Laser-Induced Graphene/h-BN Laminated Structure to Enhance the Self-Lubricating Property of Si3N4 Composite Ceramic
Abstract
1. Introduction
2. Experimental Section
2.1. Preparation of Si3N4/L-rGO/h-BN Ceramic Composites
- (1)
- Design of raw materials and components
- (2)
- Preparation process
2.2. Material Characterizations
2.3. Mechanical Property Test
2.4. Evaluation of the Tribological Property
3. Results and Discussion
3.1. Phase Analysis of Si3N4/L-rGO/h-BN Ceramic Composites
3.2. Mechanical Property Analysis of Si3N4/L-rGO/h-BN Ceramic Composites
3.3. Morphology and Elemental Analysis of Si3N4/L-rGO/h-BN Ceramic Composites
3.4. Friction Performance Analysis
3.5. Self-Lubrication Mechanism Analysis
4. Conclusions
- (1)
- The optimum preparation parameters of Si3N4/L-rGO/h-BN ceramic composites are as follows. The volume ratio of α-Si3N4, Al2O3, and Y2O3 is 90:3:7, the sintering temperature is 1650 °C, the sintering pressure is 30 MPa, and the optimum concentration of L-rGO/h-BN additive is 0.75 wt%.
- (2)
- The Si3N4/L-rGO/h-BN ceramic composite was characterized by X-ray diffractometer, scanning electron microscope, and double spherical aberration correction transmission electron microscope. After sintering, α-Si3N4 is successfully converted to β-Si3N4. L-rGO/h-BN achieves good monodispersion in Si3N4 matrix due to its special sheet/ball composite structure. When the concentration of L-rGO/h-BN reaches 0.75 wt%, the Si3N4/L-rGO/h-BN ceramic composite is highly dense after sintering, and L-rGO/h-BN is closely bonded with the Si3N4 ceramic matrix.
- (3)
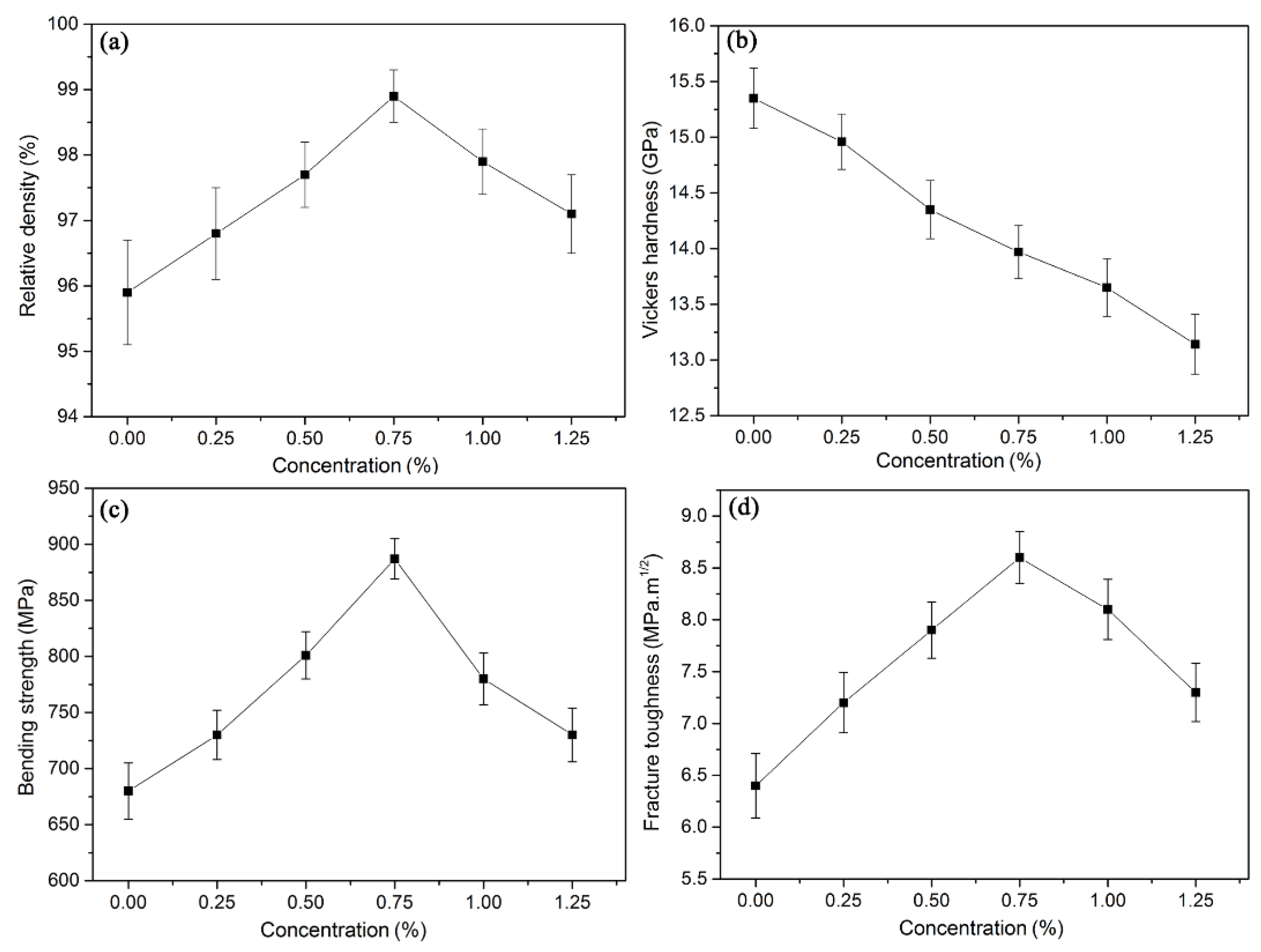
- After the addition of L-rGO/h-BN, the mechanical properties of Si3N4/L-rGO/h-BN ceramic composites are greatly improved. When the added concentration is 0.75 wt%, the relative density reaches 98.9%, and the bending strength and fracture toughness reach the maximum values, which are 887 MPa and 8.6 MPa∙m1/2, respectively, with increases of 30.4% and 34.4%.
- (4)
- The self-lubrication performance of Si3N4/L-rGO/h-BN ceramic composite was analyzed by ball-on-disc reciprocating friction experiment. The friction experiment shows that when the concentration of L-rGO/h-BN is 0.75 wt%, the COF decreases by 26.6% from 0.537 to 0.394, and the WSD decreases by 21% from 1172 μm to 926 μm. The standard deviation of COF decreases by 44.2% from 0.0086 to 0.0048, and the friction state is more stable. This is because of the special sheet/ball structure of L-rGO/h-BN additive and the successful sintering preparation of SPS. L-rGO/h-BN additive achieves effective dispersion in Si3N4/L-rGO/h-BN ceramic composite. During the friction process, graphene is exposed and deposited on the surface of the friction pair, which not only protects the surface of the friction pair, but also shows a good self-lubricating effect.
Supplementary Materials
Author Contributions
Funding
Data Availability Statement
Conflicts of Interest
References
- Robert, B.H. Silicon Nitride Ceramics: Structure, Synthesis, Properties, and Biomedical Applications. Materials 2023, 16, 5142. [Google Scholar] [CrossRef] [PubMed]
- Andreas, Z.; Gerhard, M.; George, S.H.; Marcus, S.W.; Edwin, K.; Ralf, R.D.; Hartmut, F.; Peter, K.; Reinhard, B.H. Synthesis of cubic silicon nitride. Nature 1999, 400, 340–342. [Google Scholar]
- Naoya, S.B.; Stephen, J.P.; Tim, R.G.; Gayle, S.P.; William, A.S.; Paul, F.B. Observation of rare-earth segregation in silicon nitride ceramics at subnanometre dimensions. Nature 2004, 428, 730–733. [Google Scholar]
- Zhang, J.; Liu, G.H.; Cui, W.; Ge, Y.Y.; Du, S.M.; Gao, Y.X.; Zhang, Y.Y.; Li, F.; Chen, Z.L.; Du, S.X.; et al. Plastic deformation in silicon nitride ceramics via bond switching at coherent interfaces. Science 2022, 378, 371–376. [Google Scholar] [CrossRef] [PubMed]
- Tian, J.X.; Wu, Y.H.; Sun, J.; Xia, Z.X.; Ren, K.X.; Wang, H.; Li, S.H.; Yao, J.M. Thermal Dynamic Exploration of Full-Ceramic Ball Bearings under the Self-Lubrication Condition. Lubricants 2022, 10, 213. [Google Scholar] [CrossRef]
- Bai, Y.S.; Zhang, C.Y.; He, Z.; Cui, M.; Sun, D.C. Inverse solution to two-dimensional transient coupled radiation and conduction problems and the application in recovering radiative thermo-physical properties of Si3N4 ceramics. Int. J. Therm. Sci. 2023, 190, 108303. [Google Scholar] [CrossRef]
- Du, S.M.; Zhang, J.; Li, F.; Chen, Z.L.; Zhang, S.J.; Zhao, S.; Cui, W.; Chen, K.X.; Liu, G.H. Rapid fabrication of Si3N4 ceramics with gradient appearance and microstructure. J. Am. Ceram. Soc. 2023, 106, 7611–7617. [Google Scholar] [CrossRef]
- Chen, S.L.; Wang, C.A.; Wang, L.; He, G.; Li, J.T. Microstructure and properties of porous Si3N4 ceramics by gelcasting-self-propagating high-temperature synthesis (SHS). J. Adv. Ceram. 2022, 11, 172–183. [Google Scholar] [CrossRef]
- Frankberg, E.J. A ceramic that bends instead of shattering. Science 2022, 378, 359–360. [Google Scholar] [CrossRef]
- Moya, J.S.; Rodríguez, M.A.; Souto, A.; Guitián, F.; Pastor, J.Y.; Llorca, J.; Elices, M. Self-reinforced Si3N4 ceramics fabricated using Si3N4 produced by self-propagating high temperature synthesis. Scripta. Mater. 1996, 35, 991–997. [Google Scholar] [CrossRef]
- Sun, J.; Fang, X.; Yao, J.M.; Guan, R.Y.; Zhang, Z.; Zhang, G.X. Study on the Effect of Oil Supply on the Sound Field Characteristics of Full Ceramic Ball Bearings under Oil Lubrication. Lubricants 2023, 11, 146. [Google Scholar] [CrossRef]
- Liu, W.; Chu, Q.Q.; He, R.X.; Huang, M.P.; Wu, H.D.; Jiang, Q.G.; Chen, J.; Deng, X.; Wu, S.H. Preparation and properties of TiAlN coatings on silicon nitride ceramic cutting tools. Ceram. Int. 2018, 44, 2209–2215. [Google Scholar] [CrossRef]
- Wang, L.J.; Zhuang, Y.X.; Xing, P.F. Effects of Temperature and Si3N4 Diluent on Nitriding of Diamond Wire Silicon Cutting Waste. Silicon 2023, 15, 521–531. [Google Scholar] [CrossRef]
- Nallusamy, S. Investigations on silicon nitride superimposed nanocoated cutting tool by physical vapour deposition and atomic force microscopy. Appl. Nanosci. 2021, 11, 1107–1115. [Google Scholar] [CrossRef]
- Sun, H.W.; Zou, B.; Xue, K.; Chen, W.; Liu, J.K. Cutting Performance and Wear Behavior of Self-Developed Silicon Nitride Ceramic End Mills with Optimized Structure for High-Speed Machining of GH4099. Adv. Eng. Mater. 2023, 25, 2301008. [Google Scholar] [CrossRef]
- Zhang, H.Q.; Ye, F.; Liu, Q.; Zhang, B. The lamellar preparation of continuous porosity-graded Si3N4 ceramics without obvious interfaces for broadband radome application. J. Eur. Ceram. Soc. 2023, 43, 304–312. [Google Scholar] [CrossRef]
- Zha, H.K.; Yu, W.Q.; Li, J.W.; Shi, J.; Li, J.C.; Tang, W.M.; Lin, Y.H.; Zhu, K.S.; Cheng, J.G.; Liu, G.C. Progress in Preparation and Properties of Porous Silicon Nitride Ceramics. Silicon 2023, 15, 6631–6653. [Google Scholar] [CrossRef]
- Huang, H.; Wang, L.J.; Qi, Q.; Tang, H.G.; Li, T.Y.; Yang, Y.D.; Yu, Y.; Sun, H.Q.; Qiao, Z.H. Titanium nitride induced wide temperature range self-lubricating silicon nitride ceramics with low wear and stable low friction coefficient. Mater. Today. Commun. 2024, 39, 108729. [Google Scholar] [CrossRef]
- Jeroen, V.D.B. Graphene: From strength to strength. Nat. Nanotechnol. 2007, 11, 199–201. [Google Scholar]
- Balandin, A.A.; Ghosh, S.; Bao, W.Z.; Calizo, I.; Teweldebrhan, D.L.; Miao, F.; Lau, C.N. Superior thermal conductivity of single-layer graphene. Nano Lett. 2008, 8, 902–907. [Google Scholar] [CrossRef]
- Ha, H.; Qaiser, N.; Yun, T.G.; Cheong, J.Y.; Lim, S.; Hwang, B. Sensing mechanism and application of mechanical strain sensor: A mini-review. Facta. Univ-Ser. Mech. 2023, 21, 751–772. [Google Scholar] [CrossRef]
- Petrova, T.; Kirilova, E.; Becker, W.; Ivanova, J. Two-dimensional Stress and strain Analysis for Graphene-polymer Nanocomposite under Axial Load. J. Appl. Comput. Mech. 2022, 3, 1065–1075. [Google Scholar]
- Llorente, J.; Ramírez, C.; Belmonte, M. Two-step strategy for improving the tribological performance of Si3N4 ceramics: Controlled addition of SiC nanoparticles and graphene-based nanostructures. J. Eur. Ceram. Soc. 2020, 40, 5298–5304. [Google Scholar] [CrossRef]
- Cheng, Y.H.; Hu, P.; Zhou, S.B.; Zhang, X.H.; Han, W.B. Using macroporous graphene networks to toughen ZrC-SiC ceramic. J. Eur. Ceram. Soc. 2018, 38, 3752–3758. [Google Scholar] [CrossRef]
- Chen, W.; Xu, E.G.; Zhao, Z.Q.; Wu, C.J.; Zhai, Y.Q.; Liu, X.G.; Jia, J.H.; Lou, R.; Li, X.S.; Yang, W.L.; et al. Study on mechanical and tribological behaviors of GQDs@ Si3N4 composite ceramics. Tribol. Int. 2023, 179, 108095. [Google Scholar] [CrossRef]
- Du, H.; Zhang, J.J.; Fang, C.; Weng, G.J. Modeling the evolution of graphene agglomeration and the electrical and mechanical properties of graphene/polypropylene nanocomposites. J. Appl. Polym. Sci. 2023, 140, e53292. [Google Scholar] [CrossRef]
- Tang, Z.H.; Liu, X.; Hu, Y.M.; Zhang, X.Q.; Guo, B.C. A slurry compounding route to disperse graphene oxide in rubber. Mater. Lett. 2017, 191, 93–96. [Google Scholar] [CrossRef]
- Zheng, Y.C.; Xu, H.; Jing, H.S.; Ren, Q.X.; Liu, Z.Q.; Gao, Z.G.; Ban, Q.F. Graphene dispersed by pyrene-terminated polyethylene glycol for reinforced epoxy composites. J. Appl. Polym. Sci. 2022, 139, 52110–52118. [Google Scholar] [CrossRef]
- Li, W.; Luo, T.; Zhu, C.X.; Zhang, B.; Cao, B.Q. Graphene/h-BN nanosheets/nanospheres composite constructed by in-situ laser irradiation with synergistically improved tribology performance. Ind. Eng. Chem. Res. 2023, 62, 435–444. [Google Scholar] [CrossRef]
- Yin, Y.J.; Yan, K.; Chen, F.; Zhu, Y.S.; Hong, J. Tribological properties of graphene/β-Si3N4 whisker reinforced Si3N4 ceramic composites. Ceram. Int. 2023, 49, 37568–37575. [Google Scholar] [CrossRef]
- Hardie, D.; Jack, K.H. Crystal Structures of Silicon Nitride. Nature 1957, 180, 332–333. [Google Scholar] [CrossRef]
- Xiao, C.F.; Han, B. Preparation of porous silicon nitride ceramics by microwave sintering and its performance evaluation. J. Mater. Res. Technol. 2019, 8, 5984–5995. [Google Scholar] [CrossRef]
- Luo, R.X.; Kermani, M.; Guo, Z.L.; Dong, J.; Hu, C.F.; Zuo, F.; Grasso, S.; Jiang, B.B.; Nie, G.L.; Yan, Z.Q.; et al. Ultrafast high-temperature sintering of silicon nitride: A comparison with the state-of-the-art techniques. J. Eur. Ceram. Soc. 2021, 41, 6338–6345. [Google Scholar] [CrossRef]
- Ratzker, B.; Sokol, M.; Kalabukhov, S.; Frage, N.H. High-pressure spark plasma sintering of silicon nitride with LiF additive. J. Eur. Ceram. Soc. 2018, 38, 1271–1277. [Google Scholar] [CrossRef]
- Zeng, W.M.; Gan, X.P.; Li, Z.Y.; Zhou, K.C. The preparation of silicon nitride ceramics by gelcasting and pressureless sintering. Ceram. Int. 2016, 42, 11593–11597. [Google Scholar]
- He, L.; Huang, N.S.; Lu, D.L.; Sheng, P.F.; Zou, W.J. A Study on the Effects of Liquid Phase Formation Temperature and the Content of Sintering Aids on the Sintering of Silicon Nitride Ceramics. Crystals 2023, 13, 1099. [Google Scholar] [CrossRef]
- Bódis, E.; Cora, I.; Németh, P.; Tapasztó, O.; Mohai, M.; Tóth, S.; Károly, Z.; Szépvölgyi, J. Toughening of silicon nitride ceramics by addition of multilayer graphene. Ceram. Int. 2019, 45, 4810–4816. [Google Scholar] [CrossRef]
- Bódis, E.; Tapasztó, O.; Károly, Z.; Fazekas, P.; Klébert, S.; Keszler, A.M.; Balázsi, K.; Szépvölgyi, J. Spark plasma sintering of Si3N4/multilayer graphene composites. Open. Chem. 2015, 13, 484–489. [Google Scholar] [CrossRef]











Disclaimer/Publisher’s Note: The statements, opinions and data contained in all publications are solely those of the individual author(s) and contributor(s) and not of MDPI and/or the editor(s). MDPI and/or the editor(s) disclaim responsibility for any injury to people or property resulting from any ideas, methods, instructions or products referred to in the content. |
© 2024 by the authors. Licensee MDPI, Basel, Switzerland. This article is an open access article distributed under the terms and conditions of the Creative Commons Attribution (CC BY) license (https://creativecommons.org/licenses/by/4.0/).
Share and Cite
Li, W.; Dong, J.; Xu, D.; Dong, Y.; Iqbal, S.; Li, J.; Luo, T.; Cao, B. Laser-Induced Graphene/h-BN Laminated Structure to Enhance the Self-Lubricating Property of Si3N4 Composite Ceramic. Lubricants 2024, 12, 219. https://doi.org/10.3390/lubricants12060219
Li W, Dong J, Xu D, Dong Y, Iqbal S, Li J, Luo T, Cao B. Laser-Induced Graphene/h-BN Laminated Structure to Enhance the Self-Lubricating Property of Si3N4 Composite Ceramic. Lubricants. 2024; 12(6):219. https://doi.org/10.3390/lubricants12060219
Chicago/Turabian StyleLi, Wei, Jinzhi Dong, Dalong Xu, Yifan Dong, Sikandar Iqbal, Jingwei Li, Ting Luo, and Bingqiang Cao. 2024. "Laser-Induced Graphene/h-BN Laminated Structure to Enhance the Self-Lubricating Property of Si3N4 Composite Ceramic" Lubricants 12, no. 6: 219. https://doi.org/10.3390/lubricants12060219
APA StyleLi, W., Dong, J., Xu, D., Dong, Y., Iqbal, S., Li, J., Luo, T., & Cao, B. (2024). Laser-Induced Graphene/h-BN Laminated Structure to Enhance the Self-Lubricating Property of Si3N4 Composite Ceramic. Lubricants, 12(6), 219. https://doi.org/10.3390/lubricants12060219
