Optimizing Load Capacity Predictions in Gas Foil Thrust Bearings: A Novel Full-Ramp Model
Abstract
1. Introduction
2. GFTB Mathematical Model
2.1. Gas Film Thickness Model
2.2. Thin-Film Lubrication Model
- (1)
 - The flow is assumed to be laminar, the gas pressure is constant in the direction of the gas film thickness, and the gas velocity along that direction is zero.
 - (2)
 - The gas is treated as an ideal gas with constant viscosity.
 - (3)
 - The effect of inertial force is neglected.
 - (4)
 - There is no relative sliding on the bearing surface.
 
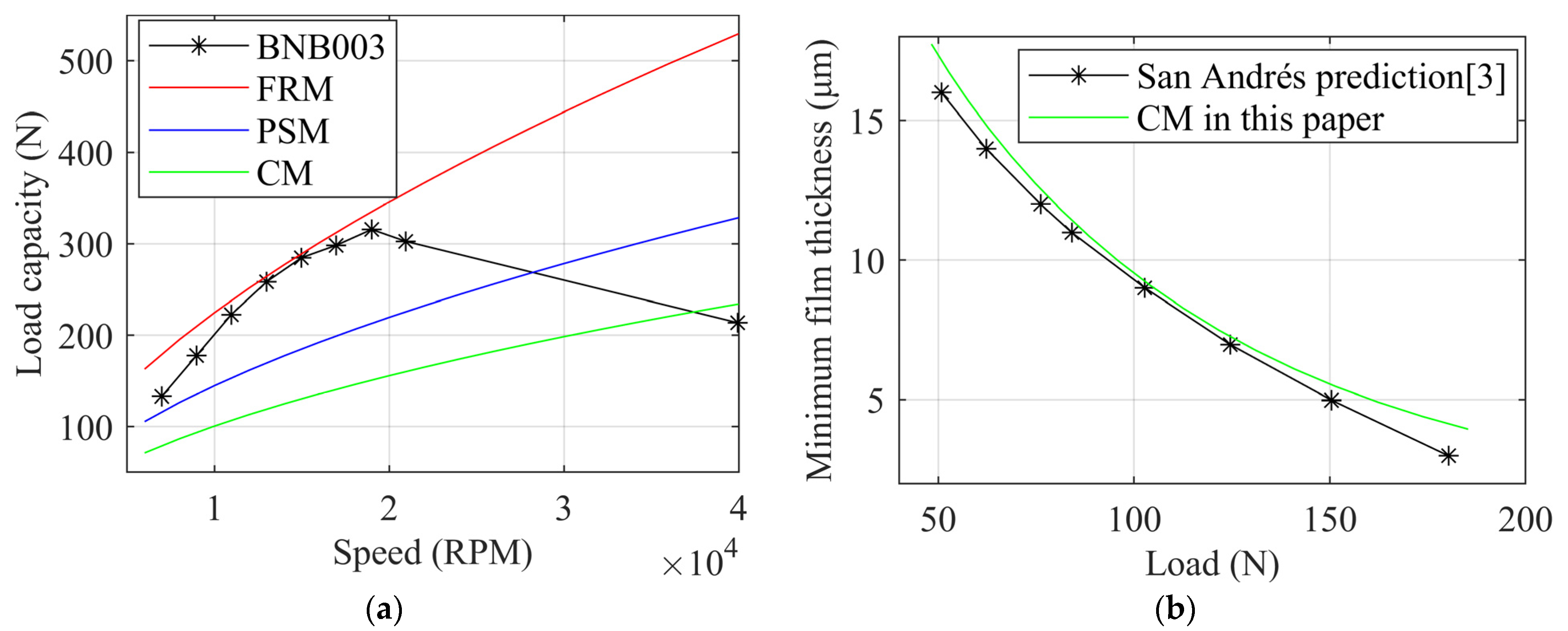
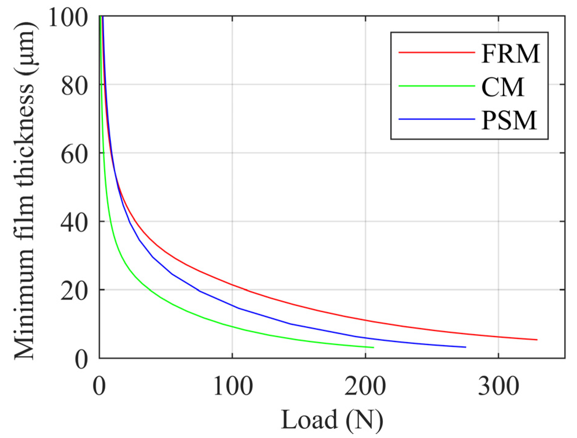
3. Comparison with Publicly Available Datasets
4. Parametric Study of the Load Capacity
4.1. Ramp Height
4.2. Top Foil Thickness
4.3. Bump Foil Stiffness
4.4. Ramp Section Extent
4.5. Top Foil Area
5. Conclusions
Author Contributions
Funding
Data Availability Statement
Conflicts of Interest
References
- Peng, J.-P.; Carpino, M. Calculation of Stiffness and Damping Coefficients for Elastically Supported Gas Foil Bearings. J. Tribol. 1993, 115, 20–27. [Google Scholar] [CrossRef]
 - Heshmat, H. Advancements in the performance of aerodynamic foil journal bearings—High-speed and load capability. J. Tribol.-Trans. ASME 1994, 116, 287–295. [Google Scholar] [CrossRef]
 - Dellacorte, C.; Valco, M. Load capacity estimation of foil air journal bearings for oil-free turbomachinery applications. Tribol. Trans. 2000, 43, 795–801. [Google Scholar] [CrossRef]
 - Ying, M.; Liu, X.; Zhang, C.; Wang, X.; Liu, Y.; Zhang, Y. The Two-Pad: A Novel Gas Foil Bearing for Fuel Cell Vehicles. Int. J. Energy Res. 2023, 2023, 5521171. [Google Scholar] [CrossRef]
 - Ying, M.; Liu, X.; Zhang, Y.; Zhang, C. Impact of Gas Foil Bearings, Labyrinth Seals, and Impellers on the Critical Speed of Centrifugal Compressors for Fuel Cell Vehicles: A Comprehensive Investigation. Lubricants 2023, 11, 532. [Google Scholar] [CrossRef]
 - Park, D.; Kim, C.; Jang, G.; Lee, Y. Theoretical considerations of static and dynamic characteristics of air foil thrust bearing with tilt and slip flow. Tribol. Int. 2008, 41, 282–295. [Google Scholar] [CrossRef]
 - Conboy, T. Real-Gas Effects in Foil Thrust Bearings Operating in the Turbulent Regime. J. Tribol.-Trans. ASME 2013, 135, 031703. [Google Scholar] [CrossRef]
 - Samanta, P.; Murmu, N.C.; Khonsari, M.M. The evolution of foil bearing technology. Tribol. Int. 2019, 135, 305–323. [Google Scholar] [CrossRef]
 - Gao, Q.; Sun, W.; Zhang, J. Optimal design of top-foil wedge shape for a specific multi-layer gas foil thrust bearing by considering aerodynamic and thermal performances. Therm. Sci. Eng. Prog. 2023, 44, 102060. [Google Scholar] [CrossRef]
 - Guan, H.; Li, J.; Wei, K.; Zou, H. Rotordynamics of a rotor radially and axially supported by active bump-type foil bearings and bump-type thrust foil bearings. Mech. Syst. Signal Process. 2024, 208, 110995. [Google Scholar] [CrossRef]
 - Gad, A.; Kaneko, S. A New Structural Stiffness Model for Bump-Type Foil Bearings: Application to Generation II Gas Lubricated Foil Thrust Bearing. J. Tribol.-Trans. ASME 2014, 136, 041701. [Google Scholar] [CrossRef]
 - Gad, A.M.; Kaneko, S. Tailoring of the bearing stiffness to enhance the performance of gas-lubricated bump-type foil thrust bearing. Proc. Inst. Mech. Eng. Part J J. Eng. Tribol. 2016, 230, 541–560. [Google Scholar] [CrossRef]
 - Liu, X.; Li, C.; Du, J.; Nan, G. Thermal Characteristics Study of the Bump Foil Thrust Gas Bearing. Appl. Sci. 2021, 11, 4311. [Google Scholar] [CrossRef]
 - Chen, R.; Zhao, Y.; Yao, J.; Wang, Z. Research on the performance of foil thrust bearings under dynamic disturbances. Tribol. Int. 2022, 174, 107744. [Google Scholar] [CrossRef]
 - Xu, Z.; Li, C.; Du, J.; Li, J.; Wang, Y. Load-carrying characteristics of bump-type gas foil thrust bearings. Int. J. Mech. Sci. 2023, 244, 108080. [Google Scholar] [CrossRef]
 - Xu, F.; Chu, J.; Sha, L. Air foil thrust bearings with top foil sagging: Theoretical predictions and experiments. Tribol. Int. 2023, 177, 107995. [Google Scholar] [CrossRef]
 - Kim, T.H.; Lee, T.W. Design Optimization of Gas Foil Thrust Bearings for Maximum Load Capacity. In Proceedings of the ASME Turbo Expo 2015: Turbine Technical Conference and Exposition, Montreal, QC, Canada, 15–19 June 2015. [Google Scholar] [CrossRef]
 - Kim, T.H.; Park, M.; Lee, T.W. Design Optimization of Gas Foil Thrust Bearings for Maximum Load Capacity. J. Tribol. 2017, 139, 031705. [Google Scholar] [CrossRef]
 - Lee, Y.; Kim, T.; Kim, C.; Kim, T. Thrust Bump Air Foil Bearings with Variable Axial Load: Theoretical Predictions and Experiments. Tribol. Trans. 2011, 54, 902–910. [Google Scholar] [CrossRef]
 - Heshmat, C.; Xu, D.; Heshmat, H. Analysis of gas lubricated foil thrust bearings using coupled finite element and finite difference methods. J. Tribol.-Trans. ASME 2000, 122, 199–204. [Google Scholar] [CrossRef]
 - Iordanoff, I. Analysis of an aerodynamic compliant foil thrust bearing: Method for a rapid design. J. Tribol. 1999, 121, 816–822. [Google Scholar] [CrossRef]
 - Gad, A.M.; Kaneko, S. Performance characteristics of gas-lubricated bump-type foil thrust bearing. Proc. Inst. Mech. Eng. Part J J. Eng. Tribol. 2015, 229, 746–762. [Google Scholar] [CrossRef]
 - Lehn, A.; Mahner, M.; Schweizer, B. A thermo-elasto-hydrodynamic model for air foil thrust bearings including self-induced convective cooling of the rotor disk and thermal runaway. Tribol. Int. 2018, 119, 281–298. [Google Scholar] [CrossRef]
 - Hu, H.; Feng, M. Influence of wedge shape on the performance of air foil thrust bearings. Ind. Lubr. Tribol. 2021, 73, 23–32. [Google Scholar] [CrossRef]
 - Feng, K.; Liu, L.-J.; Guo, Z.-Y.; Zhao, X.-Y. Parametric study on static and dynamic characteristics of bump-type gas foil thrust bearing for oil-free turbomachinery. Proc. Inst. Mech. Eng. Part J J. Eng. Tribol. 2016, 230, 944–961. [Google Scholar] [CrossRef]
 - Walowit, J.A.; Anno, J.N. Modern Developments in Lubrication Mechanics; Applied Science Publishers: London, UK, 1975. [Google Scholar]
 - de Borst, R.; Crisfield, M.A. (Eds.) Nonlinear Finite Element Analysis of Solids and Structures, 2nd ed.; Wiley: Hoboken, NJ, USA, 2012; ISBN 978-0-470-66644-9. [Google Scholar]
 - Dickman, J.R. An Investigation of Gas Foil Thrust Bearing Performance and Its Influencing Factors. Master Thesis, Case Western Reserve University, Cleveland, OH, USA, 2010. [Google Scholar]
 - Dykas, B.; Bruckner, R.; DellaCorte, C.; Edmonds, B.; Prahl, J. Design, Fabrication, and Performance of Foil Gas Thrust Bearings for Microturbomachinery Applications. J. Eng. Gas Turbines Power-Trans. ASME 2009, 131, 012301. [Google Scholar] [CrossRef]
 - San Andrés, L.; Ryu, K.; Diemer, P. Prediction of Gas Thrust Foil Bearing Performance for Oil-Free Automotive Turbochargers. J. Eng. Gas Turbines Power 2015, 137, 032502. [Google Scholar] [CrossRef]
 
















| Parameters | Value | 
|---|---|
| Bearing outer radius, R | 50.8 mm | 
| Bearing inner radius, r | 25.4 mm | 
| Number of pads, N | 6 | 
| Ramp section extent, β | 15° | 
| Flat section extent, α | 30° | 
| Top foil thickness, tTF | 0.1524 mm | 
| Top foil Young’s modulus, E | 214 GPa | 
| Top foil Poisson’s ratio, v | 0.29 | 
| Bump pitch, s0 | 5.0 mm | 
| Bump half length, l0 | 1.6 mm | 
| Bump height, hBF | 0.5 mm | 
| Bump foil thickness, tBF | 0.102 mm | 
| Bump foil stiffness, KBF | 6.44 N/mm3 | 
| Structural loss factor, μ | 0.2 | 
| Ramp height, ∆h | 50 μm | 
| Air temperature, T | 65 °C | 
| Ambient pressure, pa | 1 atm | 
Disclaimer/Publisher’s Note: The statements, opinions and data contained in all publications are solely those of the individual author(s) and contributor(s) and not of MDPI and/or the editor(s). MDPI and/or the editor(s) disclaim responsibility for any injury to people or property resulting from any ideas, methods, instructions or products referred to in the content.  | 
© 2024 by the authors. Licensee MDPI, Basel, Switzerland. This article is an open access article distributed under the terms and conditions of the Creative Commons Attribution (CC BY) license (https://creativecommons.org/licenses/by/4.0/).
Share and Cite
Ying, M.; Liu, X.; Zhang, Y.; Zhang, C. Optimizing Load Capacity Predictions in Gas Foil Thrust Bearings: A Novel Full-Ramp Model. Lubricants 2024, 12, 76. https://doi.org/10.3390/lubricants12030076
Ying M, Liu X, Zhang Y, Zhang C. Optimizing Load Capacity Predictions in Gas Foil Thrust Bearings: A Novel Full-Ramp Model. Lubricants. 2024; 12(3):76. https://doi.org/10.3390/lubricants12030076
Chicago/Turabian StyleYing, Ming, Xinghua Liu, Yue Zhang, and Chongbin Zhang. 2024. "Optimizing Load Capacity Predictions in Gas Foil Thrust Bearings: A Novel Full-Ramp Model" Lubricants 12, no. 3: 76. https://doi.org/10.3390/lubricants12030076
APA StyleYing, M., Liu, X., Zhang, Y., & Zhang, C. (2024). Optimizing Load Capacity Predictions in Gas Foil Thrust Bearings: A Novel Full-Ramp Model. Lubricants, 12(3), 76. https://doi.org/10.3390/lubricants12030076
        
