Next Article in Journal
Impact of Brake Wear Particles on Eukaryotic Cell Viability and Associated Oxidative Stress Responses
Previous Article in Journal
Lubrication-Enhanced Mechanisms of Bentonite Grease Using 2D MoS2 with Narrow Lateral Size and Thickness Distributions
Previous Article in Special Issue
Moringa Oil and Carbon Phases of Different Shapes as Additives for Lubrication
 
 
Font Type:
Arial Georgia Verdana
Font Size:
Aa Aa Aa
Line Spacing:
Column Width:
Background:
Article

Carbon Nanotubes Decorated with Nickel or Copper as Anti-Wear and Extreme-Pressure Additives for Greases

by
Magdalena Skrzypek
1,
Łukasz Wojciechowski
1,*,
Jarosław Kałużny
2,*,
Sławomir Boncel
3,4,
Adam A. Marek
3,5,
Tomasz Runka
6,
Marek Nowicki
7,
Rafał Jędrysiak
3,4,
Szymon Ruczka
3,4 and
Paulina Błaszkiewicz
8
1
Institute of the Machines and Motor Vehicles, Poznan University of Technology, 60-965 Poznań, Poland
2
Institute of Powertrains and Aviation, Poznan University of Technology, 60-965 Poznań, Poland
3
Centre for Organic and Nanohybrid Electronics (CONE), Silesian University of Technology, 44-100 Gliwice, Poland
4
Department of Organic Chemistry, Bioorganic Chemistry and Biotechnology, Silesian University of Technology, 44-100 Gliwice, Poland
5
Department of Chemical Organic Technology and Petrochemistry, Silesian University of Technology, 44-100 Gliwice, Poland
6
Institute of Materials Research and Quantum Engineering, Poznan University of Technology, 60-965 Poznań, Poland
7
Institute of Physics, Poznan University of Technology, 60-965 Poznań, Poland
8
NanoBioMedical Centre, Adam Mickiewicz University in Poznan, 61-712 Poznań, Poland
*
Authors to whom correspondence should be addressed.
Lubricants 2024, 12(12), 448; https://doi.org/10.3390/lubricants12120448
Submission received: 7 November 2024 / Revised: 2 December 2024 / Accepted: 10 December 2024 / Published: 16 December 2024

Abstract

To increase the anti-wear (AW) and anti-scuffing possibilities of commercially available lithium grease, this paper proposed enriching the original composition with functionalised carbon nanotubes (CNTs) at a concentration of 0.1% (w/w). The CNTs were modified by decorating them with nanoparticles of two metals with established tribological potential: copper and nickel. The AW and extreme-pressure properties were determined using the customised ISO-20623 test on a four-ball apparatus. The AW properties were determined using the standardised parameter MWSD (mean wear scar diameter) and the anti-scuffing properties using the last non-seizing load. The greases enriched with nanoadditives showed better AW properties compared to the reference grease at higher loads (1–1.2 kN). Particularly favourable results were observed for grease with the addition of Cu-decorated CNTs, for which the MWSD values were more than 50% lower than the reference. Optical microscopy, SEM and TEM microscopy with EDS analysis, and Raman spectroscopy were used to identify the wear mechanisms and characterise the role of nanoadditives in the lubrication process.

Graphical Abstract

1. Introduction

Counteracting the negative effects of friction, such as wear and energy loss, is still a fundamental challenge for tribology. In the era of fighting global warming, a ‘green’ trend has also emerged in tribological engineering, striving for the sustainable optimisation of friction pairs. Nosonovsky and Bushan [1] presented the basic assumptions of ‘green tribology’ as 12 principles. Among these, the classic postulate of reducing wear while reducing lubrication can be distinguished. Therefore, the fundamental question arises of how to reconcile these seemingly contradictory problems. Here, one answer may be the search for efficient boundary layers of the minimum possible thickness with properties that radically reduce friction, even achieving the effect of superlubricity [2,3]. Our previous studies have shown that this was possible in polymer–metal friction pairs under low load conditions [4]. The key factor turned out to be the addition of functionalised carbon nanotubes (CNTs) to a selected ionic liquid.
One crucial feature of CNTs are the strong van der Waals interactions between them. These interactions lead to a tendency for the nanotubes to agglomerate, resulting in poor solubility in most solvents and making their dispersion in liquids challenging [5,6]. For this reason, CNTs are sensitive to both the concentration used and the dispersion methods in the final lubricant. Excessive amounts of CNTs in oil or grease can lead to agglomeration in contact areas. Instead of reducing wear, these agglomerates can make it worse, primarily through abrasion. To address these issues, CNTs undergo a process called functionalisation, which involves either covalently attaching specific functional groups to the existing CNT structure or non-covalently adsorbing or ‘wrapping’ other nanoparticles onto the surfaces of the nanotubes. Functionalising CNTs allows them to gain additional properties tailored to specific applications [7]. This is often achieved by decorating CNTs with other nanoparticles [8,9]. This not only helps prevent the CNTs from clumping together but also introduces beneficial properties to their structure. Classic additives are also expected to facilitate the dissemination of nanotubes and act as a dispersing agent [10,11].
Nanoparticles, characterised by dissimilar structures, affect friction by different mechanisms [7]. In the case of CNTs, their walls are damaged by friction, resulting in graphene-like sheets [12,13]. These structures can slide on each other with an extraordinarily low coefficient of friction (superlubricity). On the other hand, due to their tubular shape, they can act like (nano) rollers in roller bearings [14]. This can lead to the transformation of sliding into ‘nanorolling’ friction. However, due to the tendency of CNTs to agglomerate, this mechanism is probably hard to achieve [15].
In the era of energy transformation of the automotive industry, it is also worth paying attention to the thermal and electrical conductivity of nanocarbons [16]. They may prove to be very promising additives for bearing greases in electric vehicles, which, in addition to improving tribological properties, will be easily controllable (but at the level of grease composition) in the context of heat and electric charge conduction.
Considering the enormous tribological potential of nanocarbons and their possible applications in lubricant formulations intended for electric vehicles, in our research, we undertook studies on the use of CNTs decorated with nickel and copper as additional tribo-active additives for commercially available grease with the addition of ZDDP (zinc dialkyl dithiophosphate).

2. Materials and Methods

Nanocyl NC7000TM multiwalled carbon nanotubes (MWCNTs) (Nanocyl Co., Ltd., Sambreville, Belgium) were selected as additives because of their beneficial, from the point of view of tribology, properties. The nanoparticles consisted of 90 wt.% carbon, ~9 wt.% Al2O3 support, and ~1 wt.% iron-based catalyst. According to the manufacturer’s specification, these CNTs are 1.5 μm long and 9.5 nm in diameter. To increase their AW and extreme-pressure (EP) properties, this paper proposed functionalising the CNTs by decorating them with nanoparticles of two metals: nickel (Ni) and copper (Cu). These elements in elemental form (also in nanoscale) or as chemical compounds are known for their AW properties [17,18,19,20]. Ni- and Cu-decorated CNTs (Ni-CNTs, Cu-CNTs) were synthesised via a modified polyol reduction [21]. The purified MWCNTs (0.25 g) were dispersed by ultrasonication in ethylene glycol (100 mL) as the solvent and reducing and protecting/stabilising agent. Then, sodium hydroxide (1.20 g) and metal precursors (5 mmol), that is, nickel(II) nitrate(V) hexahydrate or copper(II) nitrate(V) trihydrate, were added to the mixture. After the complete dissolution of the precursors, a chloroplatinic acid solution (250 μL, 8 wt.%) was added to the mix as the heterogeneous nucleation seed. Subsequently, the mixture was heated using a hot plate magnetic stirrer and the reduction was carried out at 100 °C for 4 h while stirring. After cooling, the Ni- and Cu-CNTs were filtered off, thoroughly washed with H2O and ethanol, and dried at 60 °C in a vacuum oven for 24 h. According to the calculations of the reagents for synthesis, 1 g of CNTs should correspond to 0.67 g of Ni nanoparticles and 0.76 g of Cu nanoparticles. The final efficiency of the decoration procedures was then investigated using TEM imaging and EDX analysis (see Section 3.1).
The nanomaterials prepared in this way were used as additives modifying the tribological properties of commercially available lithium grease: Mobil Mobilux EP1 (NLGI 1) with ZDDP (max. 1% wt.) in the composition. This is produced by thickening mineral oil with lithium hydroxystearate. Pure Mobil Mobilux EP1 grease was used as a reference in an original formulation, without nanoadditives.
High-shear mixing was used as an effective method to disperse the CNTs (0.1% wt.) into the lubricant. The samples were homogenised using a Unidrive X1000 Homogeniser (CAT, Ballrechten-Dottingen, Germany) with a G20 cutting tip and exposed to cutting forces at 20,000 rpm in three cycles of 30 s to prevent overheating and ensure that the samples were well dispersed.
The AW and EP properties were determined using a modernised C-test of the ISO-20623 (Petroleum and related products—Determination of the extreme-pressure and anti-wear properties of lubricants—Four-ball method) [22] standardised test. The test was performed on a four-ball tester, whose kinematic system is shown in Figure 1a. The balls used were made of bearing steel, of 62.7 HRC hardness and 12.7 mm in diameter. Before the test, the balls were cleaned with an ultrasonic cleaner, dried, and then stored in a desiccator.
The test improvements included extending the time from 10 s or 60 s to 300 s. Additionally, constant distances between the loads were applied, starting at 400 N and increasing every 200 N in subsequent steps until seizure. For economic reasons, the volume of the tested substance was reduced. A total of 3 mL of the lubricant was supplied directly to the contact zone instead of filling the entire container (Figure 1b). In the standard procedure, the entire container is filled with grease, into which the test balls are pressed. Then, the excess grease is removed from the top edge of the container (Figure 1c).
For each load, three tests were conducted. The AW properties were determined by the standardised parameter MWSD (mean wear scar diameter) and the EP properties by the LNSL (last non-seizing load).
After the test, the balls were cleaned in extraction naphtha, and the diameters of the wear scars were measured using an optical microscope (OZL466, KERN & SOHN GmbH, Balingen, Germany). Then, SEM and EDS investigations were carried out on the worn surfaces of the top and bottom of selected balls (the rings and scars, respectively).
To investigate the presence of CNTs and Cu- and Ni-functionalised CNTs in the wear traces, Raman spectroscopy was performed. The Raman spectra were recorded using a Renishaw inVia Raman microscope equipped with a thermoelectrically (TE) cooled CCD detector, along with an Ar+ ion laser emitting light at a wavelength of 514.5 nm.

3. Results and Discussion

3.1. Material Characterisation

To assess the effectiveness of functionalising CNTs with copper and nickel, TEM analysis was conducted to demonstrate the presence of these elements in the nanotube mesh. Confirmation of this fact is shown in Figure 2. For Ni-decorated CNTs (Figure 2c), characteristic nickel clusters can be formed, which wrap the nanocarbons in spaghetti-like structures. The starting point for cluster formation is likely to be direct crystalline connections of nickel and carbon nanoparticles. It is only around these that further agglomeration of nickel occurs, leading to specific cluster formation.
In turn, in the structure of CNTs decorated with copper, two types of mesh connections can be distinguished. Flexible and strongly entangled structures consisting exclusively of CNTs and constituting the basis of the three-dimensional thickener mesh appear to dominate (Figure 2d). In this way, it is possible to maintain even large copper agglomerates in the nanocarbon network. Furthermore, crystalline direct connections of single Cu nanoparticles with CNTs are visible; these are not a consequence of the entanglement of the spaghetti-like structure.
In the locations of Cu and Ni agglomerates (as in Figure 2c,d), EDX analysis was performed, and selected results are shown in Figure 3. An uneven distribution of copper and nickel nanoparticles in the CNT mesh was found. In the case of Cu, the weight fraction ranged (for measurements performed at five points) from 28.36% to 87.71%, and the atomic fraction from 9.94% to 69.53%. For Ni, the weight fraction ranged (for measurements made at five points) from 22.32% to 59.73% and the atomic fraction from 6.50% to 63.19%.
Homogenisation proved to be an effective method for obtaining a homogeneous grease structure. Presumably, the application of a cutting tip initially destroys the structure of the CNTs and, consequently, graphene-like forms are created by the manufacturing process. Under friction conditions, this process is continued (as mentioned in Section 1). Figure 4 shows microscopic (optical) images of the microstructure of greases enriched with CNTs decorated with Cu (Figure 4a) and Ni (Figure 4b). In both cases, CNT agglomerates are clearly visible, and they may include the products of the destruction of the CNTs in the high-shear mixing process as well. The shape of the nanocarbon agglomerates differ noticeably—those decorated with Cu have a ‘lumpier’ character, while Ni functionalisation forms a more ‘thread-like’ agglomeration. These observations are consistent with the conclusions from the TEM studies (Figure 2).
Additionally, importantly from an application point of view, the sedimentation of nanoadditives was not observed during storage or the friction tests.

3.2. Four-Ball Test

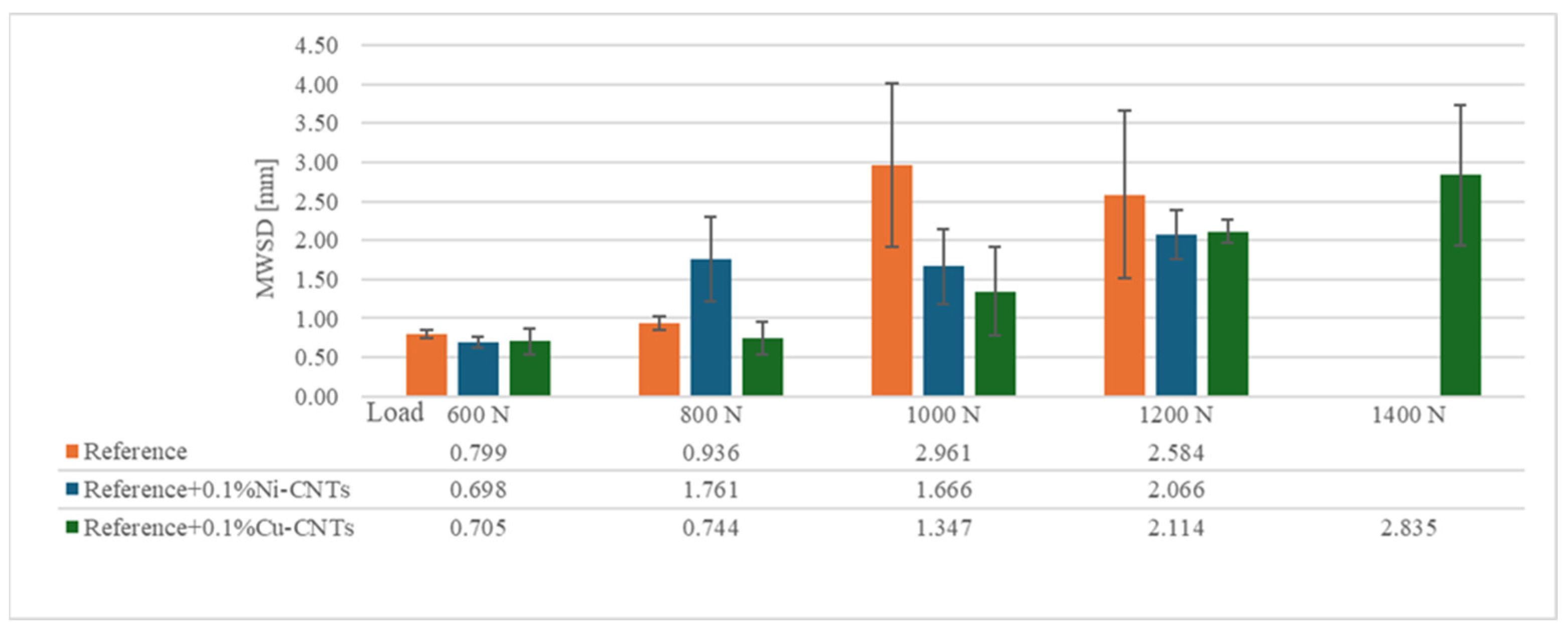
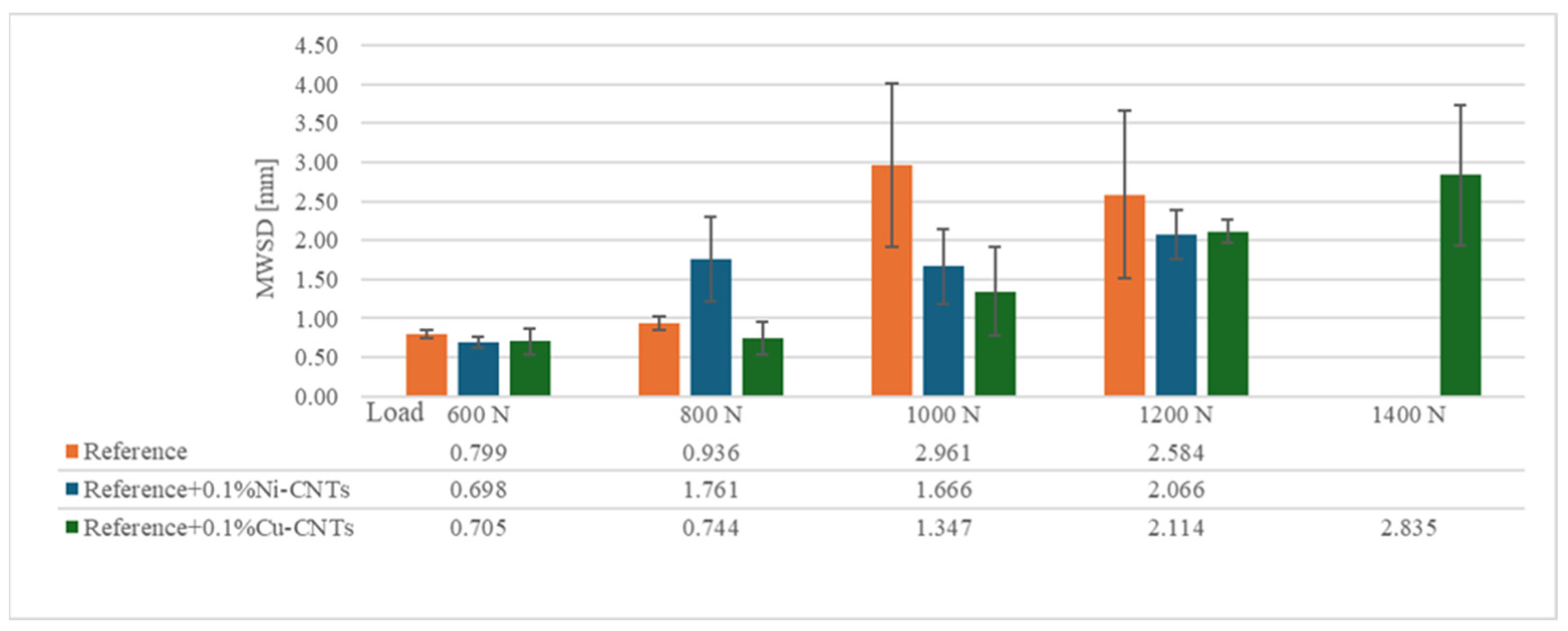
Greases enriched with nickel- and copper-decorated CNTs showed better AW properties than the reference grease. Figure 5 shows the changes in the average MWSD values depending on the load. The four-ball tests were started (according to [22]) with a load of 400 N. However, no wear was observed under this load for any of the lubricants analysed. For the lowest wear-causing load (600 N), similar MWSD values were observed for all lubricants. This suggests that these conditions are too light to initiate the tribo-active action of CNTs. For subsequent load levels, a beneficial effect of decorated CNTs on wear reduction was found.
The exception is a load of 800 N, for which the MWSD for the Ni-CNT grease was higher than for the reference and Cu-CNTs. It is possible that under such conditions Ni sufficiently prevents an intensive decomposition of CNTs and the ‘in-situ’ production of graphene-like structures is difficult. Perhaps these are insufficient loading conditions for the decomposition of the nickel agglomerates wrapped around the CNT network. Instead of creating low-friction nanocarbon or nanonickel sheets, agglomerates accumulate, intensifying friction and wear instead of reducing these. Only higher loads enable the decomposition of nanoadditives and the use of their tribological potential. For a more precise analysis of the lubrication mechanism of nanoadditives, see Section 3.3.
If we ignore the relatively large scatter (standard deviations) of results for the reference grease at higher loads (1–1.2 kN), it can be seen that the MWSD values in this range decrease with increasing load. This indicates the probable activation of ZDDP and the formation of more effective boundary layers under these conditions.
Considering the behaviour of the analysed lubricants in EP conditions, it can be stated that the addition of Ni-CNTs does not affect the resistance to scuffing. The LNSL value for this grease is the same as for the reference → 1.2 kN. In turn, the addition of Cu-CNTs to the reference grease increased its resistance to scuffing, and the LNSL increased to 1.4 kN.

3.3. SEM/EDS Investigations—Wear Mechanisms

SEM microscopy was used to investigate the wear and potential lubrication mechanism. Figure 6 shows SEM images of the worn surfaces of selected bottom and top balls lubricated with Cu-CNT grease under a load of 800 N. Two types of wear are observed on the bottom balls. The characteristic parallel scratches are signs of abrasive wear of a micro-cutting nature (sharp, very narrow scratches) and ploughing (the effect of plastic deformation—wider, shallow traces). In turn, visible ‘dark’ material losses are the effect of adhesive wear. These have a typical, elongated shape, consistent with the direction of the movement of the upper, rotating ball. The images of wear marks on the upper ball show a fragment of the characteristic wear ring that is formed during contact with the bottom balls. In this case, abrasive wear appears to be the dominant destructive mechanism.
Figure 7 shows SEM images of the worn surfaces of selected bottom and top balls lubricated with Ni-CNT grease under a load of 800 N. In this case, we observe very similar wear mechanisms as for Ni-CNT lubrication: a combination of adhesion and abrasion on the scars of the lower balls and abrasion in the case of the upper balls.
The wear mechanism was slightly different for samples lubricated with the reference grease (Figure 8, test load 800 N). A characteristic feature here is the appearance of adhesive wear on both stationary and rotating balls (Figure 8c,d). This may indicate a lower load-bearing capacity of the boundary layers formed by the reference grease, which does not contain nanoadditives.
Figure 9 shows the EDS analysis of wear traces on selected lower and upper balls lubricated with grease with the addition of Cu-CNTs under a load of 800 N. Particular attention was paid to the concentration of phosphorus (as a component of ZDDP) and copper-functionalising CNTs. Analysis of the ball wear traces indicates that its content is only about 1%. However, both the lower and upper balls show clear traces of higher P concentration in the form of points or lines (in the sliding direction). This means that the ZDDP contained in the original grease composition was activated during the friction tests. For Cu, the same conclusions cannot be drawn. Although the analysis indicates a 1% share of Cu in the elemental composition of the wear signs, its distribution is uniform, with no distinct concentration points. Such an image in SEM microscopy is considered ‘noise’ and is not treated as a real reflection of the element on the surface. Therefore, a fundamental question arises: How could a small amount of Cu nanoparticles have such a significant impact on reducing wear and increasing resistance to scuffing? There is a lack of information on this issue in the literature—although the available works indicate a positive effect on the friction and wear by the addition of copper nanoparticles to lubricants in metal friction pairs [19,20]. Attention is also drawn to the potential synergism and antagonism of copper nanoadditives with some classical additives for lubricants and oils [11,20]. In our previous work [4], we proposed various scenarios of nanocopper interaction on the surfaces of polymer–steel friction pair elements. It seems that one of these scenarios may apply here as well.
The potential presence of Cu on the steel surface is related to its selective transfer in the presence of a solvent (a base oil in the grease composition). Under such conditions, that is, friction and dissolution, copper nanoparticles are released from the CNT mesh. Protected against oxidation by the surrounding lubricant and highly reactive, they easily bind to the steel surface, forming a very thin Cu nanolayer called a servovitic film [23]. Such Cu layers are characterised by a very low shear resistance gradient, which means that they have no tendency to form adhesive bonds with steel, another nanocopper layer, or a graphene-like plate [24,25]. However, this mechanism should be considered conjecture, as our EDS analysis did not show the appropriate Cu concentration on the wear traces of the steel samples. It is possible that the formation of low-friction nanocopper layers occurs only in the grease structure during friction. However, due to particles in the locality resulting from the agglomeration of Cu nanoparticles (Figure 2b), their location may be random and difficult to identify.
Figure 10 shows the EDS analysis of wear traces on selected lower and upper balls lubricated with grease with the addition of Ni-CNTs under a load of 800 N. Similarly to the previous case (grease with Cu-CNTs), it is also easy to identify small phosphorus clusters, which originate from the ZDDP contained in the commercial grease formulation.
Unfortunately, as with Cu, EDS analysis does not identify distinct clusters of Ni. Therefore, its presence in wear signs cannot be unequivocally confirmed. Regardless, its inherence in the lubricant formulation has a clear effect on reducing wear (Figure 5), which is consistent with the available studies in which nanonickel was directly added to commercial lubricants [26,27] or synthesised with CNTs [28]. Meng et al. [28] proposed a very simple explanation for the tribological behaviour of Ni-decorated CNTs. According to them, CNTs adsorb onto surfaces with signs of friction-generated wear, forming effective boundary layers. The possible damage is then filled with nickel nanoparticles, creating specific patches in the boundary layer.
Due to the fact that we did not observe clear nickel concentrations in our analysis, it can be assumed that the destruction of nanonickel agglomerates (wrapping around the CNTs) and then exfoliation of the CNTs directly in the grease structure is a more probable mechanism. This phenomenon creates two easy sliding paths: graphene-like low-friction plates and low-adhesion nanonickel flakes [24,25]. Thanks to this, the lubricity of greases enriched with decorated nanoadditives is improved, resulting in reduced wear.
To extend our understanding of the interactions of Cu and Ni nanoparticles with steel surfaces, we performed additional EDS analyses on wear traces obtained from tests under a load of 1000 N. In this part of the study, we focused on the characteristic elements of ZDDP products (Zn, P, and S) formed on steel, as well as the potential influence of Cu and Ni on their formation.
Figure 11, Figure 12 and Figure 13 present the EDS analysis of selected wear scars on the lower balls lubricated with the reference grease, the grease containing the Cu-CNT additive, and the grease containing the Ni-CNT additive.
Attention should be directed towards the distinct wear and distribution of sulphur, zinc, and phosphorus dependent on the nanoadditives applied. The anti-wear (AW) and anti-scuffing effects of ZDDP are well described in the literature and will not be studied in detail in this analysis [29]. The ZDDP products responsible for creating AW layers on steel surfaces under friction conditions are iron(III) pyrophosphate FeZnP2O7 and iron(III) orthophosphate Fe2Zn(PO4)2. In turn, zinc sulphide (FeS), formed from the thermal–oxidative decomposition of ZDDP and subsequent oxidation of phosphates, protects steel surfaces during friction under EP conditions [30]. Based on the mechanism of ZDDP action on steel surfaces, it can be observed that in the case of lubrication with the reference grease (Figure 11) and the grease with the Ni-CNT additive (Figure 13), the wear traces exhibit high sulphur (S) concentration, while the presence of zinc (Zn) and phosphorus (P) is limited. In the case of lubrication with grease containing Cu-CNTs, the situation differs significantly (Figure 12). The presence of Zn and P in the wear trace is quite evident, but, in contrast, there is no noticeable concentration of S observed on the worn surface. The EDS analysis results correlate well with both the tribological tests (Figure 5) and the earlier proposal of the protective mechanism of copper nanoparticles. Its effect on friction reduction allows for the extension of the boundary friction regime supported by phosphate layers eventually shifting the LNSL value towards a level higher than that observed for the reference grease or with the addition of Ni-CNTs. In the case of greases without the addition of Cu nanoparticles, this mechanism does not occur, which causes the destruction of the phosphate layers and the dominant role of FeS in the formation of the boundary layer (Figure 11 and Figure 13).

3.4. Raman Spectroscopy

Raman spectroscopy was performed for the friction trace obtained on an upper ball rotated in the four-ball apparatus under a load of 1000 N for 5 min. The observed Raman spectra depend strongly on the sample preparation technique and the selected spot inside the friction track (Figure 14). The pristine, grease-coated ball obtained from the four-ball apparatus proved to be unsuitable for Raman spectroscopy due to the strong fluorescence of the grease compounds suppressing any Raman scattering signal. For such a sample, increasing the laser power from 1 mW@514 nm to 5 mW@514 nm only resulted in an insufficient improvement in the registered spectral features. Gently wiping the balls with dry lint-free tissue significantly reduced the fluorescent background and produced clear Raman spectra including lines assigned to copper oxides at 291 cm−1, a mixture of amorphous carbon and CNTs around 1500 cm−1 and hydrocarbons around 2900 cm−1. This Raman pattern was not uniform over the whole surface of the friction trace; it was observed only for selected surface grooves where remnants of grease-containing friction products were probably trapped. Remarkably, the copper oxides were not observed on the red line (Figure 14) which was obtained for the same friction trace after it was additionally cleaned with hexanes. Thereby, we conclude that the copper oxides were not strongly bound to the steel surface, as they were easily removed by rinsing with a few drops of hexanes.
Figure 15 presents the Raman spectra corresponding to the blue line in Figure 14; however, the laser power was increased from 1 mW@514 nm to 5 mW@514 nm.
The spectra features observed for another spot on the wiped friction sample presented in Figure 14 were compared to the spectra obtained for the copper decorated CNT powder used for the grease formulation. In conclusion, clear evidence of CNT exfoliation and amorphous carbon production in the friction trace can be observed by Raman spectroscopy. This is confirmed by the D and G band broadening and the absence of the 2D peak. We conclude that the carbon observed in the friction track is predominantly sp3 bonding amorphous carbon with a small fraction of sp2-bonded CNTs and graphene sheets.
The same procedure was applied to the worn surface of the sample lubricated with Ni-CNT grease in the four-ball test. Unfortunately, in this case, no nickel compounds were identified on the wear traces.

4. Conclusions

CNTs decorated with copper or nickel can be an additional tribologically active compound of commercial lubricants. The use of high-shear mixing allows for the stable dispersion of CNTs within the structure of the original lubricant.
When added to a standard commercially available lithium grease, Ni- or Cu-decorated CNTs allowed for significant wear reduction. Furthermore, the Cu-decorated CNTs increased the lubricant resistance against scuffing, shifting the LNSL parameter towards a higher load.
The CNTs, the products of their partial destruction, and copper oxides were only observed in the Raman spectroscopy executed on the friction trace which was gently wiped beforehand with a dry tissue. The carbon particles, especially copper oxides, could be easily removed from the friction trace by rinsing with hexanes. Neither CNT deposits nor the strong metal layers used for CNT decoration were found in the AW layers deposited in the friction trace observed for previously cleaned samples tested using EDS spectroscopy. Thereby, we conclude that the decorated CNT tribological roles are indirect, related to the formation of a weakly bonded tribological film consisting of the in situ produced graphene and other sp2 and sp3 nanocarbons, as well as the decorating metal particles. Cu-decorated CNTs added to the commercially available grease remarkably support the action of ZDDP, producing stronger AW deposits characterised by increased Zn and the replacement of the S fraction with P.

5. Perspectives

The research presented in this article indicates the high tribological potential of CNTs functionalised with metal nanoadditives. Therefore, it is important to analyse their behaviour as additives for other lubricants in further studies and tribological test systems other than the four-ball test. It is also necessary to consider using a more subtle method of analysing the chemical composition of wear traces (e.g., XPS) which will clearly verify the presence of the additives used.

Author Contributions

Conceptualisation: Ł.W., J.K., S.B. and A.A.M.; methodology: M.S., Ł.W., J.K., T.R. and M.N.; software: M.S., Ł.W., J.K. and S.B.; validation: M.S. and Ł.W.; formal analysis: M.S., Ł.W., J.K., S.B. and T.R.; investigation: M.S., Ł.W., J.K., T.R. and M.N.; resources: Ł.W., S.B., R.J., A.A.M., S.R. and P.B.; data curation: M.S., Ł.W., S.B., T.R. and M.N.; writing—original draft preparation, M.S., Ł.W. and J.K.; writing—review and editing: J.K. and S.B.; visualisation, M.S. and Ł.W.; supervision: Ł.W.; project administration: Ł.W. and S.B.; funding acquisition: Ł.W. and S.B. All authors have read and agreed to the published version of the manuscript.

Funding

This research was funded by the National Science Centre in Poland (Project 2020/39/B/ST5/02562).

Data Availability Statement

The datasets obtained during the current work are available from the corresponding authors upon request.

Acknowledgments

The authors would like to acknowledge the financial support for this research provided by the National Science Centre in Poland (Project 2020/39/B/ST5/02562). The authors thank Artur P. Terzyk (Nicolaus Copernicus University in Toruń, Poland) for the TEM images of CNTs decorated with Cu or Ni.

Conflicts of Interest

The authors have no financial or proprietary interests in any material analysed and discussed in this article.

References

  1. Nosonovsky, M.; Bushan, B. Green tribology: Principles, research areas and challenges. Philos. Trans. R. Soc. A 2010, 368, 4677–4694. [Google Scholar] [CrossRef] [PubMed]
  2. Han, T.; Zhang, S.; Zhang, C. Unlocking the secrets behind liquid superlubricity: A state-of-the-art review on phenomena and mechanisms. Friction 2022, 10, 1137–1165. [Google Scholar] [CrossRef]
  3. Ayyagari, A.; Alam, K.I.; Berma, D.; Erdemir, A. Progress in superlubricity across different media and material systems—A review. Front. Mech. Eng. 2022, 8, 908497. [Google Scholar] [CrossRef]
  4. Wojciechowski, Ł.; Kubiak, K.J.; Boncel, S.; Marek, A.; Gapiński, B.; Runka, T.; Jędrysiak, R.; Ruczka, S.; Błaszkiewicz, P.; Mathia, T.G. Towards the superlubricity of polymer–steel interfaces with ionic liquids and carbon nanotubes. Tribol. Int. 2024, 191, 109203. [Google Scholar] [CrossRef]
  5. Ettefaghi, E.; Rashidi, A.; Ahmadi, H.; Mohtasebi, S.S.; Pourkhalil, M. Thermal and rheological properties of oil-based nanofluids from different carbon nanostructures. Int. Commun. Heat Mass Transf. 2013, 48, 178–182. [Google Scholar] [CrossRef]
  6. Mohamed, A.; Tirth, V.; Kamel, B.M. Tribological characterization and rheology of hybrid calcium grease with graphene nanosheets and multi-walled carbon nanotubes as additives. J. Mater. Res. Technol. 2015, 137, 6178–6185. [Google Scholar] [CrossRef]
  7. Nyholm, N.; Espallargas, N. Functionalized carbon nanostructures as lubricant additives. Carbon 2023, 201, 1200–1228. [Google Scholar] [CrossRef]
  8. Karousis, N.; Tagmatarchis, N.; Tasis, D. Current progress on the chemical modification of carbon nanotubes. Chem. Rev. 2010, 110, 5366–5397. [Google Scholar] [CrossRef]
  9. Dobrzańska-Danikiewicz, A.D.; Łukowiec, D.; Cichocki, D.; Wolany, W. Carbon nanotubes decorating methods. Arch. Mater. Sci. Eng. 2013, 61, 53–61. [Google Scholar]
  10. Cursaru, D.L.; Andronescu, C.; Pirvu, C.; Ripeanu, R. The efficiency of Co-based single-wall carbon nanotubes (SWNTs) as an AW/EP additive for mineral base oils. Wear 2012, 290–291, 133–139. [Google Scholar] [CrossRef]
  11. Kałużny, J.; Kulczycki, A.; Dzięgielewski, W.; Piasecki, A.; Gapiński, B.; Mendak, M.; Runka, T.; Łukawski, D.; Stepanenko, O.; Merkisz, J.; et al. The indirect tribological role of carbon nanotubes stimulating zinc dithiophosphate anti-wear film formation. Nanomaterials 2020, 10, 1330. [Google Scholar] [CrossRef] [PubMed]
  12. Salah, N.; Abdel-wahab, M.S.; Alshahrie, A.; Alharbi, N.D.; Khan, Z.H. Carbon nanotubes of oil fly ash as lubricant additives for different base oils and their tribology performance. RSC Adv. 2017, 7, 40295–40302. [Google Scholar] [CrossRef]
  13. Joly-Pottuz, L.; Dassenoy, F.; Vacher, B.; Martin, J.M.; Mieno, T. Ultralow friction and wear behaviour of Ni/Y-based single wall carbon nanotubes (SWNTs). Tribol. Int. 2004, 37, 1013–1018. [Google Scholar] [CrossRef]
  14. Sultan, J.N.; Karash, E.T.; Abdulrazzaq, T.K.; Kassim, M.T.E. The effect of multi-walled carbon nanotubes additives on the tribological properties of austempered AISI 4340 Steel. J. Eur. Des Systèmes Autom. 2022, 55, 387–396. [Google Scholar] [CrossRef]
  15. Ye, X.; Songfeng, E.; Fan, M. The influences of functionalized carbon nanotubes as lubricating additives: Length and diameter. Diam. Relat. Mater. 2019, 100, 107548. [Google Scholar] [CrossRef]
  16. Boncel, S.; Kałużny, J.; Różański, J.; Strzemiecka, B.; Runka, T.; Wojciechowski, Ł.; Kujawa, J.; Korczeniewski, E.; Terzyk, A.P.; Błaszkiewicz, P.; et al. Carbon nanotubes as fast-thickening agents in polyalphaolefin greases: Partial crystallinity and intertube joints toward multifunctionality. J. Mol. Liq. 2023, 391 Pt A, 123215. [Google Scholar] [CrossRef]
  17. Wang, J.; Zhang, H.; Hu, W.; Li, J. Tribological properties and lubrication mechanism of nickel nanoparticles as an additive in lithium grease. Nanomaterials 2022, 12, 2287. [Google Scholar] [CrossRef]
  18. Peng, F.; Fan, S.; Song, N.; Gao, C.; Zhang, S.; Zhang, Y. Effect of nickel acetyl acetonate as lubricant additive in base oils with different molecular structure on in-situ formation and tribomechanism of carbon-based tribofilms of steel-steel sliding pair. Tribol. Lett. 2024, 72, 56. [Google Scholar] [CrossRef]
  19. Wang, X.L.; Yin, Y.L.; Zhang, G.N.; Wang, W.Y.; Zhao, K.K. Study on antiwear and repairing performances about mass of nano-copper lubricating additives to 45 steel. Phys. Procedia 2013, 50, 466–472. [Google Scholar] [CrossRef]
  20. Guo, Z.; Zhang, Y.; Wang, J.; Gao, C.; Zhang, S.; Zhang, P.; Zhang, Z. Interactions of Cu nanoparticles with conventional lubricant additives on tribological performance and some physicochemical properties of an ester base oil. Tribol. Int. 2020, 141, 105941. [Google Scholar] [CrossRef]
  21. Shen, Y.; Lua, A.C. Synthesis of Ni and Ni–Cu supported on carbon nanotubes for hydrogen and carbon production by catalytic decomposition of methane. Appl. Catal. B Environ. 2015, 164, 61–69. [Google Scholar] [CrossRef]
  22. ISO-20623:2017; Petroleum and Related Products—Determination of the Extreme-Pressure and Anti-Wear Properties of Lubricants—Four-Ball Method. ISO: Geneva, Switzerland, 2017.
  23. Padgurskas, J.; Snitka, V.; Jankauskas, V.; Andriušis, A. Selective transfer phenomenon in lubricated sliding surfaces with copper and its alloy coatings made by electro-pulse spraying. Wear 2006, 260, 652–661. [Google Scholar] [CrossRef]
  24. Chen, J.; Chen, L.; Zhang, Z.; Li, J.; Wang, L.; Jiang, W. Graphene layers produced from carbon nanotubes by friction. Carbon 2012, 50, 1934–1941. [Google Scholar] [CrossRef]
  25. Zhang, Z.; Yu, G.; Geng, Z.; Tian, P.; Ren, K.; Wu, W.; Gong, Z. Ultra low friction of conductive carbon nanotube films and their structural evolution during sliding. Diam. Relat. Mater. 2021, 120, 108617. [Google Scholar] [CrossRef]
  26. Chou, R.; Hernandez Battez, A.; Cabello, J.J.; Viesca, J.L.; Osorio, A.; Sagastume, A. Tribological behavior of polyalphaolefin with the addition of nickel nanoparticles. Tribol. Int. 2010, 43, 2327–2332. [Google Scholar] [CrossRef]
  27. Chen, Y.; Zhang, Y.; Zhang, S.; Yu, L.; Zhang, P.; Zhang, Z. Preparation of nickel-based nanolubricants via a facile in situ one-step route and investigation of their tribological properties. Tribol. Lett. 2013, 51, 73–83. [Google Scholar] [CrossRef]
  28. Meng, Y.; Su, F.; Chen, Y. Nickel/multi-walled carbon Nanotube nanocomposite synthesized in supercritical fluid as efficient lubricant additive for mineral oil. Tribol. Lett. 2018, 66, 134. [Google Scholar] [CrossRef]
  29. Willermet, P.A.; Dailey, D.P.; Carter, R.O., III; Schmitz, P.J.; Zhu, W. Mechanism of formation of antiwear films from zinc dialkyldithiophosphates. Tribol. Int. 1995, 28, 177–187. [Google Scholar] [CrossRef]
  30. Martin, J.M. Antiwear mechanisms of zinc dithiophosphate: A chemical hardness approach. Tribol. Lett. 1999, 6, 1–8. [Google Scholar] [CrossRef]
Figure 1. Kinematic system of the four-ball tester (a), modified grease filling procedure (b), standard grease filling procedure (c).
Figure 1. Kinematic system of the four-ball tester (a), modified grease filling procedure (b), standard grease filling procedure (c).
Lubricants 12 00448 g001
Figure 2. Copper(II) nitrate trihydrate (left) and nickel(II) nitrate hexahydrate (right) in ethylene glycol before dissolution (a) and after dissolution at 70 °C (b); TEM images of CNTs decorated with nickel (c) or copper (d).
Figure 2. Copper(II) nitrate trihydrate (left) and nickel(II) nitrate hexahydrate (right) in ethylene glycol before dissolution (a) and after dissolution at 70 °C (b); TEM images of CNTs decorated with nickel (c) or copper (d).
Lubricants 12 00448 g002
Figure 3. Selected EDX analysis results for Cu (a) and Ni (b) agglomerates in the CNT mesh.
Figure 3. Selected EDX analysis results for Cu (a) and Ni (b) agglomerates in the CNT mesh.
Lubricants 12 00448 g003
Figure 4. Optical microscopic images of the grease microstructure: enhanced with Cu-CNT additives (a) or Ni-CNT additives (b).
Figure 4. Optical microscopic images of the grease microstructure: enhanced with Cu-CNT additives (a) or Ni-CNT additives (b).
Lubricants 12 00448 g004
Figure 5. Four-ball test results: MWSD variations with load.
Figure 5. Four-ball test results: MWSD variations with load.
Lubricants 12 00448 g005
Figure 6. SEM images of the worn surfaces of selected ball. Lubrication with Cu-CNT grease: a bottom ball, magnification 150× (a), 1500×; and (b) a top ball, magnification 150× (c), 500× (d).
Figure 6. SEM images of the worn surfaces of selected ball. Lubrication with Cu-CNT grease: a bottom ball, magnification 150× (a), 1500×; and (b) a top ball, magnification 150× (c), 500× (d).
Lubricants 12 00448 g006
Figure 7. SEM images of the worn surfaces of selected balls. Lubrication with Ni-CNT grease: a bottom ball, magnification 150× (a), 500×; and (b) a top ball, magnification 150× (c), 500× (d).
Figure 7. SEM images of the worn surfaces of selected balls. Lubrication with Ni-CNT grease: a bottom ball, magnification 150× (a), 500×; and (b) a top ball, magnification 150× (c), 500× (d).
Lubricants 12 00448 g007
Figure 8. SEM images of the worn surfaces of selected balls. Lubrication with the reference grease: a bottom ball, magnification 200× (a), 500×; and (b) a top ball, magnification 200× (c), 500× (d).
Figure 8. SEM images of the worn surfaces of selected balls. Lubrication with the reference grease: a bottom ball, magnification 200× (a), 500×; and (b) a top ball, magnification 200× (c), 500× (d).
Lubricants 12 00448 g008
Figure 9. EDS analysis of the worn surfaces of selected balls. Lubrication with Cu-CNT grease: (a) scar on the lower ball → (a1) general distribution of elements, (a2) phosphorus distribution, (a3) copper distribution; (b) part of a ring on the upper ball → (b1) general distribution of elements, (b2) phosphorus distribution, (b3) copper distribution.
Figure 9. EDS analysis of the worn surfaces of selected balls. Lubrication with Cu-CNT grease: (a) scar on the lower ball → (a1) general distribution of elements, (a2) phosphorus distribution, (a3) copper distribution; (b) part of a ring on the upper ball → (b1) general distribution of elements, (b2) phosphorus distribution, (b3) copper distribution.
Lubricants 12 00448 g009
Figure 10. EDS analysis of the worn surfaces of selected balls. Lubrication with Ni-CNT grease: (a) scar on the lower ball → (a1) general distribution of elements, (a2) phosphorus distribution, (a3) nickel distribution; (b) part of a ring on the upper ball → (b1) general distribution of elements, (b2) phosphorus distribution, (b3) nickel distribution.
Figure 10. EDS analysis of the worn surfaces of selected balls. Lubrication with Ni-CNT grease: (a) scar on the lower ball → (a1) general distribution of elements, (a2) phosphorus distribution, (a3) nickel distribution; (b) part of a ring on the upper ball → (b1) general distribution of elements, (b2) phosphorus distribution, (b3) nickel distribution.
Lubricants 12 00448 g010
Figure 11. EDS analysis of the wear scars of selected bottom balls. Lubrication with the reference grease (load 1000 N): SEM image (a), general distribution of elements (b), phosphorus distribution (c), sulphur distribution (d), zinc distribution (e), carbon distribution (f).
Figure 11. EDS analysis of the wear scars of selected bottom balls. Lubrication with the reference grease (load 1000 N): SEM image (a), general distribution of elements (b), phosphorus distribution (c), sulphur distribution (d), zinc distribution (e), carbon distribution (f).
Lubricants 12 00448 g011
Figure 12. EDS analysis of the wear scars of selected bottom balls. Lubrication with Cu-CNT grease (load 1000 N): SEM image (a), general distribution of elements (b), phosphorus distribution (c), sulphur distribution (d), zinc distribution (e), carbon distribution (f).
Figure 12. EDS analysis of the wear scars of selected bottom balls. Lubrication with Cu-CNT grease (load 1000 N): SEM image (a), general distribution of elements (b), phosphorus distribution (c), sulphur distribution (d), zinc distribution (e), carbon distribution (f).
Lubricants 12 00448 g012
Figure 13. EDS analysis of the wear scars of selected bottom balls. Lubrication with Ni-CNT grease (load 1000 N): SEM image (a), general distribution of elements (b), phosphorus distribution (c), sulphur distribution (d), zinc distribution (e), carbon distribution (f).
Figure 13. EDS analysis of the wear scars of selected bottom balls. Lubrication with Ni-CNT grease (load 1000 N): SEM image (a), general distribution of elements (b), phosphorus distribution (c), sulphur distribution (d), zinc distribution (e), carbon distribution (f).
Lubricants 12 00448 g013
Figure 14. Raman spectra obtained for the friction trace (ring) on the ball using various sample preparation methods: wavelength 514 nm, laser power 1 mW, CCD detector exposure time 20 s for the pristine sample and 60 s for the other samples.
Figure 14. Raman spectra obtained for the friction trace (ring) on the ball using various sample preparation methods: wavelength 514 nm, laser power 1 mW, CCD detector exposure time 20 s for the pristine sample and 60 s for the other samples.
Lubricants 12 00448 g014
Figure 15. Raman spectra of the CNT powder used for grease formulation and the corresponding spectra of the grease remnants spotted on the friction trace.
Figure 15. Raman spectra of the CNT powder used for grease formulation and the corresponding spectra of the grease remnants spotted on the friction trace.
Lubricants 12 00448 g015
Disclaimer/Publisher’s Note: The statements, opinions and data contained in all publications are solely those of the individual author(s) and contributor(s) and not of MDPI and/or the editor(s). MDPI and/or the editor(s) disclaim responsibility for any injury to people or property resulting from any ideas, methods, instructions or products referred to in the content.

Share and Cite

MDPI and ACS Style

Skrzypek, M.; Wojciechowski, Ł.; Kałużny, J.; Boncel, S.; Marek, A.A.; Runka, T.; Nowicki, M.; Jędrysiak, R.; Ruczka, S.; Błaszkiewicz, P. Carbon Nanotubes Decorated with Nickel or Copper as Anti-Wear and Extreme-Pressure Additives for Greases. Lubricants 2024, 12, 448. https://doi.org/10.3390/lubricants12120448

AMA Style

Skrzypek M, Wojciechowski Ł, Kałużny J, Boncel S, Marek AA, Runka T, Nowicki M, Jędrysiak R, Ruczka S, Błaszkiewicz P. Carbon Nanotubes Decorated with Nickel or Copper as Anti-Wear and Extreme-Pressure Additives for Greases. Lubricants. 2024; 12(12):448. https://doi.org/10.3390/lubricants12120448

Chicago/Turabian Style

Skrzypek, Magdalena, Łukasz Wojciechowski, Jarosław Kałużny, Sławomir Boncel, Adam A. Marek, Tomasz Runka, Marek Nowicki, Rafał Jędrysiak, Szymon Ruczka, and Paulina Błaszkiewicz. 2024. "Carbon Nanotubes Decorated with Nickel or Copper as Anti-Wear and Extreme-Pressure Additives for Greases" Lubricants 12, no. 12: 448. https://doi.org/10.3390/lubricants12120448

APA Style

Skrzypek, M., Wojciechowski, Ł., Kałużny, J., Boncel, S., Marek, A. A., Runka, T., Nowicki, M., Jędrysiak, R., Ruczka, S., & Błaszkiewicz, P. (2024). Carbon Nanotubes Decorated with Nickel or Copper as Anti-Wear and Extreme-Pressure Additives for Greases. Lubricants, 12(12), 448. https://doi.org/10.3390/lubricants12120448

Note that from the first issue of 2016, this journal uses article numbers instead of page numbers. See further details here.

Article Metrics

Back to TopTop