Effects of Oil and Solid Body Temperatures on Elastohydrodynamic Lubrication Film Formation
Abstract
1. Introduction
2. Test Apparatus and Heating Methods
3. Numerical Model and Governing Equations
3.1. Temperature-Governing Equations
3.2. Non-Newtonian Rheological Model
3.3. Numerical Solutions
4. Results and Discussion
4.1. Comparisons of Test Results and Simulations
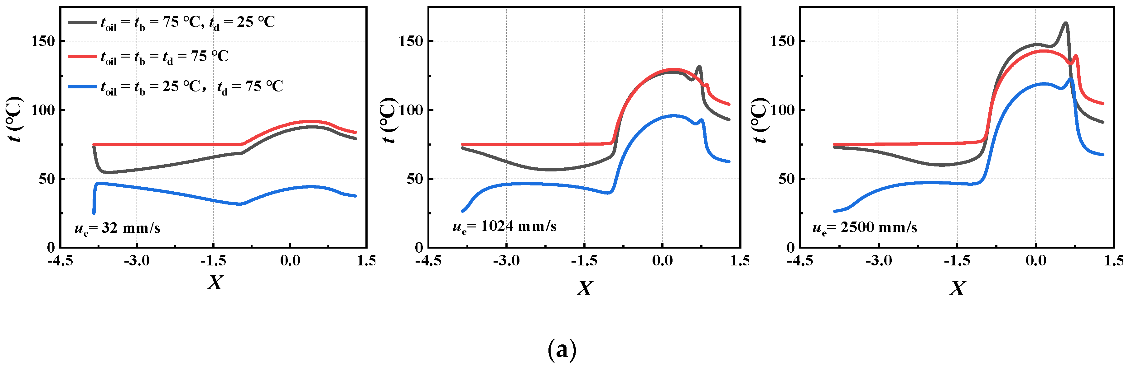
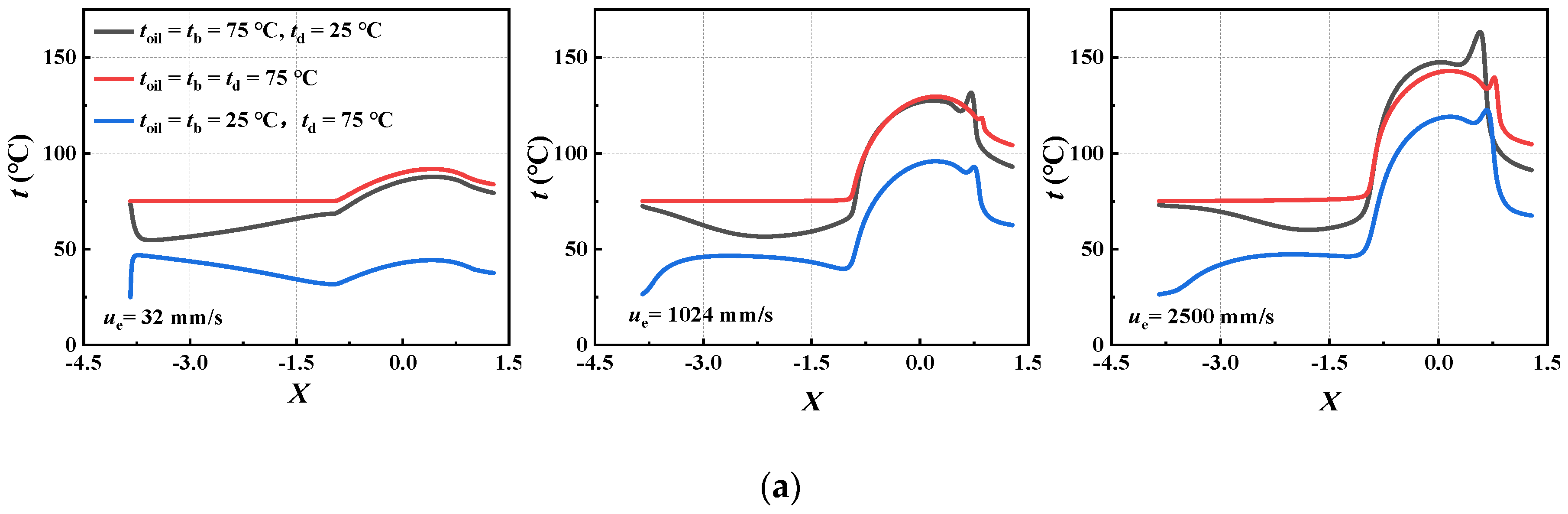
4.2. Numerical Simulation of Oil and Solid Body Temperatures on EHL Film Formation
5. Conclusions
Author Contributions
Funding
Data Availability Statement
Conflicts of Interest
References
- Takabi, J.; Khonsari, M. On the thermally-induced seizure in bearings: A review. Tribol. Int. 2015, 91, 118–130. [Google Scholar] [CrossRef]
- Cui, L.; Zhang, H.S. Limiting speeds of high-speed ball bearings considering prevention of skidding and overheating conditions. Adv. Mech. Eng. 2019, 11, 1–11. [Google Scholar] [CrossRef]
- Morales-Espejel, G.E.; Gabelli, A. A model for rolling bearing life with surface and subsurface survival: Surface thermal effects. Wear 2020, 460–461, 203446. [Google Scholar] [CrossRef]
- Zhou, X.W.; Zhang, H.; Hao, X.; Liao, X.; Han, Q.K. Investigation on thermal behavior and temperature distribution of bearing inner and outer rings. Tribol. Int. 2018, 130, 289–298. [Google Scholar] [CrossRef]
- Jiang, S.; Mao, H. Investigation of the high speed rolling bearing temperature rise with oil-air lubrication. J. Tribol. 2011, 133, 021101. [Google Scholar] [CrossRef]
- Lugt, P.M. Modern advancements in lubricating grease technology. Tribol. Int. 2016, 97, 467–477. [Google Scholar] [CrossRef]
- Peretiaka, N.; Boryak, K.; Vatrenko, O. Improving the thermal method for assessing the technical condition of rolling bearings based on the heating rate criterion. East. Eur. J. Enterp. Technol. 2020, 5, 118–126. [Google Scholar] [CrossRef]
- Omasta, M.; Adam, J.; Sperka, P.; Krupka, I.; Hartl, M. On the temperature and lubricant film thickness distribution in EHL contacts with arbitrary entrainment. Lubricants 2018, 6, 101. [Google Scholar] [CrossRef]
- Habchi, W.; Eyheramendy, D.; Bair, S.; Vergne, P. Thermal elastohydrodynamic lubrication of point contacts using a newtonian/generalized newtonian lubricant. Tribol. Lett. 2008, 30, 41–52. [Google Scholar] [CrossRef]
- Lu, J.; Reddyhoff; Dini, D. A study of thermal effects in EHL rheology and friction using infrared microscopy. Tribol. Int. 2020, 146, 106179. [Google Scholar] [CrossRef]
- Liu, H.; Zhang, B.; Bader, N.; Poll, G.; Venner, C. Influences of solid and lubricant thermal conductivity on traction in an EHL circular contact. Tribol. Int. 2020, 146, 106059. [Google Scholar] [CrossRef]
- Wang, H.; Qian, S.; Ni, Z.; Huang, C.; Zhao, Y. Experimental investigation on the rheological properties of castor oil at different temperatures. Proc. Inst. Mech. Eng. Part J J. Eng. Tribol. 2018, 232, 861–870. [Google Scholar] [CrossRef]
- White, B.; Lewis, R. Simulation and understanding the wet-rail phenomenon using twin disc testing. Tribol. Int. 2019, 136, 475–486. [Google Scholar] [CrossRef]
- Liu, H.C.; Zhang, B.B.; Bader, N.; Venner, C.H.; Poll, G. Simplified traction prediction for highly loaded rolling/sliding EHL contacts. Tribol. Int. 2020, 148, 106335. [Google Scholar] [CrossRef]
- Hamrock, B.J.; Dowson, D. Isothermal elastohydrodynamic lubrication of point contacts: Part II—Ellipticity parameter results. J. Lubr. Technol. 1976, 98, 375–381. [Google Scholar] [CrossRef]
- Bair, S. Shear thinning correction for rolling/sliding elastohydrodynamic film thickness. Proc. Inst. Mech. Eng. Part J J. Eng. Tribol. 2005, 219, 69–74. [Google Scholar] [CrossRef]
- Hartinger, M.; Dumont, M.; Ioannides, S.; Gosman, D.; Spikes, H. CFD modeling of a thermal and shear-thinning elastohydrodynamic line contact. J. Tribol. 2008, 130, 041503. [Google Scholar] [CrossRef]
- Yagi, K.; Kyogoku, K.; Nakahara, T. Relationship between temperature distribution in EHL film and dimple formation. J. Tribol. 2005, 127, 658–665. [Google Scholar] [CrossRef]
- Yagi, K.; Sugimura, J.; Vergne, P. Rheological response of fatty alcohols in sliding elastohydrodynamic contacts. Tribol. Int. 2012, 49, 58–66. [Google Scholar] [CrossRef]
- Zhang, B.B.; Wang, J.; Omasta, M.; Kaneta, M. Variation of surface dimple in point contact thermal EHL under ZEV condition. Tribol. Int. 2016, 94, 383–394. [Google Scholar] [CrossRef]
- Björling, M.; Habchi, W.; Bair, S.; Larsson, R.; Marklund, P. Towards the true prediction of EHL friction. Tribol. Int. 2013, 66, 19–26. [Google Scholar] [CrossRef]
- Zhu, D.; Wen, S.Z. A full numerical solution for the thermoelastohydrodynamic problem in elliptical contacts. J. Tribol. 1984, 106, 246–254. [Google Scholar] [CrossRef]
- Kim, H.J.; Ehret, P.; Dowson, D.; Taylor, C.M. Thermal elastohydrodynamic analysis of circular contacts part 2: Non-Newtonian model. Proc. Inst. Mech. Eng. Part J J. Eng. Tribol. 2001, 215, 353–362. [Google Scholar] [CrossRef]
- Kim, K.H.; Sadeghi, F. Three-dimensional temperature distribution in EHD lubrication: Part II—Point contact and numerical formulation. J. Tribol. 1993, 115, 36–45. [Google Scholar] [CrossRef]
- Habchi, W.; Vergne, P.; Bair, S.; Andersson, O.; Eyheramendy, D.; Morales-Espejel, G.E. Influence of pressure and temperature dependence of thermal properties of a lubricant on the behaviour of circular TEHD contacts. Tribol. Int. 2010, 43, 1842–1850. [Google Scholar] [CrossRef]
- Doki-Thonon, T.; Fillot, N.; Morales Espejel, G.E.; Querry, M.; Philippon, D.; Devaux, N.; Vergne, P. A dual experimental/numerical approach for film thickness analysis in TEHL spinning skewing circular contacts. Tribol. Lett. 2013, 50, 115–126. [Google Scholar] [CrossRef]
- Guo, F.; Yang, P.; Qu, S. On the theory of thermal elastohydrodynamic lubrication at high slide-roll ratios-circular glass-steel contact solution at opposite sliding. J. Tribol. 2001, 123, 816–821. [Google Scholar] [CrossRef]
- Nakahara, T.; Yagi, K. Influence of temperature distributions in EHL film on its thickness under high slip ratio conditions. Tribol. Int. 2007, 40, 632–637. [Google Scholar] [CrossRef]
- Reddyhoff, T.; Spikes, H.A.; Olver, A.V. Improved infrared temperature mapping of elastohydrodynamic contacts. Proc. Inst. Mech. Eng. Part J J. Eng. Tribol. 2009, 223, 1165–1177. [Google Scholar] [CrossRef]
- Le Rouzic, J.; Reddyhoff, T. Development of infrared microscopy for measuring asperity contact temperatures. J. Tribol. 2013, 135, 021504. [Google Scholar] [CrossRef]
- Lu, J.; Reddyhoff, T.; Dini, D. 3D measurements of lubricant and surface temperatures within an elastohydrodynamic contact. Tribol. Lett. 2018, 66, 7. [Google Scholar] [CrossRef] [PubMed]
- Liu, H.C.; Zhang, B.B.; Bader, N. Crucial role of solid body temperature on elastohydrodynamic film thickness and traction. Tribol. Int. 2019, 131, 386–397. [Google Scholar] [CrossRef]
- Campos, A.; Sottomayor, A.; Seabra, J. Non-newtonian thermal analysis of an EHD contact lubricated with MIL-L-23699 oil. Tribol. Int. 2006, 39, 1732–1744. [Google Scholar] [CrossRef]
- Liu, X.; Yang, P. Influence of solid body temperature on the thermal EHL behavior in circular contacts. J. Tribol. 2008, 130, 014501. [Google Scholar] [CrossRef]
- Yang, P.; Liu, X. Effects of solid body temperature on the Non-Newtonian thermal elastohydrodynamic lubrication behaviour in point contacts. Proc. Inst. Mech. Eng. Part J J. Eng. Tribol. 2009, 223, 959–969. [Google Scholar] [CrossRef]
- Liu, H.C.; Guo, F.; Guo, L.; Wong, P.L. A dichromatic interference intensity modulation approach to measurement of lubricating film thickness. Tribol. Lett. 2015, 58, 15. [Google Scholar] [CrossRef]
- Cui, J.L.; Yang, P. A further investigation on the viscosity-density relation of lubricant and a quantitative numerical analysis for the generalized newtonian thermal EHL problem. Tribology 2016, 36, 679–686. [Google Scholar]
- Hamrock, B.J.; Dowson, D. Isothermal elastohydrodynamic lubrication of point contacts: Part III—Fully flooded results. J. Lubr. Technol. 1977, 99, 264–275. [Google Scholar] [CrossRef]













| Parameters | Specification |
|---|---|
| Density at 22 °C, ρ0, kg/m3 | 875 |
| Viscosity at 22 °C, η0, Pa·s | 0.23 |
| Specific heat of lubricant, c, J/kg·K | 2000 |
| Thermal conductivity of lubricant, k, W/m·K | 0.14 |
| Parameters | Specification |
|---|---|
| Specific heat of oil, c, J/kg·K | 2000 |
| Density of oil, ρ, kg/m3 | 875 |
| Thermal conductivity of oil, k, W/m·K | 0.14 |
| Effective modulus of steel–glass contact, E’, GPa | 123.9 |
| Specific heat of glass, cd, J/kg·K | 840 |
| Specific heat of steel, cb, J/kg·K | 470 |
| Density of glass, ρd, kg/m3 | 2500 |
| Density of steel, ρb, kg/m3 | 7850 |
| Thermal conductivity of glass, kd, W/m·K | 0.84 |
| Thermal conductivity of steel, kb, W/m·K | 46 |
| Velocity (mm/s) | 32 | 64 | 128 | 256 | 512 | 1024 | 1500 | 2048 |
| Temperature of disc (°C) | 68 | 64 | 56 | 52 | 46 | 43 | 40 | 40 |
| Nominal Temperature Conditions (°C) @ Speed | Actual Oil Temperature (°C) @ X = −3.0 | Actual Oil Temperature (°C) @ X = −1.5 | Actual Oil Temperature (°C) @ X = −1.0 |
|---|---|---|---|
| t0 = tb = 75, td = 25 @ ue = 32 mm/s | 57.29 | 67.10 | 69.60 |
| t0 = tb = 75, td = 25 @ ue = 256 mm/s | 55.39 | 62.77 | 68.99 |
| t0 = tb = 75, td = 25 @ ue = 1750 mm/s | 68.49 | 59.79 | 66.43 |
| t0 = tb = 25, td = 75 @ ue = 32 mm/s | 42.94 | 33.05 | 30.58 |
| t0 = tb = 25, td = 75 @ ue = 256 mm/s | 45.69 | 37.93 | 32.37 |
| t0 = tb = 25, td = 75 @ ue = 1750 mm/s | 41.42 | 44.51 | 41.95 |
| t0 = tb = td = 75 @ ue = 32 mm/s | 75.00 | 75.00 | 75.00 |
| t0 = tb = td = 75 @ ue = 256 mm/s | 75.00 | 75.02 | 75.09 |
| t0 = tb = td = 75 @ ue = 1750 mm/s | 75.11 | 75.45 | 76.27 |
| SRR | ue (mm/s) | ud (mm/s) | ub (mm/s) | Δu (mm/s) |
|---|---|---|---|---|
| 0 | 32 | 32 | 32 | 0 |
| 0 | 256 | 256 | 256 | 0 |
| 0 | 1750 | 1750 | 1750 | 0 |
| 0 | 2500 | 2500 | 2500 | 0 |
| 0.3 | 32 | 36.8 | 27.2 | 9.6 |
| 0.3 | 256 | 294.4 | 217.6 | 76.8 |
| 0.3 | 1750 | 2012.5 | 1487.5 | 525 |
| 0.3 | 2500 | 2875 | 2125 | 750 |
| 0.5 | 32 | 40 | 24 | 16 |
| 0.5 | 256 | 320 | 192 | 128 |
| 0.5 | 1750 | 2187.5 | 1312.5 | 875 |
| 0.5 | 2500 | 3125 | 1875 | 1250 |
Disclaimer/Publisher’s Note: The statements, opinions and data contained in all publications are solely those of the individual author(s) and contributor(s) and not of MDPI and/or the editor(s). MDPI and/or the editor(s) disclaim responsibility for any injury to people or property resulting from any ideas, methods, instructions or products referred to in the content. |
© 2024 by the authors. Licensee MDPI, Basel, Switzerland. This article is an open access article distributed under the terms and conditions of the Creative Commons Attribution (CC BY) license (https://creativecommons.org/licenses/by/4.0/).
Share and Cite
Gao, J.; Yang, P.; Li, X.; Jin, X.; Tian, Y.; Cheng, Z.; Yan, X. Effects of Oil and Solid Body Temperatures on Elastohydrodynamic Lubrication Film Formation. Lubricants 2024, 12, 28. https://doi.org/10.3390/lubricants12020028
Gao J, Yang P, Li X, Jin X, Tian Y, Cheng Z, Yan X. Effects of Oil and Solid Body Temperatures on Elastohydrodynamic Lubrication Film Formation. Lubricants. 2024; 12(2):28. https://doi.org/10.3390/lubricants12020028
Chicago/Turabian StyleGao, Junbin, Ping Yang, Xinming Li, Xuyang Jin, Ye Tian, Ziyang Cheng, and Xu Yan. 2024. "Effects of Oil and Solid Body Temperatures on Elastohydrodynamic Lubrication Film Formation" Lubricants 12, no. 2: 28. https://doi.org/10.3390/lubricants12020028
APA StyleGao, J., Yang, P., Li, X., Jin, X., Tian, Y., Cheng, Z., & Yan, X. (2024). Effects of Oil and Solid Body Temperatures on Elastohydrodynamic Lubrication Film Formation. Lubricants, 12(2), 28. https://doi.org/10.3390/lubricants12020028

