 21.78 | 0.37 |
| P3 | 71.27 | 8.39 | 6.15 | 11.75 | 2.45 | P11 | 96.43 | 0.39 | 1.87 | 1.31 | 0.00 |
| P4 | 97.32 | 0.16 | 1.60 | 0.92 | 0.00 | P12 | 70.22 | 5.86 | 6.62 | 15.55 | 1.75 |
| P5 | 52.85 | 0.56 | 19.60 | 26.99 | 0.00 | P13 | 97.45 | 2.03 | 0.14 | 0.38 | 0.00 |
| P6 | 67.07 | 0.36 | 21.17 | 11.41 | 0.00 | P14 | 63.57 | 5.47 | 14.03 | 16.94 | 0.00 |
| P7 | 98.78 | 0.16 | 0.68 | 0.38 | 0.00 | P15 | 77.25 | 8.94 | 6.59 | 7.22 | 0.00 |
| P8 | 51.97 | 1.46 | 20.68 | 25.70 | 0.20 | ||||||
| Sample | Spot | Ti | Al | Co | Cu | V | O |
|---|---|---|---|---|---|---|---|
| TC4 | A | 48.76 | 7.44 | - | - | 1.79 | 42.01 |
| B | 78.10 | 7.04 | - | - | 1.71 | 13.15 | |
| C | 22.04 | 4.92 | - | - | 0.79 | 72.26 | |
| D | 67.31 | 10.00 | - | - | 2.24 | 20.45 | |
| 2 mm/s | E | 48.84 | 0.26 | 25.58 | 20.94 | 0.00 | 4.38 |
| F | 44.35 | 0.13 | 21.02 | 19.44 | 0.00 | 15.06 | |
| G | 26.74 | 0.45 | 5.70 | 6.61 | 0.00 | 60.50 | |
| H | 50.86 | 0.18 | 16.67 | 7.86 | 0.00 | 24.43 | |
| 3 mm/s | I | 46.77 | 1.79 | 17.37 | 22.46 | 0.31 | 11.30 |
| J | 71.52 | 0.20 | 0.41 | 0.32 | 0.00 | 27.56 | |
| 4 mm/s | K | 54.12 | 0.00 | 4.63 | 6.33 | 0.27 | 34.66 |
| L | 54.11 | 5.26 | 10.80 | 16.30 | 1.00 | 12.54 | |
| 5 mm/s | M | 57.77 | 3.98 | 8.84 | 17.96 | 0.75 | 10.70 |
| N | 62.52 | 2.82 | 3.62 | 5.97 | 0.00 | 25.07 | |
| O | 60.28 | 2.13 | 2.98 | 5.20 | 0.48 | 28.94 | |
| 6 mm/s | P | 48.26 | 4.48 | 4.99 | 6.11 | 0.00 | 36.14 |
| Q | 66.29 | 3.35 | 5.01 | 5.69 | 0.00 | 19.66 | |
| R | 57.65 | 5.02 | 13.32 | 13.73 | 0.00 | 10.28 |
Disclaimer/Publisher’s Note: The statements, opinions and data contained in all publications are solely those of the individual author(s) and contributor(s) and not of MDPI and/or the editor(s). MDPI and/or the editor(s) disclaim responsibility for any injury to people or property resulting from any ideas, methods, instructions or products referred to in the content. |
© 2025 by the authors. Licensee MDPI, Basel, Switzerland. This article is an open access article distributed under the terms and conditions of the Creative Commons Attribution (CC BY) license (https://creativecommons.org/licenses/by/4.0/).
Share and Cite
Zhang, B.; Zhang, Y.; Zhang, H.; Hu, G.; Yu, H. Effect of Scanning Speed on the Microstructure and Properties of Co-Cu-Ti Coatings by Laser Cladding. Lubricants 2025, 13, 543. https://doi.org/10.3390/lubricants13120543
Zhang B, Zhang Y, Zhang H, Hu G, Yu H. Effect of Scanning Speed on the Microstructure and Properties of Co-Cu-Ti Coatings by Laser Cladding. Lubricants. 2025; 13(12):543. https://doi.org/10.3390/lubricants13120543
Chicago/Turabian StyleZhang, Binglin, Yang Zhang, Hao Zhang, Guangliang Hu, and Haicheng Yu. 2025. "Effect of Scanning Speed on the Microstructure and Properties of Co-Cu-Ti Coatings by Laser Cladding" Lubricants 13, no. 12: 543. https://doi.org/10.3390/lubricants13120543
APA StyleZhang, B., Zhang, Y., Zhang, H., Hu, G., & Yu, H. (2025). Effect of Scanning Speed on the Microstructure and Properties of Co-Cu-Ti Coatings by Laser Cladding. Lubricants, 13(12), 543. https://doi.org/10.3390/lubricants13120543

