Viscoelastic Water-Based Lubricants with Nopal Cactus Mucilage as Green Metalworking Fluids
Abstract
1. Introduction
2. Materials and Methods
2.1. Preparation of Fluid Samples
2.2. Determination of the Weight-Average Molecular Weight (MW) of the Mucilage
2.3. Rheological Testing of the Fluids
2.4. Tribological Testing
2.5. Turning Test
2.6. Thermal Stability Analysis
3. Results and Discussion
3.1. Rheological Behavior of Nopal Mucilage Solutions and Cutting Fluid
3.2. Tribological Properties
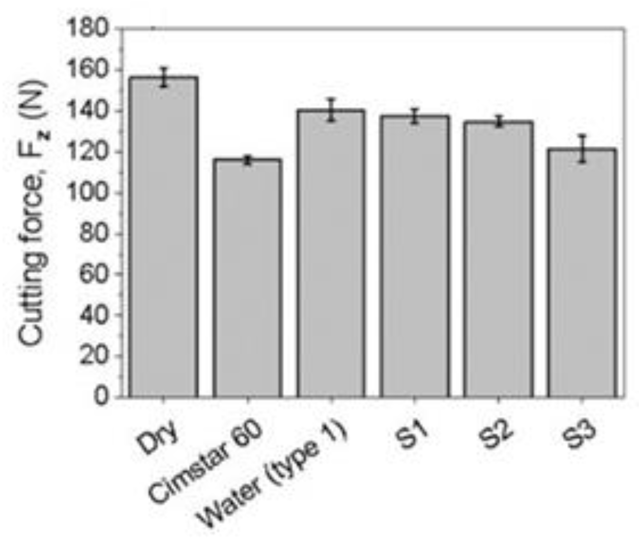
3.3. Turning Performance
3.4. Thermal Stability
4. Conclusions
Author Contributions
Funding
Data Availability Statement
Acknowledgments
Conflicts of Interest
References
- Zhou, S.-S.; Song, J.-J.; Xu, P.; He, M.; Xu, M.-B.; You, F.-C. A Review on Tribology Characterization and Lubricants for Water-Based Drilling Fluids. Geoenergy Sci. Eng. 2023, 229, 212074. [Google Scholar] [CrossRef]
- Rahman, M.H.; Warneke, H.; Webbert, H.; Rodriguez, J.; Austin, E.; Tokunaga, K.; Rajak, D.K.; Menezes, P.L. Water-based lubricants: Development, properties, and performances. Lubricants 2021, 9, 73. [Google Scholar] [CrossRef]
- Menezes, P.L.; Ingole, S.P.; Nosonovsky, M.; Kailas, S.V.; Lovell, M.R. Tribology for Scientists and Engineers; Springer: New York, NY, USA, 2013. [Google Scholar]
- Lu, Q.; Zhang, T.; He, B.; Xu, F.; Liu, S.; Ye, Q.; Zhou, F. Enhanced Lubricity and anti-wear performance of zwitterionic polymer-modified N-enriched porous carbon nanosheets as water-based lubricant additive. Tribol. Int. 2022, 167, 107421. [Google Scholar] [CrossRef]
- Yang, X.; Jiang, G.; Liu, F.; He, Y.; Liu, R.; Dong, T. Lubricity and mechanism of Catechol-based biomimetic lubricant in water-based drilling fluid. Tribol. Int. 2023, 188, 108862. [Google Scholar] [CrossRef]
- Wu, H.; Zhao, J.; Xia, W.; Cheng, X.; He, A.; Yun, J.H.; Wang, L.; Huang, H.; Jiao, S.; Huang, L.; et al. A study of the tribological behaviour of TiO2 nano-additive water-based lubricants. Tribol. Int. 2017, 109, 398–408. [Google Scholar] [CrossRef]
- Liu, C.; Guo, Y.; Wang, D. Pei-RGO nanosheets as a nanoadditive for enhancing the tribological properties of water-based lubricants. Tribol. Int. 2019, 140, 105851. [Google Scholar] [CrossRef]
- Sagraloff, N.; Dobler, A.; Tobie, T.; Stahl, K.; Ostrowski, J. Development of an oil free water-based lubricant for Gear Applications. Lubricants 2019, 7, 33. [Google Scholar] [CrossRef]
- Wijanarko, W.; Khanmohammadi, H.; Espallargas, N. Ionic liquid additives in water-based lubricants for bearing steel-effect of electrical conductivity and ph on surface chemistry, friction and Wear. Front. Mech. Eng. 2022, 7, 756929. [Google Scholar] [CrossRef]
- Aguilar-Rosas, O.; Blanco, S.; Flores, M.; Shirai, K.; Farfan-Cabrera, L.I. Partially deacetylated and fibrillated shrimp waste-derived chitin as biopolymer emulsifier for green cutting fluids—Towards a cleaner production. Polymers 2022, 14, 525. [Google Scholar] [CrossRef]
- Katna, R.; Suhaib, M.; Agrawal, N. Nonedible vegetable oil-based cutting fluids for machining processes—A Review. Mater. Manuf. Process. 2019, 35, 1–32. [Google Scholar] [CrossRef]
- Farfan-Cabrera, L.I.; Rojo-Valerio, A.; de Calderon-Najera, J.; Coronado-Apodaca, K.G.; Iqbal HM, N.; Parra-Saldivar, R.; Franco-Morgado, M.; Elias-Zuñiga, A. Microalgae oil-based metal working fluids for sustainable minimum quantity lubrication (MQL) operations—A perspective. Lubricants 2023, 11, 215. [Google Scholar] [CrossRef]
- Nee, A.C. Handbook of Manufacturing Engineering and Technology; Springer: Berlin/Heidelberg, Germany, 2014. [Google Scholar]
- Li, K.; Aghazadeh, F.; Hatipkarasulu, S.; Ray, T.G. Health risks from exposure to metal-working fluids in machining and grinding operations. Int. J. Occup. Saf. Ergon. 2003, 9, 75–95. [Google Scholar] [CrossRef] [PubMed]
- Wickramasinghe, K.C.; Sasahara, H.; Rahim, E.A.; Perera, G.I.P. Green metalworking fluids for sustainable machining applications: A Review. J. Clean. Prod. 2020, 257, 120552. [Google Scholar] [CrossRef]
- Bambam, A.K.; Dhanola, A.; Gajrani, K.K. A critical review on halogen-free ionic liquids as potential metalworking fluid additives. J. Mol. Liq. 2023, 380, 121727. [Google Scholar] [CrossRef]
- Amiril SA, S.; Rahim, E.A.; Embong, Z.; Syahrullail, S. Tribological investigations on the application of oil-miscible ionic liquids additives in modified jatropha-based metalworking fluid. Tribol. Int. 2018, 120, 520–534. [Google Scholar] [CrossRef]
- Nessakh, F.Z.; Mutelet, F.; Negadi, A. Efficiency of two working fluids constituted of a deep eutectic solvent and water in absorption heat transformer. Int. J. Energy Res. 2022, 46, 23578–23594. [Google Scholar] [CrossRef]
- Hayashi, H. Recent studies on fluid film lubrication with non-newtonian lubricants. JSME Int. J. Ser. 3 Vib. Control.Eng. Eng. Ind. 1991, 34, 1–11. [Google Scholar] [CrossRef]
- Marx, N.; Fernández, L.; Barceló, F.; Spikes, H. Shear thinning and hydrodynamic friction of viscosity modifier-containing oils. Part I: Shear thinning behaviour. Tribol. Lett. 2018, 66, 92. [Google Scholar] [CrossRef]
- Bair, S. Elastohydrodynamic film forming with shear thinning liquids. J. Tribol. 1998, 120, 173–178. [Google Scholar] [CrossRef]
- Bair, S.; Vergne, P.; Marchetti, M. The effect of shear-thinning on film thickness for space lubricants. Tribol. Trans. 2002, 45, 330–333. [Google Scholar] [CrossRef]
- Bair, S.; Habchi, W.; Sperka, P.; Hartl, M. Quantitative elastohydrodynamic film forming for a gear oil with complex shear-thinning. Proc. Inst. Mech.Eng. Part J J. Eng. Tribol. 2015, 230, 289–299. [Google Scholar] [CrossRef]
- Bair, S.; Khonsari, M.; Winer, W.O. High-pressure rheology of lubricants and limitations of the Reynolds equation. Tribol. Int. 1998, 31, 573–586. [Google Scholar] [CrossRef]
- Hutton, J.F.; Jackson, K.P.; Williamson, B.P. The effects of lubricant rheology on the performance of journal Bearings. ASLE Trans. 1986, 29, 52–60. [Google Scholar] [CrossRef]
- Veltkamp, B.; Jagielka, J.; Velikov, K.P.; Bonn, D. Lubrication with non-newtonian fluids. Phys. Rev. Appl. 2023, 19, 014056. [Google Scholar] [CrossRef]
- Albuquerque, T.G.; Pereira, P.; Silva, M.A.; Vicente, F.; Ramalho, R.; Costa, H.S. Chapter 44—Prickly pear. In Nutritional Composition and Antioxidant Properties of Fruits and Vegetables; Jaiswal, A.K., Ed.; Academic Press: Cambridge, MA, USA, 2020; pp. 709–728. [Google Scholar] [CrossRef]
- El-Mostafa, K.; El Kharrassi, Y.; Badreddine, A.; Andreoletti, P.; Vamecq, J.; El Kebbaj, M.; Latruffe, N.; Lizard, G.; Nasser, B.; Cherkaoui-Malki, M. Nopal cactus (opuntia ficus-indica) as a source of bioactive compounds for nutrition, health and disease. Molecules 2014, 19, 14879–14901. [Google Scholar] [CrossRef]
- Stintzing, F.C.; Schieber, A.; Carle, R. Phytochemical and nutritional significance of Cactus Pear. Eur. Food Res. Technol. 2001, 212, 396–407. [Google Scholar] [CrossRef]
- Vargas-Solano, S.V.; Rodríguez-González, F.; Martínez-Velarde, R.; Campos-Mendiola, R.; Hurtado-Salgado, M.A.; Muthuswamy Ponniah, J. Chemical composition of pear cactus mucilage at different maturity stages. Agrociencia 2022, 56, 126. [Google Scholar] [CrossRef]
- Trachtenberg, S.; Mayer, A.M. Composition and properties of Opuntia ficus-indica mucilage. Phytochemistry 1981, 20, 2665–2668. [Google Scholar] [CrossRef]
- Goycoolea, M.; Cárdenas, A. Pectins from Opuntia spp.: A short review. J. Prof. Assoc. Cactus Dev. 2003, 5, 17–29. [Google Scholar]
- Rodríguez-González, F.; Pérez-González, J.; Muñoz-López, C.N.; Vargas-Solano, S.V.; Marín-Santibáñez, B.M. Influence of age on molecular characteristics and rheological behavior of nopal mucilage. Food Sci. Nutr. 2021, 9, 6776–6785. [Google Scholar] [CrossRef] [PubMed]
- Tosif, M.M.; Najda, A.; Bains, A.; Kaushik, R.; Dhull, S.B.; Chawla, P.; Walasek-Janusz, M. A comprehensive review on plant-derived mucilage: Characterization, functional properties, applications, and its utilization for Nanocarrier Fabrication. Polymers 2021, 13, 1066. [Google Scholar] [CrossRef] [PubMed]
- Maki-Díaz, G.; Peña-Valdivia, C.B.; García-Nava, R.; Arévalo-Galarza, M.L.; Calderón-Zavala, G.; Anaya-Rosales, S. Características físicas y químicas de nopal verdura (Opuntia ficus-indica) para exportación y consumo nacional. Agrociencia 2015, 49, 31–51. [Google Scholar]
- Standard D4172-21; Standard Test Method for Wear Preventive Characteristics of Lubricating Fluid (Four-Ball Method). ASTM International: West Conshohocken, PA, USA, 2021. Available online: www.astm.org (accessed on 25 January 2024).
- Singh, G.; Aggarwal, V.; Singh, S. Critical review on ecological, economical and technological aspects of minimum quantity lubrication towards sustainable machining. J. Clean. Prod. 2020, 271, 122185. [Google Scholar] [CrossRef]
- Bair, S.; Qureshi, F. Ordinary shear thinning behavior and its effect upon EHL film thickness. Tribol. Ser. 2003, 41, 693–699. [Google Scholar] [CrossRef]
- Wang, Y.; Azam, A.; Zhang, G.; Dorgham, A.; Liu, Y.; Wilson, M.C.; Neville, A. Understanding the mechanism of load-carrying capacity between parallel rough surfaces through a deterministic mixed lubrication model. Lubricants 2022, 10, 12. [Google Scholar] [CrossRef]
- Hu, S.; Meng, F.; Doi, M. Effect of fluid viscoelasticity, shear stress, and interface tension on the lift force in lubricated contacts. J. Chem. Phys. 2023, 159. [Google Scholar] [CrossRef] [PubMed]
- Farfan-Cabrera, L.I.; Franco-Morgado, M.; González-Sánchez, A.; Pérez-González, J.; Marín-Santibáñez, B.M. Microalgae biomass as a new potential source of sustainable green lubricants. Molecules 2022, 27, 1205. [Google Scholar] [CrossRef]
- Zainal, N.A.; Zulkifli NW, M.; Gulzar, M.; Masjuki, H.H. A review on the chemistry, production, and technological potential of bio-based lubricants. Renew. Sustain. Energy Rev. 2018, 82, 80–102. [Google Scholar] [CrossRef]
- Ramadan, M.F.; Mörsel, J.T. Recovered lipids from prickly pear [opuntia ficus-indica (L.) mill] peel: A good source of polyunsaturated fatty acids, natural antioxidant vitamins and sterols. Food Chem. 2003, 83, 447–456. [Google Scholar] [CrossRef]
- Aguilar-Rosas, O.A.; Alvis-Sánchez, J.A.; Tormos, B.; Marín-Santibáñez, B.M.; Pérez-González, J.; Farfan-Cabrera, L.I. Enhancement of low-viscosity synthetic oil using graphene nanoparticles as additives for enduring electrified tribological environments. Tribol. Int. 2023, 188, 108848. [Google Scholar] [CrossRef]
- Nagabhooshanam, N.; Baskar, S.; Prabhu, T.R.; Arumugam, S. Evaluation of tribological characteristics of nano zirconia dispersed biodegradable canola oil methyl ester metalworking fluid. Tribol. Int. 2020, 151, 106510. [Google Scholar] [CrossRef]








| Parameter | Value | |
|---|---|---|
| Fluid sample quantity (mL) | 25 | |
| Starting temperature (°C) | 25 ± 1 | |
| Relative humidity (%) | 36 | |
| Machine speed (RPM) | 1200 | |
| Load (kg) | 40 | |
| Length of lever arm (cm) | 5.275 | |
| Test duration (min) | Water (type 1) | 3 |
| Cimstar 60 in tap water | 35 | |
| S1 | 10 | |
| S2 | 19 | |
| S3 | 25 | |
| Test repeats | 3 | |
| Parameter | Type/Value | |
|---|---|---|
| Lubrication | Lubrication type | MQL |
| Fluid feed (m3/h) | 4 × 10−5 | |
| Air pressure (MPa) | 0.4 | |
| Fluid nozzle diameter (mm) | 20 | |
| Nozzle–workpiece distance (mm) | 0.4 | |
| Cutting process | Workpiece material | AISI 1018 steel bars (25.4 mm diameter) |
| Cutting tool | WNmG 080404e-Fm Grade T9325 (Pramet) coated carbide insert | |
| Surface speed (m/min) | 70 | |
| Rotational speed (RPM) | 860 | |
| Feed (mm/rev) | 0.15 | |
| Cutting time (s) | 39 ± 2 | |
| Depth of cut (mm) | 0.5 | |
| Room temperature (°C) | 25 ± 1 | |
| Test repeats | 4 | |
| Nopal Mucilage Solutions | Cross Model Parameters | |||
|---|---|---|---|---|
| η0 (mPa-s) | η∞ (mPa-s) | c (s) | p (1) | |
| S1 | 2.76 ± 0.019 | 2.12 ± 0.004 | 0.073 ± 0.003 | 1.26 ± 0.04 |
| S2 | 5.52 ± 0.059 | 2.87 ± 0.048 | 0.067 ± 0.002 | 0.832 ± 0.039 |
| S3 | 9.61 ± 0.119 | 3.38 ± 0.043 | 0.062 ± 0.002 | 0.751 ± 0.022 |
Disclaimer/Publisher’s Note: The statements, opinions and data contained in all publications are solely those of the individual author(s) and contributor(s) and not of MDPI and/or the editor(s). MDPI and/or the editor(s) disclaim responsibility for any injury to people or property resulting from any ideas, methods, instructions or products referred to in the content. |
© 2024 by the authors. Licensee MDPI, Basel, Switzerland. This article is an open access article distributed under the terms and conditions of the Creative Commons Attribution (CC BY) license (https://creativecommons.org/licenses/by/4.0/).
Share and Cite
Farfan-Cabrera, L.I.; Aguilar-Rosas, O.A.; Pérez-González, J.; Marín-Santibañez, B.M.; Rodríguez-González, F. Viscoelastic Water-Based Lubricants with Nopal Cactus Mucilage as Green Metalworking Fluids. Lubricants 2024, 12, 56. https://doi.org/10.3390/lubricants12020056
Farfan-Cabrera LI, Aguilar-Rosas OA, Pérez-González J, Marín-Santibañez BM, Rodríguez-González F. Viscoelastic Water-Based Lubricants with Nopal Cactus Mucilage as Green Metalworking Fluids. Lubricants. 2024; 12(2):56. https://doi.org/10.3390/lubricants12020056
Chicago/Turabian StyleFarfan-Cabrera, Leonardo I., Oscar A. Aguilar-Rosas, José Pérez-González, Benjamín M. Marín-Santibañez, and Francisco Rodríguez-González. 2024. "Viscoelastic Water-Based Lubricants with Nopal Cactus Mucilage as Green Metalworking Fluids" Lubricants 12, no. 2: 56. https://doi.org/10.3390/lubricants12020056
APA StyleFarfan-Cabrera, L. I., Aguilar-Rosas, O. A., Pérez-González, J., Marín-Santibañez, B. M., & Rodríguez-González, F. (2024). Viscoelastic Water-Based Lubricants with Nopal Cactus Mucilage as Green Metalworking Fluids. Lubricants, 12(2), 56. https://doi.org/10.3390/lubricants12020056

