Effect of Variation in Viscosity on Static and Dynamic Characteristics of Rough Porous Journal Bearings with Micropolar Fluid Squeeze Film Lubrication
Abstract
1. Introduction
2. Formulation
- at (the bearing’s surface) and
- at (the journal’s surface)
3. Short Journal Bearing
4. Results and Discussion
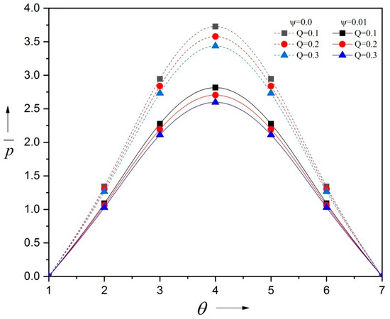
4.1. Pressure Distribution
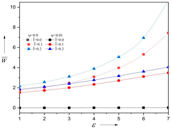
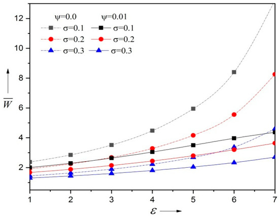
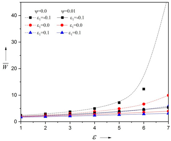
4.2. Load Capacity
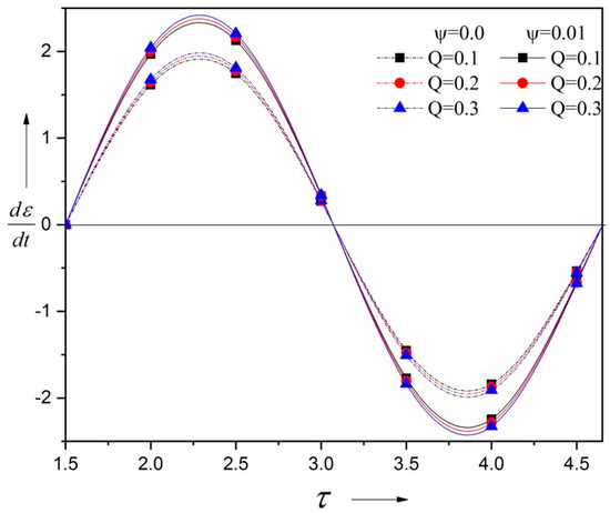
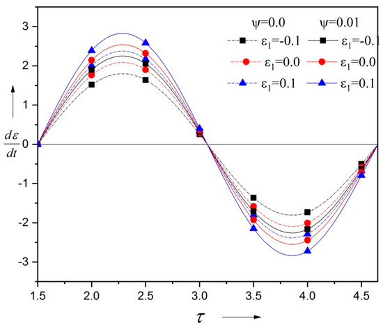
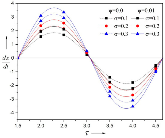
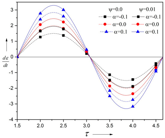
4.3. Journal Center Velocity
5. Conclusions
- Increases in the viscosity variation parameter decrease the squeeze film pressure and load carrying capacity by 4.14% and 13.14%, respectively, while it enhances the journal center velocity by 1.83%.
- Micropolar lubricants improve the load capacity and film pressure and reduce the journal center velocity under a cyclic load as compared to the related Newtonian case.
- The increase in the porosity factor decreases the squeeze film pressure and load capacity and raises the journal center velocity.
- The presence of a negatively skewed rough surface increases the load capacity and pressure on the squeeze film, whereas the load capacity and squeeze film pressure diminish for positively increasing values of the roughness parameters.
- The velocity of the journal center improves with positively increasing values and decreases for decreasing values of the roughness parameters.
- Our findings align with those obtained by Naduvinamani and Kashinath [40] in the case with no variation in the viscosity parameter, which verifies the effect of variations in the viscosity on rough short porous journal bearings.
Author Contributions
Funding
Data Availability Statement
Acknowledgments
Conflicts of Interest
Nomenclature
| expectancy operator | |
| mean load capacity | |
| Eccentricity | |
| radial clearance | |
| maximum deviation from mean film thickness | |
| random variable | |
| mean film thickness | |
| film thickness | |
| porous layer thickness | |
| permeability of porous medium | |
| characteristic length of polar suspension | |
| dimensionless form of | |
| length of bearing | |
| coupling number | |
| pressure of lubricant | |
| porous matrix’s pressure | |
| dimensionless mean pressure | |
| journal radius | |
| Somerfield number | |
| Time | |
| fluid velocity components in , and directions | |
| microrotational velocity components along . and directions, respectively | |
| squeeze velocity | |
| dimensionless mean load capacity | |
| applied cyclic load’s amplitude | |
| mean steady load | |
| rectangular coordinates | |
| dimensionless form regarding | |
| stochastic mean film thickness | |
| viscosity coefficients for micropolar fluids | |
| eccentricity ratio factor | |
| dimensionless form of | |
| measure of symmetry about random stochastic variable | |
| lubricant viscosity | |
| permeability parameter | |
| dimensionless form of | |
| Variance |
References
- Lord Rayleigh, O.M.F.R.S. I. Notes on the theory of lubrication. Lond. Edinb. Dublin Philos. Mag. J. Sci. 1918, 35, 1–12. [Google Scholar] [CrossRef]
- Cameron, A.; Wood, W.L. The full journal bearings. Proc. Inst. Mech. Eng. 1949, 161, 59. [Google Scholar] [CrossRef]
- Tipei, N. Theory of Lubrication; Stanford University Press: Stanford, CA, USA, 1962; Chapter 3. [Google Scholar]
- Lidia, G.; Jaroslaw, S.; Artur, O.; Tomasz, Z. Experimental investigation into surface texture effect on journal beraings performance. Tribol. Int. 2019, 136, 372–384. [Google Scholar] [CrossRef]
- Allaire, P.E.; Flack, R.D. Design of Journal Bearings for Rotating Machinery; Texas A&M University. Turbomachinery Laboratories: College Station, TX, USA, 1981; pp. 25–45. Available online: https://hdl.handle.net/1969.1/163716 (accessed on 10 November 2024).
- Sunil, K.; Vijaya, K.; Anoop, K. Influence of lubricants on the performance of journal bearings. Tribol.-Mater. Surf. Interfaces 2020, 14, 67–78. [Google Scholar] [CrossRef]
- Eringen, A.C. Simple micropolar fluids. Int. J. Eng. Sci. 1964, 2, 205–217. [Google Scholar] [CrossRef]
- Eringen, A.C. Theory of micropolar fluids. J. Math. Mech. 1966, 16, 1–18. Available online: https://www.jstor.org/stable/24901466 (accessed on 10 November 2024). [CrossRef]
- Allen, S.J.; Kline, K.A. Lubrication theory for micropolar fluids. J. Appl. Mech. 1971, 38, 646–650. [Google Scholar] [CrossRef]
- Zaheeruddin, K.H.; Isa, M. Micropolar fluid lubrication of one-dimensional journal bearing. Wear 1978, 50, 211–220. [Google Scholar] [CrossRef]
- Tipei, N. Lubrication with micropolar liquids and its application to short journal bearings. J. Tribol. 1979, 101, 356–363. [Google Scholar] [CrossRef]
- Bujurke, N.M.; Bhavi, S.G.; Hiremath, P.S. Squeeze film lubricated with micropolar fluids. Proc. Indian Natl. Sci. Acad. 1987, 53, 391–398. [Google Scholar]
- Sharma, S.; Lambha, S.; Mittal, V.; Verma, R. Micropolar lubricant effects on the performance of partial journal bearings. Proc. Inst. Mech. Eng. Part J J. Eng. Tribol. 2023, 237, 1461–1470. [Google Scholar] [CrossRef]
- Boualem, C.; Mohamed, H.; Othman, T.; Moussa, S. Combined effects of elastic deformation and piezo –viscous dependency on the performance of a journal bearing operating with a non-Newtonian fluid. Proc. Inst. Mech. Eng. Part J J. Eng. Tribol. 2022, 236, 2457–2467. [Google Scholar] [CrossRef]
- Murti, P.R.K. Lubrication of finite porous journal bearing. Wear 1973, 26, 95–104. [Google Scholar] [CrossRef]
- Li, W.L. Derivation of modified Reynolds equation-a porous media model. J. Tribol. 1999, 121, 823–829. [Google Scholar] [CrossRef]
- Anas, S.; Mohamed, N.; Mohamed, E.K. Non-Newtonian effects on porous elastic journal bearings. Tribol. Int. 2018, 120, 23–33. [Google Scholar] [CrossRef]
- Dhanapal, P.; Kanguri, S.; Hanumagowda, B. Squeeze film lubrication on porous secant curved circular plates induced by micropolar fluids. AIP Conf. Proc. 2023, 1, 2852. [Google Scholar] [CrossRef]
- Bhattacharjee, B.; Chakraborti, P.; Choudhuri, K. Theoretical analysis of single layered porous short journal bearing under the lubrication of micropolar fluid. J. Braz. Soc. Mech. Sci. Eng. 2019, 41, 365. [Google Scholar] [CrossRef]
- Bhattacharjee, B.; Biswas, N.; Chakraborti, P. A comparative analysis of the performance of micropolar fluid lubricated single layered and double-layered porous journal bearing. J. Porous Media 2022, 25, 35–45. [Google Scholar] [CrossRef]
- Christensen, H. Stochastic models of hydrodynamic lubrication of rough surfaces. Proc. Inst. Mech. Eng. 1969, 184, 1013–1026. [Google Scholar] [CrossRef]
- Zhu, S.; Zhang, X.; Sun, J.; Wang, D. A study of misaligned compliant journal bearings lubricated by non-Newtonian fluids considering surface roughness. Tribol. Int. 2023, 179, 108138. [Google Scholar] [CrossRef]
- Naduvinamani, N.B.; Ashwini, A. Surface roughness influence on the dynamic performance Rayleigh step bearing lubricated with couple stress fluid. Proc. Natl. Acad. Sci. India Sect. A Phys. Sci. 2024, 94, 235–247. [Google Scholar] [CrossRef]
- Monayya, M.; Santosh, S. Micropolar fluid lubrication of finite partial rough porous journal bearings with squeeze effect. Int. J. Mech. Eng. Technol. 2015, 6, 258–279. [Google Scholar]
- Chaithra, N.; Hanumagowda, B.; Sreekala, C.; Vasanth, K. Study about the characteristics of squeeze film between rough porous curved annular plates in the presence of micropolar fluids. Mater. Today Proc. 2023, in press. [CrossRef]
- Ujjal, B.; Sanjoy, D.; Santanu, D. Influence of Roughness on Micropolar Lubricated Finite Porous Journal Bearing. In Recent Advances in Thermofluids and Manufacturing Engineering; Springer Nature: Singapore, 2022; pp. 543–559. [Google Scholar] [CrossRef]
- Sinha, P.; Singh, C.; Prasad, K.R. Effect of viscosity variation due to lubricant additives in journal bearings. Wear 1981, 66, 175–188. [Google Scholar] [CrossRef]
- Rao, P.S.; Kumar Rahul, A. Effect of viscosity variation on non-Newtonian lubrication of squeeze film conical bearing having porous wall operating with Rabinowitsch fluid model. Proc. Inst. Mech. Eng. Part C J. Mech. Eng. Sci. 2018, 237, 2538–2551. [Google Scholar] [CrossRef]
- Zheng, L.; Zhu, H.; Zhu, J.; Deng, Y. Effect of oil film thickness and viscosity on the performance of misaligned journal bearings with couple stress lubricants. Tribol. Int. 2020, 146, 106229. [Google Scholar] [CrossRef]
- Rahul, A.K.; Singh, M.K.; Saha, S. Squeeze film lubrication analysis and optimization of porous annular disk with viscosity variation of non-Newtonian fluid: Rabinowitsch fluid model. Tribol. Int. 2023, 179, 108060. [Google Scholar] [CrossRef]
- Awati, V.B.; Kengangutti, A.; Kumar, M. Multigrid method for the solution of combined effect of viscosity variation and surface roughness on the squeeze film lubrication of Journal bearings. J. Mech. Eng. 2016, 46, 1–8. [Google Scholar] [CrossRef][Green Version]
- Lin, J.R. Static and dynamic behaviours of pure squeeze films in couple stress fluid lubricated short journal bearings. Proc. Inst. Mech. Eng. Part J J. Eng. Tribol. 1997, 211, 29–36. [Google Scholar] [CrossRef]
- Gu, Y.; Cheng, J.; Xie, C.; Li, L.; Zheng, C. Theoretical and numerical investigation on static characteristics of aerostatic porous journal bearings. Machines 2022, 10, 171. [Google Scholar] [CrossRef]
- Dang, R.K.; Goyal, D.; Chauhan, A.; Dhami, S.S. Effect of non-Newtonian lubricants on static and dynamic characteristics of journal bearings. Mater. Today Proc. 2020, 28, 1345–1349. [Google Scholar] [CrossRef]
- Fang, C.; Zhu, A.; Zhou, W.; Peng, Y.; Meng, X. On the stiffness and damping characteristics of line contact under transient elastohydrodynamic lubrication. Lubricants 2022, 10, 73. [Google Scholar] [CrossRef]
- Fu, C.; Zhu, W.; Ma, J.; Gu, F. Static and dynamic characteristics of journal bearings under uncertainty: A Nonprobabilistic perspective. J. Eng. Gas. Turbines Power 2022, 144, 071012. [Google Scholar] [CrossRef]
- Jaya Chandra Reddy, G.; Eswara Reddy, C.; Rama Krishna Prasad, K. Effect of viscosity variation on the squeeze film performance of a narrow hydrodynamic journal bearing with couple stress fluid. Proc. Inst. Mech. Eng. Part J J. Eng. Tribol. 2008, 2, 222. [Google Scholar] [CrossRef]
- Ajimokotan, H.A. Viscosity of Fluid Lubricants. In Principles and Application of Tribology; Springer Nature: Cham, Switzerland, 2024; pp. 29–37. [Google Scholar]
- Sharma, S.; Krishna, C.M. Static and dynamic performances of an offset bearing under a micropolar lubricant. Proc. Inst. Mech. Eng. Part J J. EngTribol 2022, 236, 59–69. [Google Scholar] [CrossRef]
- Naduvinamani, N.B.; Kashinath, B. Surface-roughness effects on the static and dynamic behaviour of squeeze film lubrication of short journal bearing with micpolar fluids. Proc. Inst. Mech. Eng. Part J J. Eng. Tribology. 2008, 222, 121–131. [Google Scholar] [CrossRef]
- Andharia, P.I.; Gupta, J.L.; Deheri, G.M. Effect of surface roughness on hydrodynamic lubrication of slider bearings. Trans. Tribol. 2001, 44, 291–297. [Google Scholar] [CrossRef]
- Naduvinamani, N.B.; Santosh, S. Micropolar fluid squeeze film lubrication of finite porous journal bearing. Tribol. Int. 2011, 44, 409–416. [Google Scholar] [CrossRef]

















| 0.1 | −4.14 | −13.18 | 1.82 | −4.14 | −13.40 | 1.83 | |
| 0.2 | −8.45 | −28.07 | 3.62 | −8.45 | −28.59 | 3.62 | |
| 0.3 | −12.93 | −44.90 | 5.38 | −12.93 | −45.79 | 5.39 | |
| 0.1 | −4.14 | −13.18 | 1.82 | −4.14 | −13.09 | 1.83 | |
| 0.2 | −8.45 | −28.09 | 3.62 | −8.45 | −27.86 | 3.62 | |
| 0.3 | −12.93 | −44.92 | 5.38 | −12.93 | −44.54 | 5.39 | |
Disclaimer/Publisher’s Note: The statements, opinions and data contained in all publications are solely those of the individual author(s) and contributor(s) and not of MDPI and/or the editor(s). MDPI and/or the editor(s) disclaim responsibility for any injury to people or property resulting from any ideas, methods, instructions or products referred to in the content. |
© 2024 by the authors. Licensee MDPI, Basel, Switzerland. This article is an open access article distributed under the terms and conditions of the Creative Commons Attribution (CC BY) license (https://creativecommons.org/licenses/by/4.0/).
Share and Cite
Naduvinamani, N.B.; Koppa, B.K. Effect of Variation in Viscosity on Static and Dynamic Characteristics of Rough Porous Journal Bearings with Micropolar Fluid Squeeze Film Lubrication. Lubricants 2024, 12, 389. https://doi.org/10.3390/lubricants12110389
Naduvinamani NB, Koppa BK. Effect of Variation in Viscosity on Static and Dynamic Characteristics of Rough Porous Journal Bearings with Micropolar Fluid Squeeze Film Lubrication. Lubricants. 2024; 12(11):389. https://doi.org/10.3390/lubricants12110389
Chicago/Turabian StyleNaduvinamani, Neminath Bhujappa, and Bhagyashri Kotreppa Koppa. 2024. "Effect of Variation in Viscosity on Static and Dynamic Characteristics of Rough Porous Journal Bearings with Micropolar Fluid Squeeze Film Lubrication" Lubricants 12, no. 11: 389. https://doi.org/10.3390/lubricants12110389
APA StyleNaduvinamani, N. B., & Koppa, B. K. (2024). Effect of Variation in Viscosity on Static and Dynamic Characteristics of Rough Porous Journal Bearings with Micropolar Fluid Squeeze Film Lubrication. Lubricants, 12(11), 389. https://doi.org/10.3390/lubricants12110389

