Properties of Laser-Alloyed Stainless Steel Coatings on the Surface of Gray Cast Iron Discs
Abstract
1. Introduction
2. Experimental Methodology
2.1. Laser Alloying Material
2.2. Laser Alloying
2.3. Tribological and Dynamical Tests
2.3.1. Tribological Test
2.3.2. Dynamical Test
2.4. Hardness Measurement
2.5. Residual Stress Measurement
2.6. Metallographic Observation
2.7. XRD Analysis
2.8. Electrochemical Test
3. Results and Discussion
3.1. Friction-Induced Vibrations and Noise
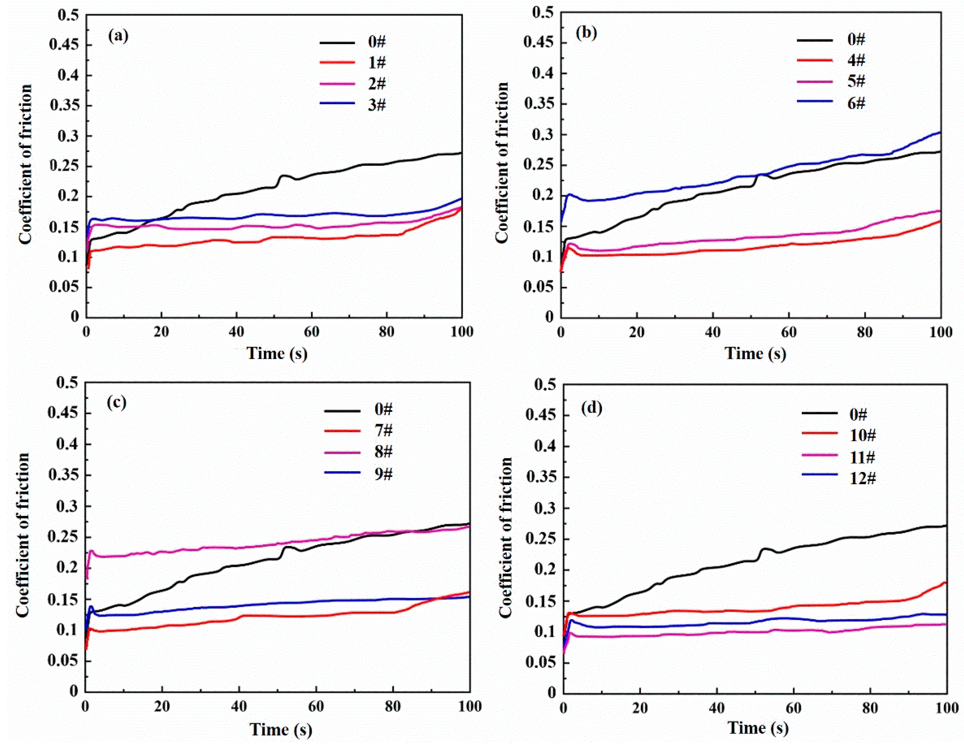
3.2. Coefficients of Friction
3.3. Hardness
3.3.1. Surface Hardness
3.3.2. Micro-Hardness
3.4. Residual Stress
3.5. Metallographic Observation
3.6. XRD Analysis
3.7. Electrochemical Testing
4. Analysis
4.1. Range Analysis
4.2. Analysis of Variance
5. Conclusions
- (1)
- The laser alloying power is the most important effect factor on the surface and internal hardness of discs, and the LAI value also can be an important index determining the surface and internal hardness of discs, provided that the laser alloying power is beyond a threshold, e.g., 3000 W in this study.
- (2)
- Laser alloying significantly increased the residual stress on the surface of cast iron discs and changes it from tensile to compressive, which plays a significant role in the vibration and noise damping and anti-corrosion performance.
- (3)
- Discs 9 and 11 have the best vibration and noise reduction performance in all of the laser-alloyed discs, suggesting that the laser alloying parameters can be optimized to obtain the laser-alloyed coatings with excellent vibration and noise damping property.
- (4)
- The ANOVA analysis shows that the laser power is the most significant factor influencing the residual stress, and that coating material has the most significant effect on the corrosion resistance performance of the laser-alloyed discs.
- (5)
- This research has significance for the laser alloying of various cast irons, steels and other metals, which is an increasingly important technology in the vehicle friction brake manufacturing industry.
Author Contributions
Funding
Data Availability Statement
Conflicts of Interest
References
- Wang, B.; Pan, Y.; Barber, G.; Wang, R. Phase transformation of austempered and quench-tempered gray cast irons under laser surface hardening treatment. Int. J. Cast Met. Res. 2021, 34, 70–74. [Google Scholar] [CrossRef]
- Riquelme, A.; Rodrigo, P. An introduction on the laser cladding coatings on magnesium alloys. Metals 2021, 11, 1993. [Google Scholar] [CrossRef]
- Piasecki, A.; Kotkowiak, M.; Makuch, N.; Kulka, M. Wear behavior of self-lubricating boride layers produced on Inconel 600-alloy by laser alloying. Wear 2019, 426–427, 919–933. [Google Scholar] [CrossRef]
- Yuan, W.; Li, R.; Chen, Z.; Gu, J.; Tian, Y. A comparative study on microstructure and properties of traditional laser cladding and high-speed laser cladding of Ni45 alloy coatings. Surf. Coat. Technol. 2021, 405, 126582. [Google Scholar] [CrossRef]
- Ding, Y.; Gui, W.; Nie, B.; Bi, W.; Zhong, C.; Xue, Y.; Luan, B. Elimination of elemental segregation by high-speed laser remelting for ultra-high-speed laser cladding Inconel 625 coatings. J. Mater. Res. Technol. 2023, 24, 4118–4129. [Google Scholar] [CrossRef]
- Ding, Y.; Bi, W.; Zhong, C.; Wu, T.; Gui, W. A comparative study on microstructure and properties of ultra-high-speed laser cladding and traditional laser cladding of Inconel625 coatings. Materials 2022, 15, 6400. [Google Scholar] [CrossRef]
- Tuominen, J.; Kiviö, J.; Balusson, C.; Raami, L.; Vihinen, J.; Peura, P. High-speed laser cladding of chromium carbide reinforced Ni-based coatings. Weld. World 2023, 67, 2175–2186. [Google Scholar] [CrossRef]
- Eyaprakash, N.; Yang, C.-H.; Duraiselvam, M.; Sivasankaran, S. Comparative study of laser melting and pre-placed Ni-20% Cr alloying over nodular iron surface. Arch. Civ. Mech. Eng. 2020, 20, 20. [Google Scholar] [CrossRef]
- Lin, P.; Zhang, Z.; Kong, S.; Zhou, H.; Tong, X.; Ren, L. Mechanical properties and wear resistance of ZrO2 particulate-reinforced composite layer on compacted graphite cast iron processed by selective laser alloying. J. Laser Appl. 2017, 29, 032003. [Google Scholar] [CrossRef]
- Zhong, M.; Liu, W.; Zhang, H. Corrosion and wear resistance characteristics of NiCr coating by laser alloying with powder feeding on grey iron liner. Wear 2006, 260, 1349–1355. [Google Scholar] [CrossRef]
- Jiang, P.F.; Zhang, C.H.; Zhang, S.; Zhang, J.B.; Chen, J.; Liu, Y. Fabrication and wear behavior of TiC reinforced FeCoCrAlCu-based high entropy alloy coatings by laser surface alloying. Mater. Chem. Phys. 2020, 255, 123571. [Google Scholar] [CrossRef]
- Kulka, M.; Mikołajczak, D.; Dziarski, P.; Panfil-Pryka, D. Laser surface alloying of austenitic 316L steel with boron and some metallic elements: Properties. Materials 2021, 14, 2987. [Google Scholar] [CrossRef] [PubMed]
- Yang, Y.W.; Cristino, V.A.M.; Tam, L.M.; Lo, K.H.; Kwok, C.T. Laser surface alloying of copper with Cr/Ti/CNT for enhancing surface properties. J. Mater. Res. Technol. 2022, 17, 560–573. [Google Scholar] [CrossRef]
- Gou, S.; Li, S.; Hu, H.; Fang, Y.; Liu, J.; Dong, W.; Wang, H. Surface hardening of CrCoFeNi high-entropy alloys via Al laser alloying. Mater. Res. Lett. 2021, 9, 437–444. [Google Scholar] [CrossRef]
- Wu, C.; Zhang, S.; Zhang, C.; Zhang, H.; Dong, S. Phase evolution and properties in laser surface alloying of FeCoCrAlCuNi high-entropy alloy on copper substrate. Surf. Coat. Technol. 2017, 315, 368–376. [Google Scholar] [CrossRef]
- Alvarez-Vera, M.; Hdz-García, H.; Muñoz-Arroyo, R.; Hernandez-Rodriguez, M.; Ortega, J.A.; Mtz-Enriquez, A.; Hernandez-García, F.; Carrera-Espinoza, R.; Ortega-Ramos, I. Wear resistance of surfaced modified CoCr alloy with stellite alloys and boron carbide coating via laser alloying. Wear 2023, 524–525, 204811. [Google Scholar] [CrossRef]
- Chi, Y.; Meng, X.; Dou, J.; Yu, H.; Chen, C. Laser alloying with Fe-B4C-Ti on AA6061 for improved wear resistance. Surf. Eng. 2021, 37, 1503–1513. [Google Scholar] [CrossRef]
- Chen, Q.; Zhang, J.; Huang, A.; Wei, P. Study on wear resistance of Ti-6Al-4V alloy composite coating prepared by laser alloying. Appl. Sci. 2021, 11, 446. [Google Scholar] [CrossRef]
- Bartkowski, D.; Bartkowska, A.; Popławski, M.; Przestacki, D. Microstructure, microhardness, corrosion and wear resistance of B, Si and B-Si coatings produced on C45 steel using laser processing. Metals 2020, 10, 792. [Google Scholar] [CrossRef]
- Liu, J.; Zhang, J.; Deng, L.; Hao, G. Microstructure and corrosion behaviour of laser-cladded γ-Ni/Mo2Ni3Si alloy coating. Surf. Eng. 2018, 35, 59–65. [Google Scholar] [CrossRef]
- Liu, X.T.; Lei, W.B.; Wang, Q.J.; Tong, W.P.; Liu, C.S.; Cui, J.Z. Laser surface alloying of low carbon steel using high-entropy alloy precursors. J. Iron Steel Res. Int. 2016, 23, 1195–1199. [Google Scholar] [CrossRef]
- Wong, P.; Kwok, C.; Man, H.; Cheng, F. Corrosion behavior of laser-alloyed copper with titanium fabricated by high power diode laser. Corros. Sci. 2012, 57, 228–240. [Google Scholar] [CrossRef]
- Kwok, C.; Wong, P.; Man, H. Enhancement in corrosion and electrical wear resistance of copper via laser surface alloying with NiTi. Surf. Coat. Technol. 2021, 408, 126804. [Google Scholar] [CrossRef]
- Ravnikar, D.; Rajamure, R.S.; Trdan, U.; Dahotre, N.B.; Grum, J. Electrochemical and DFT studies of laser-alloyed TiB2/TiC/Al coatings on aluminium alloy. Corros. Sci. 2018, 136, 18–27. [Google Scholar] [CrossRef]
- Smolina, I.; Kobiela, K. Characterization of wear and corrosion resistance of stellite 6 laser surfaced alloyed (LSA) with rhenium. Coatings 2021, 11, 292. [Google Scholar] [CrossRef]
- Paczkowska, M. The comparison of the effects of nodular cast iron laser alloying with selected substances. Materials 2022, 15, 7561. [Google Scholar] [CrossRef] [PubMed]
- Lont, A.; Górka, J.; Janicki, D.; Matus, K. The laser alloying process of ductile cast iron surface with titanium powder in nitrogen atmosphere. Coatings 2022, 12, 227. [Google Scholar] [CrossRef]
- Paczkowska, M.; Makuch, N.; Kulka, M. The influence of various cooling rates during laser alloying on nodular iron surface layer. Opt. Laser Technol. 2018, 102, 60–67. [Google Scholar] [CrossRef]
- Jiru, M.G.; Singh, B. Surface engineered AlMn alloy using laser surface alloying for wear resistance. Int. J. Adv. Manuf. Technol. 2020, 110, 275–281. [Google Scholar] [CrossRef]
- Bartkowska, A.; Bartkowski, D.; Poplawski, M.; Piasecki, A.; Przestacki, D.; Miklaszewski, A. Microstructure, microhardness, corrosion resistance and chemical composition of Mo, B and Mo-B coatings produced using laser processing. Materials 2020, 13, 3249. [Google Scholar] [CrossRef]
- Makuch, N.; Piasecki, A.; Dziarski, P.; Kulka, M. Influence of laser alloying with boron and niobium on microstructure and properties of Nimonic 80A-alloy. Opt. Laser Technol. 2015, 75, 229–239. [Google Scholar] [CrossRef]
- Yu, H.; Lu, L.; Wang, Z.; Chen, C. Microstructure and wear resistance of a composite coating prepared by laser alloying with Ni-coated graphite on Ti-6Al-4V alloy. Materials 2022, 15, 5512. [Google Scholar] [CrossRef] [PubMed]
- Sai, Q.; Hao, J.; Wang, S.; Wang, Z. Improving the properties of gray cast iron by laser surface modification. Materials 2023, 16, 5533. [Google Scholar] [CrossRef] [PubMed]
- Yalçın, B.; Yüksel, A.; Aslantaş, K.; Der, O.; Ercetin, A. Optimization of micro-drilling of laminated aluminum composite panel (Al–PE) using taguchi orthogonal array design. Materials 2023, 16, 4528. [Google Scholar] [CrossRef] [PubMed]











| C | Mn | P | S | Si | Cr | Ni | N | |
|---|---|---|---|---|---|---|---|---|
| 304 | 0.08 | 2.00 | 0.035 | 0.015 | 0.75 | 18.0–20.0 | 8.0–10.0 | 0.10 |
| 316 | 0.03 | 2.00 | 0.035 | 0.015 | 0.75 | 16.0–18.0 | 10.0–14.0 | 0.10 |
| 430 | 0.04 | 0.50 | 0.030 | 0.005 | 0.35 | 14.0–16.0 | 14.0–16.0 | 0.05 |
| No. (LAI) | Coating Material | Laser Alloying Power (W) | Laser Scanning Speed (mm/min) |
|---|---|---|---|
| 1 (15.0) | 304 (1) | 2500 (1) | 200 (1) |
| 2 (14.4) | 304 (1) | 3000 (2) | 250 (2) |
| 3 (14.0) | 304 (1) | 3500 (3) | 300 (3) |
| 4 (12.0) | 316 (2) | 2500 (1) | 250 (2) |
| 5 (12.0) | 316 (2) | 3000 (2) | 300 (3) |
| 6 (21.0) | 316 (2) | 3500 (3) | 200 (1) |
| 7 (10.0) | 430 (3) | 2500 (1) | 300 (3) |
| 8 (18.0) | 430 (3) | 3000 (2) | 200 (1) |
| 9 (16.8) | 430 (3) | 3500 (3) | 250 (2) |
| 10 (12.0) | 304 (1) | 3000 (2) | 300 (3) |
| 11 (14.4) | 316 (2) | 3000 (2) | 250 (2) |
| 12 (14.4) | 430 (3) | 3000 (2) | 250 (2) |
| No. | Peak Vibration Amplitude (m/s2) | RMS (m/s2) | Ratio | Peak Sound Pressure (Pa) | RMS (Pa) | Ratio |
|---|---|---|---|---|---|---|
| 0 | 137.8 | 6.846 | 1.0 | 0.87 | 0.083 | 1.0 |
| 1 | 98.3 | 4.883 | 0.71 | 0.71 | 0.068 | 0.82 |
| 2 | 52.6 | 2.613 | 0.38 | 0.41 | 0.039 | 0.47 |
| 3 | 105.6 | 5.246 | 0.77 | 0.49 | 0.047 | 0.56 |
| 4 | 78.7 | 3.910 | 0.57 | 0.53 | 0.051 | 0.61 |
| 5 | 40.5 | 2.012 | 0.29 | 0.30 | 0.029 | 0.35 |
| 6 | 111.9 | 5.559 | 0.81 | 0.62 | 0.059 | 0.71 |
| 7 | 86.7 | 4.307 | 0.63 | 0.45 | 0.043 | 0.52 |
| 8 | 110.8 | 5.504 | 0.80 | 0.52 | 0.050 | 0.60 |
| 9 | 38.1 | 1.893 | 0.28 | 0.24 | 0.023 | 0.28 |
| 10 | 67.1 | 3.333 | 0.49 | 0.44 | 0.042 | 0.50 |
| 11 | 50.8 | 2.524 | 0.37 | 0.21 | 0.020 | 0.24 |
| 12 | 73.9 | 3.671 | 0.54 | 0.32 | 0.031 | 0.37 |
| No. | A | B | C | Vibration Acceleration RMS (m/s2) | Sound Pressure RMS (Pa) | Residual Stress (MPa) | Polarization Resistance (Ω) |
|---|---|---|---|---|---|---|---|
| 1 | 304 (1) | 2500 (1) | 200 (1) | 4.88 | 0.07 | 650.00 | 97,680.00 |
| 2 | 304 (1) | 3000 (2) | 250 (2) | 2.61 | 0.04 | 864.28 | 115,641.00 |
| 3 | 304 (1) | 3500 (3) | 300 (3) | 5.25 | 0.05 | 985.72 | 101,353.00 |
| 4 | 316 (2) | 2500 (1) | 250 (2) | 3.91 | 0.05 | 640.00 | 164,421.00 |
| 5 | 316 (2) | 3000 (2) | 300 (3) | 2.01 | 0.03 | 807.14 | 210,021.00 |
| 6 | 316 (2) | 3500 (3) | 200 (1) | 5.56 | 0.06 | 1070.00 | 144,675.00 |
| 7 | 430 (3) | 2500 (1) | 300 (3) | 4.31 | 0.04 | 714.38 | 130,157.00 |
| 8 | 430 (3) | 3000 (2) | 200 (1) | 5.50 | 0.05 | 958.84 | 124,206.00 |
| 9 | 430 (3) | 3500 (3) | 250 (2) | 1.89 | 0.02 | 1078.56 | 118,907.00 |
| No. | A Coating Material | B Laser-Alloying Power | C Laser Scanning Speed |
|---|---|---|---|
| Residual Stress | |||
| k1 | 2499.99 | 2004.37 | 2678.84 |
| k2 | 2517.14 | 2385.80 | 2582.84 |
| k3 | 2751.78 | 3134.28 | 2507.23 |
| k1avg | 833.33 | 668.12 | 892.95 |
| k2avg | 839.05 | 795.27 | 860.95 |
| k3avg | 917.26 | 1044.76 | 835.74 |
| R | 83.93 | 376.64 | 57.20 |
| Polarization Resistance | |||
| k1 | 314,674.00 | 392,258.00 | 366,561.00 |
| k2 | 519,117.00 | 449,868.00 | 398,969.00 |
| k3 | 373,207.00 | 364,935.00 | 441,431.00 |
| k1avg | 104,891.33 | 130,752.67 | 122,187.00 |
| k2avg | 173,039.00 | 149,956.00 | 132,989.67 |
| k3avg | 124,423.33 | 121,654.00 | 147,143.67 |
| R | 68,147.67 | 28,311.00 | 24,956.67 |
| Factor | Sum of Squares (SS) | Degrees of Freedom (DOF) | Mean Square (MS) | F Ratio | Threshold | Influence Degree |
|---|---|---|---|---|---|---|
| Residual Stresses | ||||||
| A | 1.3 × 104 | 2.000 | 6.6 × 103 | 6.17 | F1-0.01(2, 2) = 99.01 | B *** |
| B | 2.1 × 105 | 2.000 | 1.1 × 105 | 99.84 | F1-0.05(2, 2) = 19.00 | |
| C | 4.9 × 103 | 2.000 | 2.5 × 103 | 2.31 | F1-0.1(2, 2) = 9.00 | |
| Error | 2.1 × 103 | 2.000 | 1.1 × 103 | |||
| Polarization Resistance | ||||||
| A | 7.4 × 109 | 2.000 | 3.7 × 109 | 25.12 | F1-0.01(2, 2) = 99.01 | A ** |
| B | 1.5 × 109 | 2.000 | 6.3 × 108 | 4.26 | F1-0.05(2, 2) = 19.00 | |
| C | 9.4 × 108 | 2.000 | 4.7 × 108 | 3.20 | F1-0.1(2, 2) = 9.00 | |
| Error | 2.9 × 108 | 2.000 | 1.5 × 108 | |||
Disclaimer/Publisher’s Note: The statements, opinions and data contained in all publications are solely those of the individual author(s) and contributor(s) and not of MDPI and/or the editor(s). MDPI and/or the editor(s) disclaim responsibility for any injury to people or property resulting from any ideas, methods, instructions or products referred to in the content. |
© 2024 by the authors. Licensee MDPI, Basel, Switzerland. This article is an open access article distributed under the terms and conditions of the Creative Commons Attribution (CC BY) license (https://creativecommons.org/licenses/by/4.0/).
Share and Cite
Wang, S.; Hao, J.; Zhou, Y.; Gu, C.; Williams, J. Properties of Laser-Alloyed Stainless Steel Coatings on the Surface of Gray Cast Iron Discs. Lubricants 2024, 12, 232. https://doi.org/10.3390/lubricants12070232
Wang S, Hao J, Zhou Y, Gu C, Williams J. Properties of Laser-Alloyed Stainless Steel Coatings on the Surface of Gray Cast Iron Discs. Lubricants. 2024; 12(7):232. https://doi.org/10.3390/lubricants12070232
Chicago/Turabian StyleWang, Shuwen, Jiale Hao, Yu Zhou, Chunxing Gu, and John Williams. 2024. "Properties of Laser-Alloyed Stainless Steel Coatings on the Surface of Gray Cast Iron Discs" Lubricants 12, no. 7: 232. https://doi.org/10.3390/lubricants12070232
APA StyleWang, S., Hao, J., Zhou, Y., Gu, C., & Williams, J. (2024). Properties of Laser-Alloyed Stainless Steel Coatings on the Surface of Gray Cast Iron Discs. Lubricants, 12(7), 232. https://doi.org/10.3390/lubricants12070232

