Effect of Speed and Number of Sliding Cycles on the Film Formation Behavior of Fluorine-Based Grease
Abstract
1. Introduction
2. Materials and Methods
2.1. Preparation of Specimens
2.2. Friction Test
3. Results
3.1. Three-Dimensional Profiles of Grease
3.2. Analysis of Grease Thickness in the Central Contact Area
3.3. Analysis of Grease Thickness in the Non-Central Contact Area
4. Discussion
5. Conclusions
- The results underscore the significant impact of the sliding speed on the film formation behavior of grease. At lower speeds (1 mm/s and 2 mm/s), the grease exhibits a relatively uniform distribution on the track after one cycle. Conversely, at higher speeds (4 mm/s and 8 mm/s), the grease distribution becomes uneven, with localized areas displaying thicker grease layers compared to the surroundings. This non-uniformity becomes more pronounced after two cycles. The rationale behind this observation is attributed to the increase in grease viscosity with speed, resulting in heightened resistance to flow and consequently leading to a non-uniform distribution.
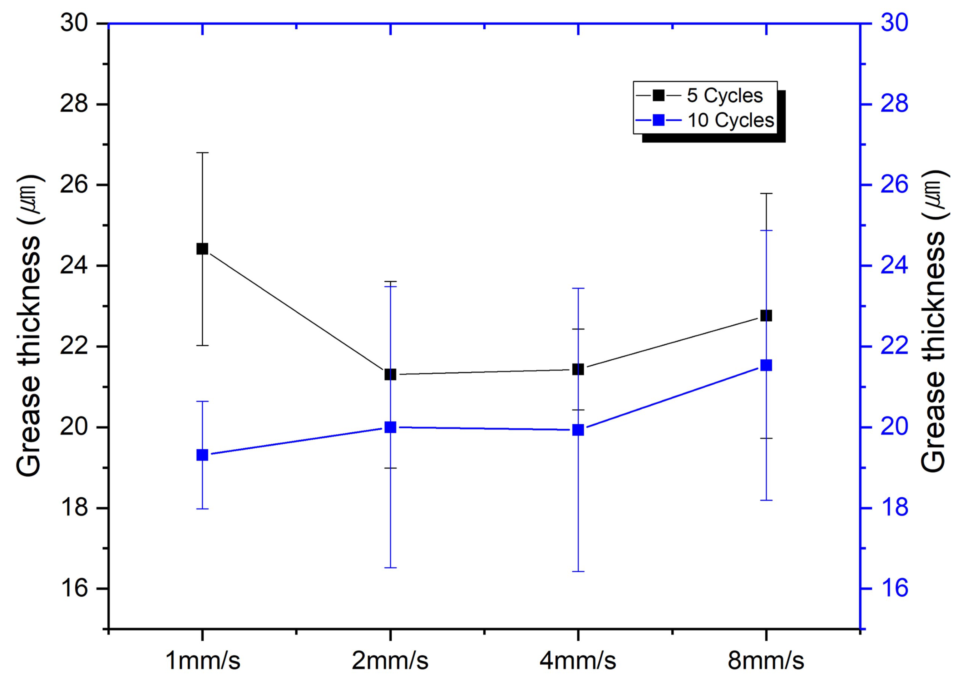
- Concerning the thickness of the grease in the central contact area, there is an initial decrease in thickness during the early cycles (one cycle and two cycles) across all speeds. However, in subsequent cycles (5 cycles and 10 cycles), there is an increase in thickness, indicating the replenishment of grease in the central contact area.
- This phenomenon can be understood by considering the inherent viscosity of grease, which imparts resistance to flow. Consequently, grease displaced to the endpoint is unable to flow back into the track, leading to a reduction in grease thickness in the central contact area after one cycle and two cycles.
- However, within repetitive cycle processes, such as those in 5 cycles and 10 cycles, there emerges a distinctive configuration based on the changes in pressure–viscosity coefficient associated with variations in speed, setting it apart from the characteristics observed during one cycle and two cycles. The pressure–viscosity coefficient exponentially increases with the rise in speed. At the endpoint, the direction of motion changes, causing an instantaneous drop in speed to zero. This allows the ball to penetrate deeper regions of the grease. Consequently, a portion of the displaced grease is momentarily replenished back into the track. Furthermore, the formation of a fan-shaped configuration indicates that replenishment of grease occurs not only in the central contact but also in the non-central contact areas. This phenomenon is attributed to the adhesive forces among the grease and the adhesive forces between the ball and the grease.
- Further investigation is required to delve into the intricate interactions between the grease, ball, and plate under various sliding conditions and to develop comprehensive models capable of predicting the film formation behavior of grease. To construct models for sliding motion, the selection of experimental conditions with stable parameters becomes crucial. Moreover, extensive research efforts are needed to explore the differences in film formation behavior based on grease components, such as the base oil, thickeners, and additives, and various environmental conditions. This study makes a valuable contribution to understanding the early-stage film formation behavior of grease in sliding motion.
Author Contributions
Funding
Data Availability Statement
Conflicts of Interest
References
- UNEP. Available online: https://www.unep.org/resources/assessment/environmental-rule-law-first-global-report (accessed on 3 November 2023).
- Holmberg, K.; Erdemir, A. Influence of tribology on global energy consumption, costs and emissions. Friction 2017, 5, 263–284. [Google Scholar] [CrossRef]
- Yoo, S.S.; Kim, D.E. Minimum lubrication technique using silicone oil for friction reduction of stainless steel. Int. J. Precis. Eng. Manuf. 2013, 14, 875–880. [Google Scholar] [CrossRef]
- Penkov, O.V.; Pukha, V.E.; Zubarev, E.N.; Yoo, S.S.; Kim, D.E. Tribological properties of nanostructured DLC coatings deposited by C60 ion beam. Tribol. Int. 2013, 60, 127–135. [Google Scholar] [CrossRef]
- Lin, L.Y.; Kim, D.E. Effect of elevated annealing temperature on the microstructure and nano-hardness of ZnO films deposited by the sol-gel process. Int. J. Precis. Eng. Manuf. 2012, 13, 2005–2009. [Google Scholar] [CrossRef]
- Khadem, M.; Kang, W.B.; Kim, D.E. Green Tribology: A Review of Biodegradable Lubricants—Properties, Current Status, and Future Improvement Trends. Int. J. Precis. Eng. Manuf.-Green Technol. 2023, 1–19. [Google Scholar] [CrossRef]
- Kunishima, T.; Nagai, Y.; Bouvard, G.; Abry, J.C.; Fridrici, V.; Kapsa, P. Comparison of the tribological properties of carbon/glass fiber reinforced PA66-based composites in contact with steel, with and without grease lubrication. Wear 2021, 477, 203899. [Google Scholar] [CrossRef]
- Kunishima, T.; Nagai, Y.; Kurokawa, T.; Bouvard, G.; Abry, J.C.; Fridrici, V.; Kapsa, P. Tribological behavior of glass fiber reinforced-PA66 in contact with carbon steel under high contact pressure, sliding and grease lubricated conditions. Wear 2020, 456, 203383. [Google Scholar] [CrossRef]
- Kunishima, T.; Nagai, Y.; Nagai, S.; Kurokawa, T.; Bouvard, G.; Abry, J.C.; Fridrici, V.; Kapsa, P. Effects of glass fiber properties and polymer molecular mass on the mechanical and tribological properties of a polyamide-66-based composite in contact with carbon steel under grease lubrication. Wear 2020, 462, 203500. [Google Scholar] [CrossRef]
- Biazon, L.; Ferrer, B.P.; Toro, A.; Cousseau, T. Correlations between rail grease formulation and friction, wear and RCF of a wheel/rail tribological pair. Tribol. Int. 2021, 153, 106566. [Google Scholar] [CrossRef]
- Sun, L.; Ma, R.; Zhao, Q.; Zhao, G.; Wang, X. The Impact of Water on the Tribological Behavior of Lubricating Grease Based on Calcium Carbonate Polymorphs. Lubricants 2022, 10, 188. [Google Scholar] [CrossRef]
- Wang, D.Y.; Yoo, S.S.; Kim, S.S.; Kim, D.E. Effect of water content on tribological characteristics of grease. J. Korean Soc. Precis. Eng. 2016, 33, 37–43. [Google Scholar] [CrossRef]
- Lugt, P.M. A review on grease lubrication in rolling bearings. Tribol. Trans. 2009, 52, 470–480. [Google Scholar] [CrossRef]
- Fischer, D.; Jacobs, G.; Stratmann, A.; Burghardt, G. Effect of base oil type in grease composition on the lubricating film formation in EHD contacts. Lubricants 2018, 6, 32. [Google Scholar] [CrossRef]
- Fischer, D.; Mues, H.; Jacobs, G.; Stratmann, A. Effect of over rolling frequency on the film formation in grease lubricated EHD contacts under starved conditions. Lubricants 2019, 7, 19. [Google Scholar] [CrossRef]
- Kauzlarich, J.J.; Greenwood, J.A. Inlet shear heating in elastohydrodynamic lubrication. Trans. ASME J. Lubr. Technol. 1973, 95, 417–426. [Google Scholar]
- Karthikeyan, B.K.; Teodorescu, M.; Rahnejat, H.; Rothberg, S.J. Thermoelastohydrodynamics of grease-lubricated concentrated point contacts. Proc. Inst. Mech. Eng. Part C J. Mech. Eng. Sci. 2010, 224, 683–695. [Google Scholar] [CrossRef]
- Kim, H.; Kim, R.U.; Chung, K.H.; An, J.H.; Jeon, H.G.; Kim, B.J. Effect of test parameters on degradation of polyurethane elastomer for accelerated life testing. Polym. Test. 2014, 40, 13–23. [Google Scholar] [CrossRef]
- Escobar, L.A.; Meeker, W.Q. A review of accelerated test models. Stat. Sci. 2006, 21, 552–577. [Google Scholar] [CrossRef]
- Makino, T.; Kato, T.; Hirakawa, K. The effect of slip ratio on the rolling contact fatigue property of railway wheel steel. Int. J. Fatigue 2012, 36, 68–79. [Google Scholar] [CrossRef]
- Mohammadpour, M.; Johns-Rahnejat, P.M.; Rahnejat, H.; Gohar, R. Boundary conditions for elastohydrodynamics of circular point contacts. Tribol. Lett. 2014, 53, 107–118. [Google Scholar] [CrossRef]
- Johns-Rahnejat, P.M.; Gohar, R. Measuring contact pressure distributions under elastohydrodynamic point contacts. Tribotest 1994, 1, 33–53. [Google Scholar] [CrossRef]
- Georgiou, E.P.; Drees, D.; De Bilde, M.; Anderson, M. Can we put a value on the adhesion and tackiness of greases? Tribol. Lett. 2018, 66, 60. [Google Scholar] [CrossRef]
- Morales-Espejel, G.E.; Lugt, P.M.; Pasaribu, H.R.; Cen, H. Film thickness in grease lubricated slow rotating rolling bearings. Tribol. Int. 2014, 74, 7–19. [Google Scholar] [CrossRef]
- Cousseau, T.; Björling, M.; Graça, B.; Campos, A.; Seabra, J.; Larsson, R. Film thickness in a ball-on-disc contact lubricated with greases, bleed oils and base oils. Tribol. Int. 2012, 53, 53–60. [Google Scholar] [CrossRef]
- Ohno, N.; Rahman, Z.; Syusukeyamada; Komiya, H. Effect of Perfluoropolyether Fluids on Life of Thrust Ball Bearings. Tribol. Trans. 2009, 52, 492–500. [Google Scholar] [CrossRef]
- Pensado, A.S.; Comunas, M.J.P.; Fernández, J. The pressure-viscosity coefficient of several ionic liquids. Tribol. Lett. 2008, 31, 107–118. [Google Scholar] [CrossRef]
- Gold, P.W.; Schmidt, A.; Dicke, H.; Loos, J.; Assmann, C. Viscosity-pressure-temperature behaviour of mineral and synthetic oils. J. Synth. Lubric. 2001, 18, 51–79. [Google Scholar] [CrossRef]
- van Leeuwen, H. The determination of the pressure—viscosity coefficient of a lubricant through an accurate film thickness formula and accurate film thickness measurements. Proc. Inst. Mech. Eng. Part J J. Eng. Tribol. 2009, 223, 1143–1163. [Google Scholar] [CrossRef]
- van Leeuwen, H. The determination of the pressure–viscosity coefficient of a lubricant through an accurate film thickness formula and accurate film thickness measurements. Part 2: High L values. Proc. Inst. Mech. Eng. Part J J. Eng. Tribol. 2011, 225, 449–464. [Google Scholar] [CrossRef]
- Bair, S. A critical evaluation of film thickness-derived pressure-viscosity coefficients. Lubr. Sci. 2015, 27, 337–346. [Google Scholar] [CrossRef]
- Vengudusamy, B.; Enekes, C.; Spallek, R. On the film forming and friction behaviour of greases in rolling/sliding contacts. Tribol. Int. 2019, 129, 323–337. [Google Scholar] [CrossRef]
- Muller, D.; Matta, C.; Thijssen, R.; Bin Yusof, M.N.; Van Eijk, M.C.P.; Chatra, S. Novel polymer grease microstructure and its proposed lubrication mechanism in rolling/sliding contacts. Tribol. Int. 2017, 110, 278–290. [Google Scholar] [CrossRef]
- Gonçalves, D.; Graça, B.; Campos, A.V.; Seabra, J.; Leckner, J.; Westbroek, R. On the film thickness behaviour of polymer greases at low and high speeds. Tribol. Int. 2015, 90, 435–444. [Google Scholar] [CrossRef]












| Experimental Condition | Value |
|---|---|
| Load (gf) | 50 |
| Cycle | 1, 2, 5, 10 |
| Sliding Speed (mm/s) | 1, 2, 4, 8 |
| Stroke (mm) | 1 |
Disclaimer/Publisher’s Note: The statements, opinions and data contained in all publications are solely those of the individual author(s) and contributor(s) and not of MDPI and/or the editor(s). MDPI and/or the editor(s) disclaim responsibility for any injury to people or property resulting from any ideas, methods, instructions or products referred to in the content. |
© 2024 by the authors. Licensee MDPI, Basel, Switzerland. This article is an open access article distributed under the terms and conditions of the Creative Commons Attribution (CC BY) license (https://creativecommons.org/licenses/by/4.0/).
Share and Cite
Chi, J.-B.; Ma, H.-J.; Lee, G.-S.; Park, J.-H.; Kim, D.-E. Effect of Speed and Number of Sliding Cycles on the Film Formation Behavior of Fluorine-Based Grease. Lubricants 2024, 12, 26. https://doi.org/10.3390/lubricants12010026
Chi J-B, Ma H-J, Lee G-S, Park J-H, Kim D-E. Effect of Speed and Number of Sliding Cycles on the Film Formation Behavior of Fluorine-Based Grease. Lubricants. 2024; 12(1):26. https://doi.org/10.3390/lubricants12010026
Chicago/Turabian StyleChi, Jeong-Bin, Hyuk-Jae Ma, Gyu-Sun Lee, Ju-Ho Park, and Dae-Eun Kim. 2024. "Effect of Speed and Number of Sliding Cycles on the Film Formation Behavior of Fluorine-Based Grease" Lubricants 12, no. 1: 26. https://doi.org/10.3390/lubricants12010026
APA StyleChi, J.-B., Ma, H.-J., Lee, G.-S., Park, J.-H., & Kim, D.-E. (2024). Effect of Speed and Number of Sliding Cycles on the Film Formation Behavior of Fluorine-Based Grease. Lubricants, 12(1), 26. https://doi.org/10.3390/lubricants12010026

