Abstract
Lead-Bismuth Eutectic (LBE) is an interesting candidate as a coolant for Generation IV nuclear power plants. Lead-bismuth lubricated radial guide bearing is the key component of the mechanical pump in a lead-bismuth coolant system. In this paper, the transient calculation model of multiphase lubrication flow field of journal bearing is established by using Singhal full cavitation model and structured dynamic grid technique. Due to the saturated vapors of LBE being very low, the effects of different Non-Condensable Gas (NCG) contents on the characteristics of lead-bismuth lubricated journal bearing systems were analyzed. The results show that the NCG content has an obvious influence on the working state of the bearing. With the increase in NCG content, the bearing load capacity decreases. Under the same load, with the increase in NCG content, the eccentricity of the static equilibrium position will be larger, which will increase the risk of bearing contact with the bearing bush. Moreover, the increase of NCG content will lead to the increase of tangential oil film force work, which is helpful to improve rotor stability.
1. Introduction
Heavy Liquid Metals (HLM) such as lead (Pb) or Lead-Bismuth Eutectic (LBE) were proposed and investigated as coolants for fast reactors due to their low melting temperature, high boiling temperature, outstanding heat transfer performance, chemical stability, and good neutron economy [1,2]. The nuclear Reactor Coolant Pump (RCP) plays one of the most important roles in Lead-Fast Reactor (LFR) coolant system. It is the “heart” driving the circulation flow of the coolant in the primary loop. The most commonly used design of RCP consists of a vertical long-shaft mechanical pump operating with a “free surface” of LBE in the pump casing. A mechanical shaft seal separates a low-pressure inert gas covering the surface of the LBE from the normal atmosphere [3,4]. In the design, the hydraulic components at one end of the shaft are immersed in the high-temperature LBE fluid. Thus, journal bearings operating in high-temperature LBE coolant must be used in pumps of this type with a long shaft.
The journal bearing, as the primary supporting equipment of the pump rotor system, plays a vital role in the operation of the nuclear pump. In the traditional classification, journal bearings are categorized, in terms of the operating principle, as hydrostatic, hydrodynamic, or hybrid bearings [5]. The hydrostatic journal bearings ensure liquid lubrication by means of LBE coolant, supplied on account of the pressure generated by the pump itself. Therefore, the use of this type of bearing has certain requirements for the pump head. In most cases, hydrodynamic journal bearings with a simpler structure were used in LBE pump systems. Traditionally, the operation of a hydrodynamic bearing must satisfy two necessary conditions: complete lubrication of the shaft and bush surfaces by the liquid and considerable lubricant viscosity [6]. These conditions do not hold in bearings that operate in lead or LBE coolant. The viscosity of lead or LBE coolant is small and similar to (or less than) that for water in normal conditions. Due to low viscosity, any calculation according to the conventional methods provides small levels of relative and absolute values of gaps between the shaft and the sleeve. This is not feasible for such a high-temperature LBE system [7]. Moreover, the LBE bearings operate predominantly in the turbulent regime, mainly because of their high density and low viscosity. Last century, from 1959 to 1978, several turbulent lubrication models [8,9,10,11] were developed. They have also been extended to include convective inertia and thermohydrodynamic effects. The turbulence lubrication model could be introduced into the Reynolds equation, which can be used to solve the problem of turbulent lubrication. However, empirical parameters in the model require specialized verification.
With the development of computer technology, the method of analyzing the performance of journal bearings by numerical calculation has gradually occupied the mainstream. At present, scholars mainly solve the static capacity performance and dynamic characteristics of journal bearings by the Reynolds equation method and computational fluid dynamics (CFD) method. However, because the Reynolds equation is a simplification of the Navier-Stokes (N-S) equation, it ignores the influence of the inertia term and oil film curvature [12,13]. Moreover, its application will be limited when the bearing shape and fluid physical property parameters are complicated. With the development of CFD technology and the improvement of computer performance, researchers gradually began to apply the CFD method to directly solve the N-S equation to model and solve the complex actual plain bearing model. Guo et al. [14]. calculated the static and dynamic characteristics of hydrodynamics using the CFX-TASCflow code. The results show good conformity with other commercial bearing software. Chen et al. [15] conducted the steady-state hydrodynamic analysis based on the CFD approach, and the effect of the traditional Reynolds equation ignoring the inertia term and the change of viscosity is discussed. Sun et al. [16] And Takenaka et al. [17] used the CFD method to calculate the dynamic characteristic coefficient of the bearing and directly solved the fluid cavitation caused by the divergent wedge of the bearing clearance through the cavitation model. Li et al. [18,19] developed a CFD-FSI (Fluid-structure interaction) methodology, using FLUENT code, to analyze the transient flow field of a journal bearing in a rotor-bearing system.
At present, studies on water or oil fluid-lubricated hydrodynamic bearings are relatively mutual. In addition, some studies have shown that the influence of lubricant physical properties on bearing-rotor systems is critical. Due to their unique properties, such as good fluidity, radiation resistance, thermal conductivity, etc., liquid metals as lubricants have also been widely studied in recent years. Anatolii et al. [20] discussed the great potential of liquid metals as lubricants. Xu et al. [21] presented the application of liquid metals as lubricants in extreme environments. Based on the lattice boltzmann method (LBM) numerical method, Zhang et al. [22] conducted the optimal design of liquid metal gallium-lubricated herring-groove hydrodynamic bearing and carried out the test verification. In the field of advanced nuclear systems, Xie et al. [23] carried out research on the static and dynamic characteristics of hydro-hybrid lubricated with liquid metal sodium by the CFD method. Huang et al. [24] adopted CFD analysis to reveal the lubrication mechanisms of LBE lubricant. The findings demonstrated that bearing load capacity of hydro-hybrid lubricated with LBE is mostly dependent on static pressure, with some support from dynamic pressure. In general, due to its unique properties, there is currently no recognized or mature lubrication theory for the lubrication performance of liquid metal lubricated bearings.
In addition, the studies reveal that cavitation effects and the consequent limitation of the pressure due to vaporization must be considered when analyzing the performance of a journal bearing as well as investigating the characteristics of the oil film. Cavitation is the disruption of the continuous liquid phase by the presence of a gas, vapor, or both. However, the design pressure of saturated vapors of LBE coolant is about 10−6–10 −10 Pa, which is significantly less than that of sodium or water. Processes of traditional cavitation cannot occur in a flow of LBE coolant because of their specific character [25].
Above all, liquid metal is not a lubricant in the traditional sense, and there is no mature theory or design method to guide the design of liquid metal lubricated bearings. Therefore, to support the development of LFR pumps, it is crucial to research the lubricating capabilities of LBE lubricated bearings. Moreover, the cavitation in LBE is quite different from that in water or sodium. Processes of traditional cavitation cannot occur in the LBE system, as Non-Condensable Gas (NCG) cavitation is dominant. In this research, the effect of NCG on lubrication performance and nonlinear dynamic behaviors of this specially type bearing lubricated by LBE is investigated. Firstly, a fluid-structure method that combined rotor dynamics with computational fluid dynamics based on a self-developed dynamic mesh is developed. Then, the influence of NCG content on the performance of the rotor is analyzed under various operating conditions in Section 3.
2. Method and Model
2.1. Numerical Model and Setup
In this paper, commercial software ANSYS FLUENT 19.0 was used for numerical calculation. In the current study, CFD simulation based on the Reynolds-averaged Navier–Stokes (RANS) equations method is adopted. According to the Taylor criterion, when the fluid film Reynolds number (, where u is the circumferential velocity and c is the median radial clearance of the bearing) exceeds about 1000 to 1500, the flow is said to become turbulent. In this paper, the flow state of LBE lubricated bearings is turbulent; thus, the turbulence model () closure relations for the RANS that govern the transport of the mean flow quantities. When considering the influence of Non-condensable gas on the performance of sliding bearings, the lubrication flow field becomes a mixed-phase flow field of gas and liquid. The methods used to describe the mixed-phase flow field mainly include the homogeneous flow model, segregated flow model, and volume of fluid (VOF) model. Among them, the VOF model focuses more on the flow state of the gas-liquid mixture phase and is widely used in the analysis of lubrication performance. However, this paper places more emphasis on the analysis of dynamic characteristics; therefore, the homogeneous flow model with relatively better convergence is adopted. Under this model, for any control volume dV, the continuity equation and momentum equation can be expressed as:
where represents the density of the mixed phase, while and denote the velocities of the mixed phase and the gas phase, respectively. The general variables include the diffusion coefficient and the generalized source term :
where is the viscosity of mixed phase.
After cavitation, the density of the mixed phase changes with the flow field state:
where is the volume fraction of the gas phase lubricating medium produced by steam cavitation and is calculated by the component transport equation:
where and are evaporation and condensation rates, respectively.
The evaporation and condensation rates of steam space utilization are calculated using the Singal model:
Given that this article primarily focuses on the impact of non-condensable gases (NCG) on the performance of sliding bearings, the NCG gas volume fraction is predetermined. Throughout the rotor motion, the density of NCG gas adheres to the ideal gas state equation [26]:
where is the gas molecular weight of air, is saturated vapor pressure of gas.
In addition, the semi-implicit technique for pressure-linked equations (SIMPLE) algorithm was applied to solve the pressure-velocity coupling (Patankar (1980)) [27]. In addition, to discretize both the diffusion and convection terms appearing in the governing equations, a second-order upwind scheme was used.
2.2. Calculate Model and Boundary Conditions
Figure 1a depicts the bearing bush structure analyzed in this paper. The bearing will be fitted to a centrifugal mechanical LBE pump for testing in an LBE loop. The diameters of the bearing sleeves and journal are 130.24 mm and 130 mm, respectively. This indicates that the bearing has a radius clearance of 120 um. The length of bearing is 195 mm, and the length to diamater is 1.5. The nominal rotational speed is 1200 RPM. In order to ensure that LBE coolant could fully enter the bearing clearance for liquid film lubrication, three helcial grooves with a 120-degree spiral angle are set up on the bearing bush. The design of the spiral groove also facilitates the discharge of impurities from the bearing bush surface. The diameter of the groove is 12 mm.
Figure 1.
Schematic structure and boundary conditions of three spiral groove bearings ((a) bearing bush structure; (b) boundary conditions).
The general sketch of the computational mesh can be found in Figure 2. The ICEM of the Ansys package was used for the mesh generation. The computational mesh consists of 2.45 million hexa elements. In particular, the independence analysis of the clearance mesh is carried out. In this study, the number of mesh layers in the radial direction of the bearing clearance is 9 laryers, and the average mesh aspect ratio in the circumferential direction and axial direction is 1:20.
Figure 2.
Sketch and mesh pattern of the tested bearing.
As for the boundary condition, the bearing bush surfaces are designed as stationary walls, while the shaft is designed as a rotating wall, both of which have no slip wall conditions. The journal rotates its center at an angular velocity ω, where Δe is eccentricity, is attitude angle. Since the whole bearing is submerged under the LBE-free liquid surface, the upper and lower ends of the bearing are set as the pressure-outlet boundary and set a fixed pressure value. The main calculation parameters used in the numerical calculations are shown in Table 1. Constant thermo-physical properties were assumed for LBE at 593K according to OECD-NEA, 2007 [1].
Table 1.
Main calculation parameters of bearing.
2.3. Fluid Structure Interaction Simulation
The journal trajectories are an external representation of the internal lubrication mechanism of the slipping bearing and a comprehensive reflection of the working state of the bearing. The stability of the bearing can be judged by the journal trajectories. This paper focuses on the analysis of the effect of NCG content in LBE lubricant on bearing lubrication characteristics, which is independent of the specific rotor system. Therefore, in this study the rotor adopts the rigid Jeffcott rotor model, and the rotor limit dynamic equation is as follows:
where M is rotor quality, , is non-linear film force acting on the rotor, e is unbalance eccentricity, is the dynamic load amplitude caused by rotor imbalance eccentricity distance.
The calculation process of transient fluid-structure coupling of a rotor-bearing system is shown in Figure 3. Firstly, the three-dimensional transient flow field of LBE bearings is calculated based on the FLUENT environment, and the calculated fluid film pressure is obtained through Equation (8) to obtain the transient fluid film force of LBE bearings and written into the data file. Secondly, by substituting the obtained transient fluid film force and rotor parameters into Equation (7), the acceleration of the center of the journal in the x and y directions at the current time can be obtained, and then the velocity and displacement can be calculated and written into the data file. Finally, FLUENT invokes the above journal position parameters through the custom program (UDF) to complete the dynamic grid update of the bearing basin and the setting of the journal surface rotation speed, and then carries out the calculation of the next time step until the calculation is over.
where R is the radius of the bearing journal and p is the local pressure on the journal surface.
Figure 3.
The transient calculation process of fluid-structure coupling method.
2.4. Validation
In order to verify the accuracy of the unsteady dynamic grid journal bearing model adopted in this paper, the calculation results of the equilibrium position pressure distribution and dynamic characteristics are compared with those calculated in the literature [14,16].
Figure 4 depicts the calculated static pressure distribution at the equilibrium position, where (a) is the result of this calculation and (b) is the result of the literature. It could be seen that the CFD simulation results are very close to the result of the two-phase model conducted by Sun et al. [16]. The percentage differences for the maximum pressure and minimum pressure are less than 2%.
Figure 4.
The static pressure distribution at the equilibrium position ((a) the result of this calculation, (b) the result of single-phase model [16], (c) the result of two-phase model [16]).
The dynamic characteristics of the bearing are calculated by applying small amplitude displacement and velocity perturbations at the equilibrium position based on the mesh updating method [17]. The bearing journal is translated at a speed of 10um/s by UDF, and the bearing load capacity difference before and after disturbance is calculated, and then eight dynamic characteristic coefficients are deduced. It can be seen from the data in Table 2 that there is little difference between the calculation results of the unsteady dynamic grid method in this paper and that of the method in the literature. The possible reasons for the difference were the different pressure boundary in the circumferential direction of the bearing employed. These standard codes employ the Reynolds condition to process the pressure boundary, and the Half-Sommerfeld condition is used in the following simulations by CFX-TASCflow [14]. Moreover, in this paper, the pressure boundary is realized by introducing a cavitation model.
Table 2.
Dynamic characteristic coefficients of bearing.
3. Results and Discussions
The magnitude of the eccentricity between the center of the bearing and the center of the shaft plays a crucial role in the lubrication characteristics of the bearing during its operational process. The variation of bearing load capacity and attitude angle obtained by calculating different NCG contents at various eccentricities is shown in Figure 5. The rotational speed of the journal is 1200 RPM. For most engineering fluids, the content of NCG is approximately –. For liquid metals, such as LBE, there is currently no data on NCG content in the published literature. Therefore, in order to analyze the influence of NCG content in LBE on lubrication performance, four different NCG content parameters were analyzed, namely, , , and .
Figure 5.
Load capacity and attitude angle of different NCG contents at various eccentricities ((a) load-carrying capacity, (b) attitude angle) (1200 RPM).
As depicted in Figure 5, it is evident that the load capacity of the liquid film increases with the augmentation of eccentricity, while the angular displacement decreases. The increase in eccentricity of the journal bearing directly results in the formation of a wedge-shaped fluid film. This wedge effect, caused by the increased eccentric distance, leads to an enhancement of the load capacity. And with the increase of NCG content, the load capacity decreases. Moreover, when the NCG mass fraction increases, the bearing load carrying capacity and attitude angle are less affected by the quality of NCG at eccentricity 0.1~0.3 and eccentricity 0.8~0.9 and more affected by the change of NCG mass fraction at eccentricity 0.4~0.7.
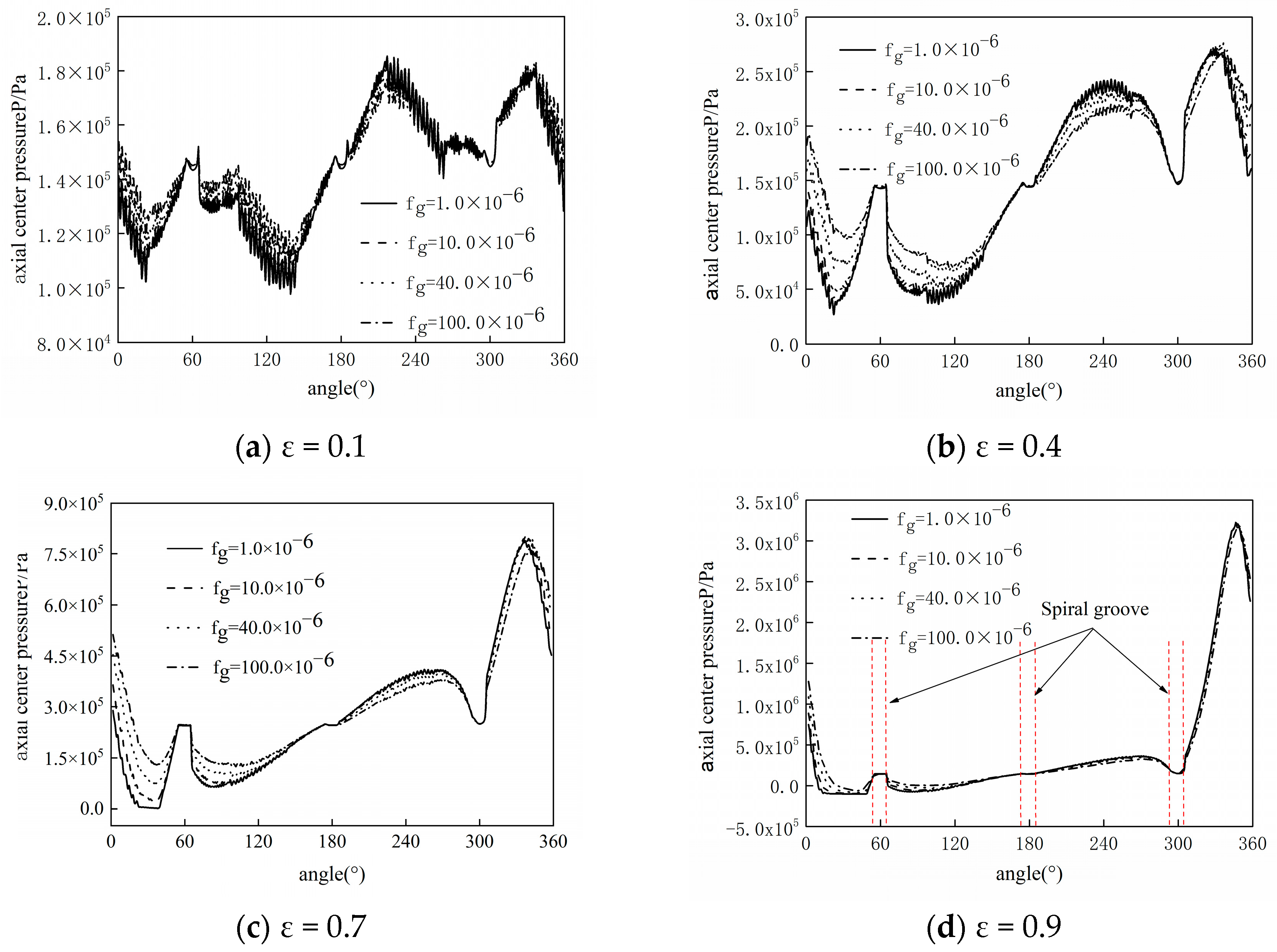
As shown in Figure 6, the pressure distribution under different NCG content is presented when the eccentricities are 0.1, 0.4, 0.7, and 0.9. It could be seen that in the case of small eccentricity (0.1) and large eccentricity (0.9), the pressure distribution of the three different NCG contents is similar, and the maximum pressure and minimum pressure are basically the same. When the eccentricity is 0.4 and 0.7, as shown in Figure 6b,c, there are obvious differences in the pressure distribution under different NCG content. In detail, with the increase of NCG content, the maximum pressure of liquid film in the convergence zone decreases and the minimum pressure in the divergence zone increases. The direct consequence is that with the increase of NCG content, the load capacity decreases significantly between 0.4 and 0.7 eccentricities, as depicted in Figure 5a.

Figure 6.
Pressure distribution with different NCG mass fractions (1200 RPM).
Figure 7 depicts the gas volume fraction distribution under different NCG content under different eccentricities. Due to the convergent and divergent lubricant-film profile caused by the eccentric of the journal, the circumferential gas volume fraction distribution is not uniform. The main performance is that in the convergence region, the pressure gradually increases, causing the gas phase to dissolve into the liquid lubricant, while in the divergence region, the pressure is reduced, resulting in the gas phase escaping from the liquid phase. It should be noted that, due to the very low saturated vapor pressure of LBE, the gas phase is mainly derived from the non-condensing gas dissolved in the LBE medium, rather than the gas phase LBE. In addition, as shown in Figure 7, with the increase of NCG content, the gas phase covering area in the divergence wedge gradually increases, and only the high pressure area has full liquid lubrication medium. This causes the minimum pressure in the divergent wedge region to increase, as depicted in Figure 6 and Figure 8.

Figure 7.
Gas volume fraction distribution with different NCG content (1200 RPM).
Figure 8.
Circumferential pressure distribution at the middle position of the bearing.
Figure 9 shows the trajectory diagram of the rotor from the initial point (0,0) to the static equilibrium position under the 5000N load condition. It can be seen that with the increase of NCG, the static equilibrium position of the rotor gradually decreases and is closer to the X-axis direction. This is consistent with the phenomenon that the attitude angle decreases with the increase of NCG content in Figure 5. At the same time, with the increase of NCG content, the eccentricity also increases under the same load, which also means that the minimal film thickness decreases. Thus, when the rotating shaft is disturbed, it is easy to cause short-term contact and collision between the bearing bush and the journal.
Figure 9.
Static equilibrium position with various NCG content (1200 RPM).
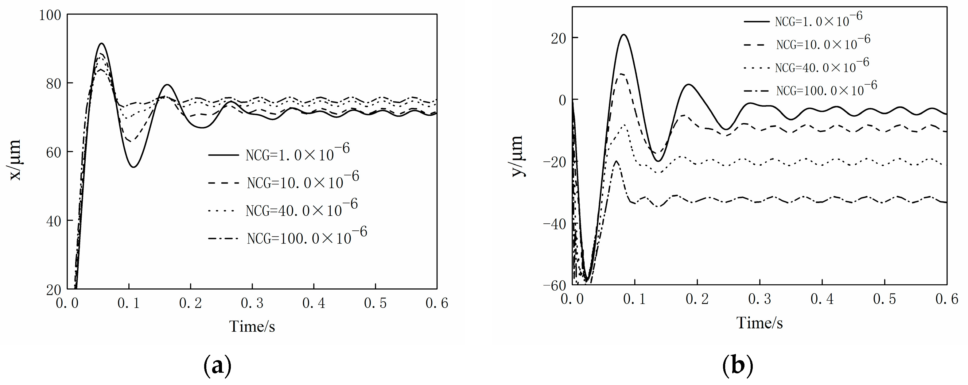
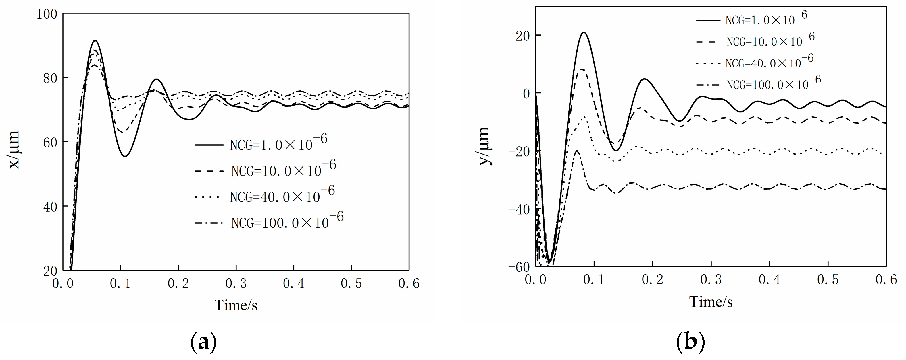
Figure 10 depicts the X and Y displacements during the movement of the bearing journal. It could be seen that with the increase of NCG content, the time for X and Y displacement to enter the stable fluctuation stage is shorter. This means that after receiving a disturbance, the journal will return to its equilibrium position more quickly as the NCG content increases. Figure 11 presents the journal whirling oribits at equilibrium positions. From the static equilibrium position analysis mentioned above, it can be seen that with the increasing NCG content, the static equilibrium position of the journal continues to decrease. In general, the decrease in static equilibrium position will help to increase the stability of the rotor. It can also be seen from Figure 11 that with the increase of NCG, the whirling trajectory at equilibrium position presents a better oval shape. This indicates that the stability of the equilibrium position whirling is increased.
Figure 10.
Static equilibrium position with various NCG content (1200 RPM). (a) X displacement; (b) Y displacement.
Figure 11.
Whirling oribit at equilibrium positions (1200 RPM). (a) ; (b) ; (c) ; (d) .
The influence of NCG on rotor stability can be quantitatively analyzed by the work by tangential oil film force. In general, when the tangential fluid film force is negative, it helps the rotor system to maintain stable whirling motion, while the radial fluid film force acts as an elastic recovery force and provides the fluid film stiffness for the journal. Therefore, the horizontal and vertical oil film forces during the whirling process are decomposed (refer to Li et al. [28], and the tangential fluid film forces and radial fluid film forces are obtained directly. As depicted in Figure 12, the fluid film force can be divided into tangential force along the whirling trajectory and radial force perpendicular to the whirling direction. Thus, the calculation formula of tangential fluid film force and radial fluid film force is as follows:
where and are the displacements of the journal center along the x and y directions in one time step, respectively.
Figure 12.
Transient fluid film force components along whirling trajectory.
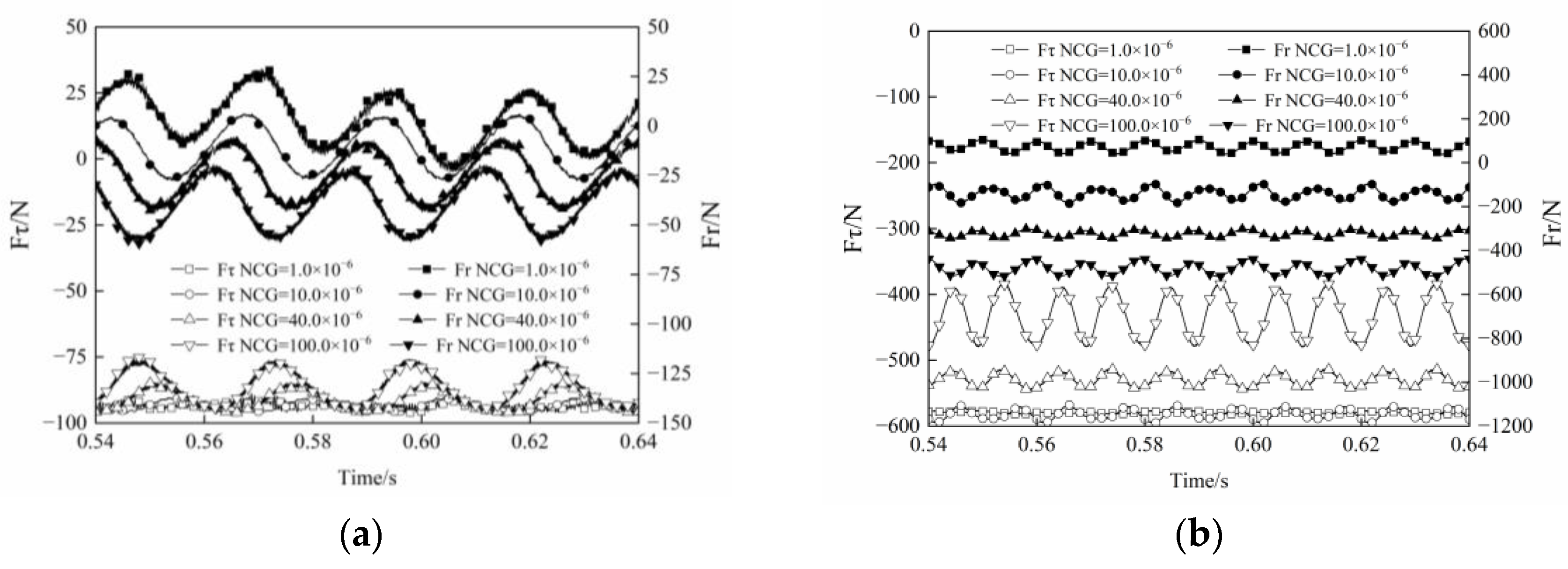
Figure 13 shows the variation trend of tangential and radial fluid film forces with time at 1200 RPM and 3000 RPM, respectively. The radial oil film force provides the oil film stiffness for the journal. When the radial oil film force is positive, it indicates that the fluid film stiffness is insufficient. From Figure 13, it could be seen that with the increase of rotational speed, the stiffness of fluid film increases significantly. Moreover, under the same speed and load conditions, the increase of NCG content is unfavorable to the stiffness. The larger the NCG content is, the smaller the stiffness is.
Figure 13.
Transient fluid film force components at 3000 r/min. (a) 1200 RPM; (b) 3000 RPM.
As depicted in Figure 13a, the tangential fluid film force under different NCG content is negative, which is consistent with the stable journal whirling trajectory obtained in Figure 11. With the increase of NCG content, the negative tangential oil film force increases. This indicates that NCG is helpful to improve rotor stability. Moreover, the higher the rotational speed of the journal, the more obvious the improvement of NCG on stability, as shown in Figure 13b. The work of the transient tangential fluid film forces can be calculated by Equation (10), and the calculated values are shown in Table 3.
Table 3.
Work of tangential fluid film force.
4. Conclusions
In this paper, the transient calculation model of multiphase lubrication flow field of journal bearing is established by using Singhal full cavitation model and structured dynamic grid technique. The effects of different NCG contents on the characteristics of lead-bismuth-lubricated plain bearing systems were analyzed. The main conclusions are as follows:
The design pressure of saturated vapors of LBE is 10−7 Pa, which is significantly less than that of sodium or water. Processes of traditional cavitation cannot occur in a flow of heavy liquid-metal coolants because of their specific character. In the bearing liquid film divergence region, the gas phase mainly comes from gas cavitation caused by non-condensing gases.
With the increase in NCG content, the minimum pressure increases in the low-pressure divergence area, resulting in a decrease in bearing load capacity. Under the same load, with the increase in NCG content, the eccentricity of the static equilibrium position will be larger, which will increase the risk of bearing contact with the bearing bush.
With the increase of NCG content, the whirling trajectory at the static equilibrium position tends to be more elliptical. From tangential oil film force work analysis, the NCG content will increase the work of tangential fluid film force and help to improve the stability of the bearing system.
Author Contributions
Conceptualization, Investigation, Writing—Original Draft Preparation, K.L.; Software, Validation, Writing—Original Draft Preparation, Y.Z.; Validation, Y.Z.; Conceptualization, Resources, Writing—Review & Editing, X.M.; Investigation, Writing—review & editing, Z.C. All authors have read and agreed to the published version of the manuscript.
Funding
This research was funded by Nuclear Technology R&D Program, National Natural Science Foundation of China (U23B20107), University Natural Science Research Project of Anhui Province (KJ2021A0620) and Anhui Jianzhu University Development Project (2022XMK02).
Data Availability Statement
The data presented in this study are available on request from the corresponding author.
Acknowledgments
This work is financially supported and funded by Nuclear Technology R&D Program, National Natural Science Foundation of China (U23B20107), University natural science research project of Anhui province (KJ2021A0620) and Anhui Jianzhu Universitydevelopment project (2022XMK02).
Conflicts of Interest
The authors declare no conflict of interest.
References
- OECD; Nuclear Energy Agency. Handbook on Lead-Bismuth Eutectic Alloy and Lead Properties: Materials Compatibility, Thermal-hydraulics and Technologies; Nuclear Energy Agency: Paris, France, 2007. [Google Scholar]
- Wu, Y.; Bai, Y.; Song, Y.; Huang, Q.; Zhao, Z.; Hu, L. Development strategy and conceptual design of China lead-based research reactor. Ann. Nucl. Energy 2016, 87, 511–516. [Google Scholar] [CrossRef]
- Wallenius, J.; Qvist, S.; Mickus, I.; Bortot, S.; Szakalos, P.; Ejenstam, J. Design of Sealer, a very small lead-cooled reactor for commercial power production in off-grid applications. Nucl. Eng. Des. 2018, 338, 23–33. [Google Scholar] [CrossRef]
- Engelen, J.; Abderrahim, H.A.; Baeten, P.; De Bruyn, D.; Leysen, P. MYRRHA: Preliminary front-end engineering design. Int. J. Hydrog. Energy 2015, 40, 15137–15147. [Google Scholar] [CrossRef]
- Stachowiak, G.; Batchelor, A. Engineering Tribology; Butterworth Heinemann: Oxford, UK, 2013. [Google Scholar]
- Xie, Z.; Rao, Z.; Liu, H. Effect of surface topography and structural parameters on the lubrication performance of a water-lubricated bearing: Theoretical and experimental study. Coatings 2019, 9, 23. [Google Scholar] [CrossRef]
- Bokova, T.; Bokov, P.; Marov, A.; Volkov, N. Research on slipper bearings of pumps of reactor systems with lead-bismuth coolant at relatively low temperatures. IOP Conf. Ser. Mater. Sci. Eng. 2020, 996, 012007. [Google Scholar] [CrossRef]
- Constantinescu, V. On the Influence of Inertia Forces in Turbulent and Laminar Self-Acting Films. J. Lubr. Technol. 1970, 92, 473–481. [Google Scholar] [CrossRef]
- Ng, C.; Pan, C. A Linearized Turbulent Lubrication Theory. J. Basic Eng. 1965, 87, 675–688. [Google Scholar] [CrossRef]
- Elrod, H.; Ng, C. A Theory for Turbulent Fluid Films and Its Application to Bearings. J. Lubr. Technol. 1967, 89, 346–362. [Google Scholar] [CrossRef]
- Hirs, G. A Bulk-Flow Theory for Turbulence in Lubricant Films. J. Lubr. Technol. 1973, 95, 137–146. [Google Scholar] [CrossRef]
- Dousti, S.; Allaire, P.; Dimond, T.; Cao, J. An extended reynold equation applicable to high reduced reynolds number operation of journal bearings. Tribol. Int. 2016, 102, 182–197. [Google Scholar] [CrossRef]
- Armentrout, R.; He, M.; Haykin, T.; Reed, A. Analysis of turbulence and convective inertia in a water-lubricated tilting-pad journal bearing using conventional and cfd approaches. Tribol. Trans. 2016, 60, 1129–1147. [Google Scholar] [CrossRef]
- Guo, Z.; Hirano, T.; Kirk, R. Application of cfd analysis for rotating machinery—Part I: Hydrodynamic, hydrostatic bearings and squeeze film damper. J. Eng. Gas Turbines Power 2005, 127, 445–451. [Google Scholar] [CrossRef]
- Chen, Y.; Yang, R.; Sugita, N.; Mao, J.; Shinshi, T. Identification of bearing dynamic parameters and unbalanced forces in a flexible rotor system supported by oil-film bearings and active magnetic devices. Actuators 2021, 10, 216. [Google Scholar] [CrossRef]
- Sun, W.; Yan, Z.; Tan, T.; Zhao, D.; Luo, X. Nonlinear characterization of the rotor-bearing system with the oil-film and unbalance forces considering the effect of the oil-film temperature. Nonlinear Dyn. 2018, 92, 1119–1145. [Google Scholar] [CrossRef]
- Takenaka, K.; Hayashi, T.; Miyagawa, K. Application of CFD analysis for static and dynamic characteristics of hydrodynamic journal bearing. In Proceedings of the International Symposium on Transport Phenomena and Dynamics of Rotating Machinery (ISROMAC 2017), Maui, HI, USA, 16–21 December 2017. [Google Scholar]
- Li, Q.; Liu, S.; Pan, X. A new method for studying the 3d transient flow of misaligned journal bearings in flexible rotor-bearing systems. J. Zhejiang Univ. Sci. A 2012, 13, 293–310. [Google Scholar] [CrossRef]
- Li, Q.; Yu, G.; Liu, S.; Zheng, S. Application of computational fluid dynamics and fluid structure interaction techniques for calculating the 3d transient flow of journal bearings coupled with rotor systems. Chin. J. Mech. Eng. 2012, 25, 926–932. [Google Scholar] [CrossRef]
- Kostornov, A.; Zozulya, V.; Sin’kov, V.; Shevchuk, M.S. Bearing materials based on fibers and liquid-metal lubricants. Sov. Powder Metall. Met. Ceram. 1973, 12, 534–537. [Google Scholar] [CrossRef]
- Xu, M.; Chen, W. Research Progress and Prospect of Liquid Metals Used as Lubricants. J. Mech. Eng. 2020, 56, 137–146. [Google Scholar]
- Zhang, J.; Yao, Y.; Sheng, L.; Liu, J. Self-fueled biomimetic liquid metal mollusk. Adv. Mater. 2015, 27, 2648–2655. [Google Scholar] [CrossRef]
- Xie, Z.; Shen, N.; Zhu, W.; Liu, H.; Shi, J.; Wang, Y.; Tian, W. Dynamic characteristics analysis of the hydro-hybrid liquid sodium lubricated bearing-rotor coupled system in the two-circuit main loop liquid sodium pump system. Ann. Nucl. Energy 2020, 136, 107059. [Google Scholar] [CrossRef]
- Huang, B.; Yun, Y.; Pu, K.; Zhao, B.; Wu, K. Lubrication performance analysis of Lead-Bismuth Internal-Feedback bearings in the nuclear main pump system. Ann. Nucl. Energy 2023, 192, 109936. [Google Scholar] [CrossRef]
- Bokov, P.; Baranova, V.; Kustov, M.; Antonenkov, M.; Besnosov, A. Peculiarities of hydrodynamics of lead and lead-bismuth coolant flows of reactor loops. In Proceedings of the 18th International Conference on Nuclear Engineering, Xi’an, China, 17–21 May 2010. [Google Scholar] [CrossRef]
- Singhal, A.; Athavale, M.; Li, H.; Jiang, Y. Mathematical basis and validation of the full cavitation model. J. Fluids Eng. 2002, 124, 617–624. [Google Scholar] [CrossRef]
- Patankar, S. Numerical Heat Transfer and Fluid Flow; Hemisphere Publishing Corporation: Washington, DC, USA, 1980. [Google Scholar]
- Li, Q.; Zhang, S.; Xu, W. Analysis of nonlinear oil film force of journal bearings based on 3D transient flow field calculation. J. Vib. Shock. 2018, 37, 141–147. [Google Scholar]
Disclaimer/Publisher’s Note: The statements, opinions and data contained in all publications are solely those of the individual author(s) and contributor(s) and not of MDPI and/or the editor(s). MDPI and/or the editor(s) disclaim responsibility for any injury to people or property resulting from any ideas, methods, instructions or products referred to in the content. |
© 2024 by the authors. Licensee MDPI, Basel, Switzerland. This article is an open access article distributed under the terms and conditions of the Creative Commons Attribution (CC BY) license (https://creativecommons.org/licenses/by/4.0/).














