Polymer Dispersion Effects on Drag, Heat Transfer, and Mass Transfer in Non-Newtonian Based Nanofluids
Abstract
1. Introduction
2. Mathematical Model
2.1. Reiner–Philippoff Fluid
2.2. Powell–Eyring Fluid
2.3. Polymers End-to-End Distance Vector
3. Solution Methodology
4. Results and Discussions
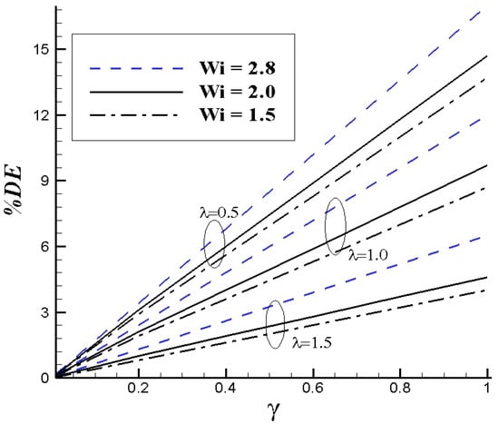
4.1. Impact of Polymers on Drag Coefficient
4.2. Impact of Polymers on Nusselt Number
4.3. Impact of Polymers on Sherwood Number
5. Conclusions
- The addition of polymers to a non-Newtonian fluid generally increases the viscosity of the solution, although the viscosity reduction occurs to a lesser extent with polymer stretching.
- The introduction of polymers in non-Newtonian-based nanofluids leads to an increase in the drag coefficient and a decrease in the Nusselt number and Sherwood number.
- The concentration of polymers in the solution has a direct impact on skin friction, showing that an increase in polymer concentration results in higher skin friction.
- Higher polymer concentrations correspond to greater drag enhancement, as well as increased heat and mass reduction.
- The effects of thermophoresis and Brownian diffusion are not limited to reduced Nusselt number and Sherwood number; they also influence the behavior of the polymers.
Author Contributions
Funding
Data Availability Statement
Conflicts of Interest
Nomenclature
| viscosity due to polymers | |
| relaxation time | |
| dynamic viscosity | |
| Weissenberg number. | |
| polymer concentration parameter | |
| Thermophoretic diffusion coefficient | |
| Prandtl number | |
| stretching velocity | |
| dimensionless stream function | |
| relaxation time in equilibrium | |
| zero and upper Newtonian limiting viscosity | |
| ambient temperature and concentration | |
| reduced Nusselt number | |
| material fluid constants | |
| density ( | |
| thermal diffusivity . | |
| Reiner–Philippoff fluid parameter | |
| Reynolds number | |
| Brownian diffusion coefficient ( | |
| thermophoresis diffusion coefficient | |
| Brownian diffusion coefficient. | |
| dimensional fluid temperature | |
| Powell–Eyring fluid parameter | |
| Lewis number | |
| temperature and concentration at the surface | |
| skin friction coefficient | |
| dimensional velocity components | |
| material fluid constants |
References
- Apmann, K.; Fulmer, R.; Soto, A.; Vafaei, S. Thermal Conductivity and Viscosity: Review and Optimization of Effects of Nanoparticles. Materials 2021, 14, 1291. [Google Scholar] [CrossRef] [PubMed]
- Mackay, M.E.; Dao, T.T.; Tuteja, A.; Ho, D.L.; van Horn, B.; Kim, H.C.; Hawker, C.J. Nanoscale effects leading to non-Einstein-like decrease in viscosity. Nat. Mater. 2003, 2, 762–766. [Google Scholar] [CrossRef] [PubMed]
- Bird, R.B.; Giacomin, A.J. Polymer fluid dynamics: Continuum and molecular approaches. Annu. Rev. Chem. Biomol. Eng. 2016, 7, 479–507. [Google Scholar] [CrossRef] [PubMed]
- Celani, A.; Musacchio, S.; Vincenzi, D. Polymer transport in random flow. J.Stat. Phys. 2005, 118, 531–554. [Google Scholar]
- Al-Yaari, M.; Soleimani, A.; Abu-Sharkh, B.; Al-Mubaiyedh, U.; Al-Sarkhi, A. Effect of drag reducing polymers on oil–water flow in a horizontal pipe. Int. J. Multiph. Flow. 2009, 35, 516–524. [Google Scholar] [CrossRef]
- Ahlers, G.; Nikolaenko, A. Effect of a polymer additive on heat transport in turbulent Rayleigh-Bénard convection. Phys. Rev. Lett. 2010, 104, 034503. [Google Scholar]
- Benzi, R.; Ching, E.S.; Chu, V.W. Heat transport by laminar boundary layer flow with polymers. J. Fluid Mech. 2012, 696, 330–344. [Google Scholar] [CrossRef]
- Athar, M.; Ahmad, A. Behavior of fluid flow and heat transfer induced by a stretching surface in the presence of polymers. Phys. Scr. 2021, 96, 13. [Google Scholar] [CrossRef]
- Marenduzzo, D.; Micheletti, C.; Seyed-Allaei, H.; Trovato, A.; Maritan, A. Continuum model for polymers with finite thickness. J. Phys. A Math. Gen. 2005, 38, L277. [Google Scholar] [CrossRef]
- Doufas, A.K.; Dairanieh, I.S.; McHugh, A.J. A continuum model for flow-induced crystallization of polymer melts. J. Rheol. 1999, 43, 85–109. [Google Scholar] [CrossRef]
- Zhang, Y.; Zhang, Z.; Yang, J.; Yue, Y.; Zhang, H. A Review of Recent Advances in Superhydrophobic Surfaces and Their Applications in Drag Reduction and Heat Transfer. Nanomaterials 2022, 12, 44. [Google Scholar]
- Ahmad, A.; Ishaq, A.; Khan, Y. Influence of FENE-P fluid on drag reduction and heat transfer past a magnetized surface. Int. J. Mod. Phys. B 2022, 36, 2250145. [Google Scholar] [CrossRef]
- Tiwari, R.K.; Das, M.K. Heat transfer augmentation in a two-sided lid-driven differentially heated square cavity utilizing nanofluids. Int. J. Heat Mass Transf. 2007, 50, 2002–2018. [Google Scholar]
- Buongiorno, J. Convective transport in nanofluids. J. Heat Transf. 2006, 128, 240–250. [Google Scholar] [CrossRef]
- Eastman, J.A.; Choi SU, S.; Li, S.; Yu, W.; Thompson, L.J. Anomalously increased effective thermal conductivities of ethylene glycol-based nanofluids containing copper nanoparticles. Appl. Phys. Lett. 2001, 78, 718–720. [Google Scholar] [CrossRef]
- Sheikholeslami, M.; Rashidi, M.M.; Hayat, T.; Ganji, D.D. Free convection of magnetic nanofluid considering MFD viscosity effect. J. Mol. Liq. 2016, 219, 79–85. [Google Scholar] [CrossRef]
- Abbas, W.; Sayed, E.A. Hall current and joule heating effects on free convection flow of a nanofluid over a vertical cone in presence of thermal radiation. Therm. Sci. 2017, 21, 863–876. [Google Scholar] [CrossRef]
- Mahanthesh, B.; Gireesha, B.J.; Animasaun, I.L.; Muhammad, T.; Shashikumar, N.S. MHD flow of SWCNT and MWCNT nanoliquids past a rotating stretchable disk with thermal and exponential space dependent heat source. Phys. Scr. 2019, 94, 085214. [Google Scholar] [CrossRef]
- Shehzad, N.; Zeeshan, A.; Ellahi, R.; Vafai, K. Convective heat transfer of nanofluid in a wavy channel: Buongiorno’s mathematical model. J. Mol. Liq. 2016, 219, 970–977. [Google Scholar] [CrossRef]
- Zheng, L.; Zhang, C.; Zhang, X.; Zhang, J. Flow and radiation heat transfer of a nanofluid over a stretching sheet with velocity slip and temperature jump in porous medium. J. Frankl. Inst. 2013, 350, 2142–2156. [Google Scholar] [CrossRef]
- Jahan, S.; Sakidin, H.; Nazar, R.; Pop, I. Analysis of heat transfer in nanofluid past a convectively heated permeable stretching/shrinking sheet with regression and stability analyses. Results Phys. 2018, 10, 195–202. [Google Scholar] [CrossRef]
- Raju CS, K.; Ahammad, N.A.; Sajjan, K.; Shah, N.A.; Yook, S.J.; Kumar, M.D. Nonlinear movements of axisymmetric ternary hybrid nanofluids in a thermally radiated expanding or contracting permeable Darcy Walls with different shapes and densities: Simple linear regression. Int. Commun. Heat Mass Transf. 2022, 135, 106110. [Google Scholar]
- Kumar, M.D.; Raju CS, K.; Sajjan, K.; El-Zahar, E.R.; Shah, N.A. Linear and quadratic convection on 3D flow with transpiration and hybrid nanoparticles. Int. Commun. Heat Mass Transf. 2022, 134, 105995. [Google Scholar]
- Ahmad, A.; Athar, M.; Khan, Y. Influence of polymers on drag and heat transfer of nanofluid past stretching surface: A molecular approach. J. Cent. South Univ. 2022, 29, 3912–3924. [Google Scholar] [CrossRef]
- Ahmad, A. Flow of ReinerPhilippoff based nano-fluid past a stretching sheet. J. Mol. Liq. 2016, 219, 643–646. [Google Scholar]
- Larson, R.G.; Perkins, T.T.; Smith, D.E.; Chu, S. Hydrodynamics of a DNA molecule in a flow field. Phys. Rev. 1997, 55, 1794. [Google Scholar]
- Jalil, M.; Asghar, S.; Imran, S.M. Self similar solutions for the flow and heat transfer of Powell-Eyring fluid over a moving surface in a parallel free stream. Int. J. Heat Mass Transf. 2013, 65, 73–79. [Google Scholar]















Disclaimer/Publisher’s Note: The statements, opinions and data contained in all publications are solely those of the individual author(s) and contributor(s) and not of MDPI and/or the editor(s). MDPI and/or the editor(s) disclaim responsibility for any injury to people or property resulting from any ideas, methods, instructions or products referred to in the content. |
© 2023 by the authors. Licensee MDPI, Basel, Switzerland. This article is an open access article distributed under the terms and conditions of the Creative Commons Attribution (CC BY) license (https://creativecommons.org/licenses/by/4.0/).
Share and Cite
Sahreen, A.; Ahmad, A.; Khan, R.; Nawaz, R. Polymer Dispersion Effects on Drag, Heat Transfer, and Mass Transfer in Non-Newtonian Based Nanofluids. Lubricants 2023, 11, 339. https://doi.org/10.3390/lubricants11080339
Sahreen A, Ahmad A, Khan R, Nawaz R. Polymer Dispersion Effects on Drag, Heat Transfer, and Mass Transfer in Non-Newtonian Based Nanofluids. Lubricants. 2023; 11(8):339. https://doi.org/10.3390/lubricants11080339
Chicago/Turabian StyleSahreen, Ayesha, Adeel Ahmad, Razi Khan, and Rab Nawaz. 2023. "Polymer Dispersion Effects on Drag, Heat Transfer, and Mass Transfer in Non-Newtonian Based Nanofluids" Lubricants 11, no. 8: 339. https://doi.org/10.3390/lubricants11080339
APA StyleSahreen, A., Ahmad, A., Khan, R., & Nawaz, R. (2023). Polymer Dispersion Effects on Drag, Heat Transfer, and Mass Transfer in Non-Newtonian Based Nanofluids. Lubricants, 11(8), 339. https://doi.org/10.3390/lubricants11080339

