Optimization of the Tribological Performance and Service Life of Calcium Sulfonate Complex—Polyurea Grease Based on Unreplicated Saturated Factorial Design
Abstract
:1. Introduction
2. Design and Preparation
2.1. Preparation of CSCPG
2.2. Unreplicated Saturated Factorial Design
- (1)
- y = (y1, …, yn) T is the observation vector, and n is the number of experiments;
- (2)
- βi, i = 0, …, p is an unknown set of significant influencing factor parameters, β0 is the general average, and they are all parameters to be estimated, p = n − 1;
- (3)
- xi = (x1i, x2i, …, xni) T is an orthogonal design matrix, with the column vectors x0, x1, …, xp being known, x0 = 1n being n-dimensional column vectors with all elements 1, x1, …, xp determined by the experimental design;
- (4)
- ε = (ε1, …, εn) T is the error vector and assumes: εi, i = 1, …, n are independent random variables with the same mean of 0 and the same variance σ2, εi follows a normal distribution, i.e., ε~N(0, σ2In); there are, at most, r(1 ≤ r < p) factors with nonzero effects among the p factors, i.e., at most, the r of β1, …, βp are not equal to zero.
2.3. Tribological Performance Test
2.4. Service Life Test
3. Multi-Objective Optimization Based on USFD
3.1. Experimental Design
3.2. Screening of Significant Influencing Factors
3.3. NSGA–II Multi-Objective Optimization
4. Results and Discussions
4.1. Analysis of Significant Influencing Factors
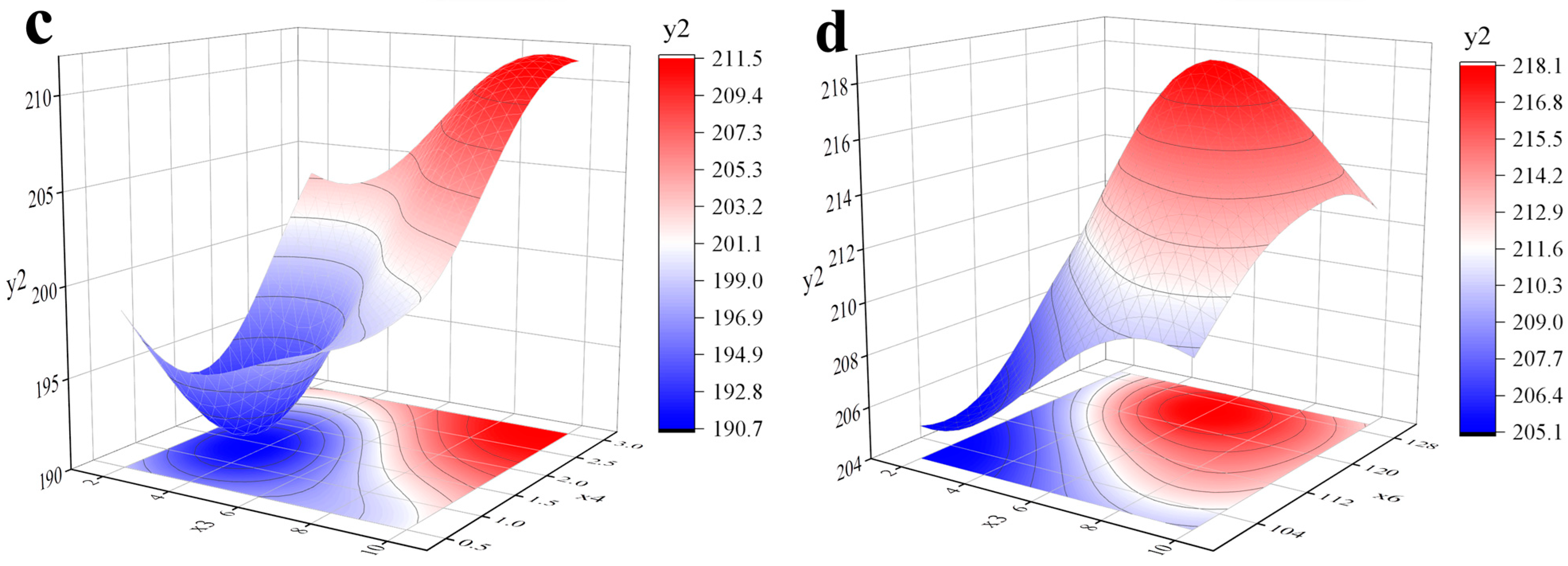
4.2. Optimization Analysis of Tribological Performance
4.3. Optimization Analysis of Service Life
5. Conclusions
- (1)
- The USFD method was used to screen those factors that may affect the tribological properties and service life of CSCPG during the preparation process. It was found that the viscosity of the base oil and the content of nano-solid friction reducers had a significant impact on the tribological properties of CSCPG, whereas the content of the polyurea thickeners and antioxidants, as well as the thickening reaction temperature, had a significant impact on the service life of CSCPG;
- (2)
- By optimizing the significant influencing factors of CSCPG through NSGA-II, a set of Pareto solutions can be obtained. When the friction coefficient and service life were used as the optimization objectives, the friction coefficient of the initial group of CSCPG could be reduced by 5.3%, and the service life could be extended by 3.8%. When increasing the droplet point as the third optimization objective, the friction coefficient increases;
- (3)
- The results of the tribological and life tests indicate that the Kriging prediction model has high accuracy. When compared to the predicted results, the relative error of the friction coefficient is only 1.1%, and the relative error of the service life is only 0.9%. This can be used to guide the preparation and performance optimization of CSCPG.
Author Contributions
Funding
Data Availability Statement
Conflicts of Interest
References
- Allmaier, H. Increase Service Life for Rail Wheel Bearings—A Review of Grease Lubrication for This Application. Lubricants 2022, 10, 36. [Google Scholar] [CrossRef]
- Bakunin, V.N.; Aleksanyan, D.R.; Bakunina, Y.N. Calcium Carbonate Polymorphs in Overbased Oil Additives and Greases. Russ. J. Appl. Chem. 2022, 95, 461–471. [Google Scholar] [CrossRef]
- Sniderman, D. Calcium sulfonate complex greases. Tribol. Lubr. Technol. 2016, 72, 28. [Google Scholar]
- Kobylyanskii, E.V.; Kravechuk, G.G.; Makedonskii, O.A.; Ishchuk, Y.L. Structure of ultrabasic sulfonate greases. Chem. Technol. Fuels Oils 2002, 38, 110–114. [Google Scholar] [CrossRef]
- Fan, X.; Li, W.; Li, H.; Zhu, M.; Xia, Y.; Wang, J. Probing the effect of thickener on tribological properties of lubricating greases. Tribol. Int. 2018, 118, 128–139. [Google Scholar] [CrossRef]
- Wen, Z.; Xia, Y.; Feng, X. Tribological Properties of the Overbased Calcium Sulfonate Complex Greases. In Advanced Materials Research; Zhao, H., Ed.; Mechanical and Electronics Engineering III, PTS 1-5; Trans Tech Publications, Ltd.: Zurich, Switzerland, 2012; Volume 130–134, pp. 891–894. [Google Scholar] [CrossRef]
- Woo, J.; Lee, D.; Ryong, H.K. Studies on the synthesis and characteristics of calcium sulfonate complex grease. J. Korea Acad.-Ind. Coop. Soc. 2019, 20, 8–15. [Google Scholar] [CrossRef]
- Liu, D.; Zhao, G.; Wang, X. Tribological Performance of Lubricating Greases Based on Calcium Carbonate Polymorphs Under the Boundary Lubrication Condition. Tribol. Lett. 2012, 47, 183–194. [Google Scholar] [CrossRef]
- Gao, Y.; Ge, X.; Wen, Z.; Xia, Y. Comparison Friction and Wear Properties of Overbased Calcium Sulfonate Complex Grease and Polyurea Grease. In Advanced Materials Research; Wu, J., Lu, X., Xu, H., Nakagoshi, N., Eds.; Resources and Sustainable Development, PTS 1-4; Trans Tech Publications, Ltd.: Zurich, Switzerland, 2013; Volume 734–737, p. 2484. [Google Scholar] [CrossRef]
- Zhang, H.; Mo, Y.M.; Lv, J.C.; Wang, J. Tribological Behavior of WS2 Nanoparticles as Additives in Calcium Sulfonate Complex-Polyurea Grease. Lubricants 2023, 11, 259. [Google Scholar] [CrossRef]
- Wu, C.; Hong, Y.; Ni, J.; Teal, P.D.; Yao, L.; Li, X. Investigation of mixed hBN/Al2O3 nanoparticles as additives on grease performance in rolling bearing under limited lubricant supply. Colloid Surf. A-Physicochem. Eng. Asp. 2023, 659, 130811. [Google Scholar] [CrossRef]
- Wu, C.; Liu, Z.; Ni, J.; Yang, K.; Yang, H.; Li, X. Improved tribological and bearing vibration performance of calcium sulfonate complex grease dispersed with MoS2 and oxide nanoparticles. Proc. Inst. Mech. Eng. Part C-J. Eng. Mech. Eng. Sci. 2023, 237, 1941–1955. [Google Scholar] [CrossRef]
- Venkataramani, P.S.; Srivastava, R.G.; Gupta, S.K. High temperature greases based on polyurea gellants: A review. J. Synth. Lubr. 1987, 4, 229–244. [Google Scholar] [CrossRef]
- Lyadov, A.S.; Maksimova, Y.M.; Ilyin, S.O.; Gorbacheva, S.N.; Parenago, O.P.; Antonov, S.V. Specific Features of Greases Based on Poly-alpha-olefin Oils with Ureate Thickeners of Various Structures. Russ. J. Appl. Chem. 2018, 91, 1735–1741. [Google Scholar] [CrossRef]
- Maksimova, Y.M.; Shakhmatova, A.S.; Ilyin, S.O.; Pakhmanova, O.A.; Lyadov, A.S.; Antonov, S.V.; Parenago, O.P. Rheological and Tribological Properties of Lubricating Greases Based on Esters and Polyurea Thickeners. Pet. Chem. 2018, 58, 1064–1069. [Google Scholar] [CrossRef]
- Liu, L.; Sun, H.W. Impact of polyurea structure on grease properties. Lubr. Sci. 2010, 22, 405–413. [Google Scholar] [CrossRef]
- Ren, G.; Zhou, C.; Fan, X.; Zheng, M.; Wang, S. Investigating the rheological and tribological properties of polyurea grease via regulating ureido amount. Tribol. Int. 2022, 173, 107643. [Google Scholar] [CrossRef]
- Ren, G.; Sun, X.; Li, W.; Li, H.; Zhang, L.; Fan, X.; Li, D.; Zhu, M. Improving the lubrication and anti-corrosion performance of polyurea grease via ingredient optimization. Friction 2021, 9, 1077–1097. [Google Scholar] [CrossRef]
- Cyriac, F.; Lugt, P.M.; Bosman, R. Impact of Water on the Rheology of Lubricating Greases. Tribol. Lubr. Technol. 2017, 73, 56–70. [Google Scholar] [CrossRef]
- Zhou, Y.; Bosman, R.; Lugt, P.M. On the Shear Stability of Dry and Water-Contaminated Calcium Sulfonate Complex Lubricating Greases. Tribol. Trans. 2019, 62, 626–634. [Google Scholar] [CrossRef]
- Bosman, R.; Lugt, P.M. The Microstructure of Calcium Sulfonate Complex Lubricating Grease and Its Change in the Presence of Water. Tribol. Trans. 2018, 61, 842–849. [Google Scholar] [CrossRef]
- Sun, L.; Ma, R.; Zhao, Q.; Zhao, G.; Wang, X. The Impact of Water on the Tribological Behavior of Lubricating Grease Based on Calcium Carbonate Polymorphs. Lubricants 2022, 10, 188. [Google Scholar] [CrossRef]
- Cyriac, F.; Lugt, P.M.; Bosman, R.; Venner, C.H. Impact of Water on EHL Film Thickness of Lubricating Greases in Rolling Point Contacts. Tribol. Lett. 2016, 61, 23. [Google Scholar] [CrossRef]
- Xu, J.; Wang, P.; Ma, X.; Qian, Y.; Chen, R. Parameters studies for rail wear in high-speed railway turnouts by unreplicated saturated factorial design. J. Cent. South Univ. 2017, 24, 988–1001. [Google Scholar] [CrossRef]
- Hou, S.; Dong, D.; Ren, L.; Han, X. Multivariable crashworthiness optimization of vehicle body by unreplicated saturated factorial design. Struct. Multidiscip. Optim. 2012, 46, 891–905. [Google Scholar] [CrossRef]
- Kleijnen, J. Kriging metamodeling in simulation: A review. Eur. J. Oper. Res. 2009, 192, 707–716. [Google Scholar] [CrossRef]
- Deb, K.; Pratap, A.; Agarwal, S.; Meyarivan, T. A fast and elitist multiobjective genetic algorithm: NSGA-II. IEEE Trans. Evol. Comput. 2002, 6, 182–197. [Google Scholar] [CrossRef]
- Li, H.; Zhang, Q.F. Multiobjective Optimization Problems with Complicated Pareto Sets, MOEA/D and NSGA-II. IEEE Trans. Evol. Comput. 2009, 13, 284–302. [Google Scholar] [CrossRef]
- Ren, G.; Zhang, P.; Li, W.; Fan, X.; Zhang, L.; Li, H.; Zhu, M. Probing the Synergy of Blended Lithium Complex Soap and Calcium Sulfonate Towards Good Lubrication and Anti-Corrosion Performance. Tribol. Lett. 2020, 68, 99. [Google Scholar] [CrossRef]
- Qi, P.; Wang, S.; Li, J.; Li, Y.; Dong, G. Synergistic lubrication effect of antioxidant and low content ZDDP on PFPE grease. Ind. Lubr. Tribol. 2021, 73, 830–838. [Google Scholar] [CrossRef]
- Dai, X.Z.; Guo, P.; Hong, D.M.; Hui, J.D.; Hui, Z.M.; Geng, F. The effect of preparation and characterisation of polyurea grease. Mater. Res. Innov. 2015, 19, 588–591. [Google Scholar] [CrossRef]
- Jang, D.; Anderson-Cook, C.M. Examining robustness of model selection with half-normal and LASSO plots for unreplicated factorial designs. Qual. Reliab. Eng. Int. 2017, 33, 1921–1928. [Google Scholar] [CrossRef]
- Skrypnyk, R.; Ekh, M.; Nielsen, J.C.O.; Palsson, B.A. Prediction of plastic deformation and wear in railway crossings—Comparing the performance of two rail steel grades. Wear 2019, 428, 302–314. [Google Scholar] [CrossRef]
- Garshin, M.V.; Porfiryev, Y.V.; Zaychenko, V.A.; Shuvalov, S.A.; Kolybelsky, D.S.; Gushchin, P.A.; Vinokurov, V.A. Effect of Base Oil Composition on the Low-Temperature Properties of Polyurea Greases. Pet. Chem. 2017, 57, 1177–1181. [Google Scholar] [CrossRef]
- Knothe, G.; Steidley, K.R. The effect of metals and metal oxides on biodiesel oxidative stability from promotion to inhibition. Fuel Process. Technol. 2018, 177, 75–80. [Google Scholar] [CrossRef]
- Sanchez-Gomez, J.M.; Vega-Rodriguez, M.A.; Perez, C.J. Comparison of automatic methods for reducing the Pareto front to a single solution applied to multi-document text summarization. Knowl.-Based Syst. 2019, 174, 123–136. [Google Scholar] [CrossRef]
- Wang, Z.; Xia, Y.; Liu, Z. The rheological and tribological properties of calcium sulfonate complex greases. Friction 2015, 3, 28–35. [Google Scholar] [CrossRef]
- Zhang, F.S.; Liu, T.T.; Liu, J.T.; Cui, F.K. Research on Bearing Life Prediction Based on Three Parameters Weibull Distribution. In Advanced Materials Research; Zuo, D., Guo, H., Xu, H.L., Su, C., Liu, C.J., Jin, W., Eds.; Frontier in Functional Manufacturing Technologies; Trans Tech Publications, Ltd.: Zurich, Switzerland, 2010; Volume 136, pp. 162–166. [Google Scholar] [CrossRef]
- Poplawski, J.V.; Peters, S.M.; Zaretsky, E.V. Effect of roller profile on cylindrical roller bearing life prediction—Part I: Comparison of bearing life theories. Tribol. Trans. 2001, 44, 339–350. [Google Scholar] [CrossRef]











| Reciprocating Distance/mm | Reciprocating Frequency/Hz | Test Load (Fz)/N | Test Time/min |
|---|---|---|---|
| 8 | 1 | 20 | 30 |
| Axial Load/N | Bearing Speed/RPM | Temperature/°C |
|---|---|---|
| 1500 | 6000 | 120 |
| Number | A/% | B/mm2/s | C/% | D/% | E/% | F/% | G/min | H/min | J/°C | K/°C | L/mm |
|---|---|---|---|---|---|---|---|---|---|---|---|
| Initial value | 26 | 150 | 8 | 4 | 2 | 1.5 | 90 | 100 | 90 | 130 | 0.2 |
| Minimum | 20 | 90 | 2 | 3 | 0.5 | 0.5 | 60 | 60 | 80 | 100 | 0.1 |
| Maximum | 35 | 300 | 10 | 6 | 3 | 2 | 120 | 120 | 100 | 130 | 0.4 |
| No. | A | B | C | D | E | F | G | H | J | K | L | y1 | y2 | y3 | y4 |
|---|---|---|---|---|---|---|---|---|---|---|---|---|---|---|---|
| 1 | −1 | 1 | 1 | −1 | 1 | −1 | −1 | −1 | 1 | 1 | 1 | 0.14 | 240 | 316 | 278 |
| 2 | 1 | 1 | 1 | −1 | 1 | 1 | −1 | 1 | −1 | −1 | −1 | 0.1 | 227 | 321 | 248 |
| 3 | −1 | −1 | 1 | 1 | 1 | −1 | 1 | 1 | −1 | 1 | −1 | 0.11 | 239 | 318 | 256 |
| 4 | 1 | 1 | −1 | 1 | 1 | −1 | 1 | −1 | −1 | −1 | 1 | 0.14 | 194 | 310 | 274 |
| 5 | 1 | 1 | −1 | 1 | −1 | −1 | −1 | 1 | 1 | 1 | −1 | 0.13 | 191 | 322 | 260 |
| 6 | −1 | 1 | 1 | 1 | −1 | 1 | 1 | −1 | 1 | −1 | −1 | 0.09 | 197 | 307 | 263 |
| 7 | −1 | −1 | −1 | 1 | 1 | 1 | −1 | 1 | 1 | −1 | 1 | 0.07 | 193 | 298 | 286 |
| 8 | 1 | −1 | −1 | −1 | 1 | 1 | 1 | −1 | 1 | 1 | −1 | 0.08 | 218 | 313 | 256 |
| 9 | 1 | −1 | 1 | 1 | −1 | 1 | −1 | −1 | −1 | 1 | 1 | 0.08 | 215 | 326 | 253 |
| 10 | 1 | −1 | 1 | −1 | −1 | −1 | 1 | 1 | 1 | −1 | 1 | 0.11 | 194 | 321 | 249 |
| 11 | −1 | 1 | −1 | −1 | −1 | 1 | 1 | 1 | −1 | 1 | 1 | 0.09 | 195 | 306 | 289 |
| 12 | −1 | −1 | −1 | −1 | −1 | −1 | −1 | −1 | −1 | −1 | −1 | 0.11 | 189 | 300 | 268 |
| Observations | Significant Effects |
|---|---|
| y1 | B, F |
| y2 | C, E, K |
| y3 | A, C, K |
| y4 | A, B, C, L |
| Significant Factors | Design Variables | Initial Value |
|---|---|---|
| A | x1 | 26 |
| B | x2 | 150 |
| C | x3 | 8 |
| E | x4 | 2 |
| F | x5 | 1.5 |
| K | x6 | 130 |
| No. | x1 | x2 | x3 | x4 | x5 | x6 | y1 | y2 | y3 | y4 |
|---|---|---|---|---|---|---|---|---|---|---|
| 1 | 27 | 212 | 8 | 1.5 | 1 | 107 | 0.112 | 207 | 318 | 263 |
| 2 | 35 | 281 | 3 | 2 | 1.5 | 124 | 0.110 | 205 | 312 | 267 |
| 3 | 33 | 152 | 9 | 3 | 1.5 | 111 | 0.098 | 224 | 323 | 254 |
| 4 | 32 | 240 | 7 | 2 | 1 | 128 | 0.118 | 220 | 314 | 260 |
| 5 | 21 | 147 | 6 | 2 | 1.5 | 101 | 0.091 | 204 | 310 | 272 |
| 6 | 22 | 172 | 6 | 2.5 | 1 | 123 | 0.109 | 220 | 307 | 270 |
| 7 | 33 | 115 | 4 | 1 | 1 | 101 | 0.102 | 188 | 317 | 257 |
| 8 | 34 | 298 | 4 | 1.5 | 1.5 | 100 | 0.109 | 189 | 321 | 265 |
| 9 | 26 | 227 | 7 | 2.5 | 1.5 | 117 | 0.103 | 219 | 313 | 268 |
| 10 | 34 | 127 | 9 | 3 | 0.5 | 102 | 0.120 | 220 | 326 | 249 |
| 11 | 28 | 156 | 3 | 2.5 | 1.5 | 105 | 0.094 | 200 | 313 | 268 |
| 12 | 25 | 248 | 9 | 1.5 | 1.5 | 116 | 0.102 | 214 | 314 | 264 |
| 13 | 26 | 142 | 4 | 1 | 1 | 113 | 0.103 | 194 | 310 | 267 |
| 14 | 31 | 203 | 4 | 0.5 | 0.5 | 120 | 0.123 | 194 | 313 | 262 |
| 15 | 23 | 187 | 4 | 2 | 1.5 | 125 | 0.096 | 210 | 304 | 273 |
| 16 | 20 | 91 | 10 | 1 | 0.5 | 119 | 0.110 | 216 | 312 | 262 |
| 17 | 27 | 273 | 2 | 1.5 | 1 | 109 | 0.116 | 192 | 310 | 275 |
| 18 | 27 | 268 | 5 | 3 | 1 | 125 | 0.121 | 222 | 311 | 270 |
| 19 | 22 | 259 | 6 | 2 | 1.5 | 115 | 0.103 | 211 | 310 | 275 |
| 20 | 22 | 263 | 6 | 0.5 | 1 | 112 | 0.113 | 197 | 311 | 271 |
| 21 | 31 | 136 | 8 | 2.5 | 1 | 121 | 0.108 | 223 | 318 | 255 |
| 22 | 27 | 122 | 8 | 2 | 1.5 | 112 | 0.091 | 214 | 315 | 260 |
| 23 | 31 | 170 | 8 | 2.5 | 0.5 | 126 | 0.124 | 226 | 315 | 258 |
| 24 | 34 | 211 | 10 | 2 | 0.5 | 108 | 0.128 | 215 | 327 | 250 |
| 25 | 23 | 183 | 9 | 1 | 2 | 107 | 0.081 | 206 | 313 | 263 |
| 26 | 32 | 194 | 2 | 1.5 | 0.5 | 129 | 0.124 | 202 | 309 | 267 |
| 27 | 33 | 245 | 5 | 1 | 1 | 127 | 0.116 | 204 | 313 | 262 |
| 28 | 24 | 118 | 5 | 1.5 | 1 | 122 | 0.101 | 209 | 308 | 267 |
| 29 | 24 | 129 | 7 | 0.5 | 2 | 106 | 0.074 | 196 | 311 | 264 |
| 30 | 34 | 235 | 5 | 1 | 2 | 105 | 0.089 | 192 | 320 | 262 |
| 31 | 21 | 294 | 10 | 1 | 1.5 | 128 | 0.106 | 221 | 310 | 268 |
| 32 | 32 | 254 | 3 | 2 | 1 | 130 | 0.119 | 210 | 309 | 267 |
| 33 | 30 | 256 | 9 | 0.5 | 2 | 103 | 0.089 | 198 | 323 | 259 |
| 34 | 28 | 159 | 7 | 2.5 | 2 | 106 | 0.083 | 211 | 314 | 262 |
| 35 | 33 | 110 | 8 | 1 | 2 | 108 | 0.076 | 203 | 320 | 253 |
| 36 | 20 | 176 | 8 | 1.5 | 1.5 | 122 | 0.093 | 215 | 309 | 270 |
| 37 | 30 | 101 | 7 | 1 | 1.5 | 117 | 0.088 | 204 | 314 | 256 |
| 38 | 24 | 279 | 6 | 2.5 | 1 | 114 | 0.120 | 213 | 311 | 272 |
| 39 | 29 | 104 | 4 | 2.5 | 2 | 103 | 0.077 | 201 | 312 | 266 |
| 40 | 29 | 220 | 3 | 1 | 1 | 126 | 0.113 | 199 | 309 | 270 |
| 41 | 25 | 207 | 5 | 1.5 | 2 | 115 | 0.084 | 204 | 308 | 271 |
| 42 | 28 | 182 | 4 | 2 | 0.5 | 117 | 0.122 | 206 | 312 | 267 |
| 43 | 29 | 98 | 9 | 3 | 0.5 | 121 | 0.118 | 230 | 316 | 256 |
| 44 | 22 | 198 | 7 | 0.5 | 1.5 | 129 | 0.095 | 210 | 308 | 267 |
| 45 | 25 | 230 | 2 | 3 | 0.5 | 110 | 0.128 | 206 | 308 | 276 |
| 46 | 30 | 290 | 8 | 2.5 | 1 | 111 | 0.124 | 217 | 319 | 263 |
| 47 | 25 | 287 | 3 | 2.5 | 1.5 | 119 | 0.108 | 208 | 307 | 278 |
| 48 | 29 | 163 | 3 | 2 | 2 | 118 | 0.083 | 203 | 308 | 268 |
| 49 | 21 | 221 | 5 | 1.5 | 1 | 104 | 0.110 | 197 | 309 | 275 |
| 50 | 23 | 137 | 6 | 1.5 | 1.5 | 113 | 0.090 | 205 | 309 | 269 |
| Design Objectives | MRE | R2 | Radj2 |
|---|---|---|---|
| y1 | 0.0846 | 0.921 | 0.910 |
| y2 | 0.0695 | 0.952 | 0.945 |
| x1 | x2 | x3 | x4 | x5 | x6 | y1 | y2 | y3 | |
|---|---|---|---|---|---|---|---|---|---|
| Initial group | 26 | 150 | 8 | 2 | 1.5 | 130 | 0.094 | 212 | 310 |
| Optimal Prediction-II | 32 | 130 | 8 | 3 | 1.7 | 113 | 0.089 | 220 | 317 |
| Optimal Prediction-III | 34 | 143 | 8 | 2.7 | 1.5 | 103 | 0.097 | 217 | 322 |
| Maximum optimization | - | - | - | - | - | - | 5.3% | 3.8% | 3.9% |
Disclaimer/Publisher’s Note: The statements, opinions and data contained in all publications are solely those of the individual author(s) and contributor(s) and not of MDPI and/or the editor(s). MDPI and/or the editor(s) disclaim responsibility for any injury to people or property resulting from any ideas, methods, instructions or products referred to in the content. |
© 2023 by the authors. Licensee MDPI, Basel, Switzerland. This article is an open access article distributed under the terms and conditions of the Creative Commons Attribution (CC BY) license (https://creativecommons.org/licenses/by/4.0/).
Share and Cite
Zhang, H.; Mo, Y.; Liu, Q.; Wang, J.; Li, Q. Optimization of the Tribological Performance and Service Life of Calcium Sulfonate Complex—Polyurea Grease Based on Unreplicated Saturated Factorial Design. Lubricants 2023, 11, 377. https://doi.org/10.3390/lubricants11090377
Zhang H, Mo Y, Liu Q, Wang J, Li Q. Optimization of the Tribological Performance and Service Life of Calcium Sulfonate Complex—Polyurea Grease Based on Unreplicated Saturated Factorial Design. Lubricants. 2023; 11(9):377. https://doi.org/10.3390/lubricants11090377
Chicago/Turabian StyleZhang, Hong, Yimin Mo, Qingchun Liu, Jun Wang, and Qian Li. 2023. "Optimization of the Tribological Performance and Service Life of Calcium Sulfonate Complex—Polyurea Grease Based on Unreplicated Saturated Factorial Design" Lubricants 11, no. 9: 377. https://doi.org/10.3390/lubricants11090377
APA StyleZhang, H., Mo, Y., Liu, Q., Wang, J., & Li, Q. (2023). Optimization of the Tribological Performance and Service Life of Calcium Sulfonate Complex—Polyurea Grease Based on Unreplicated Saturated Factorial Design. Lubricants, 11(9), 377. https://doi.org/10.3390/lubricants11090377

