Study on the Influence of the MoS2 Addition Method on the Tribological and Corrosion Properties of Greases
Abstract
:1. Introduction
2. Experimental Part
2.1. Experimental Materials and Characterization
2.2. Preparation of Grease
2.3. Performance Test
2.3.1. Physical and Chemical Properties of Grease
2.3.2. Tribological Properties
2.4. Analysis of Wore Surfaces
2.5. Corrosion Test
3. Results and Discussion
3.1. Physical and Chemical Properties of Grease
3.2. Tribological Properties
3.2.1. Friction Reduction Performance
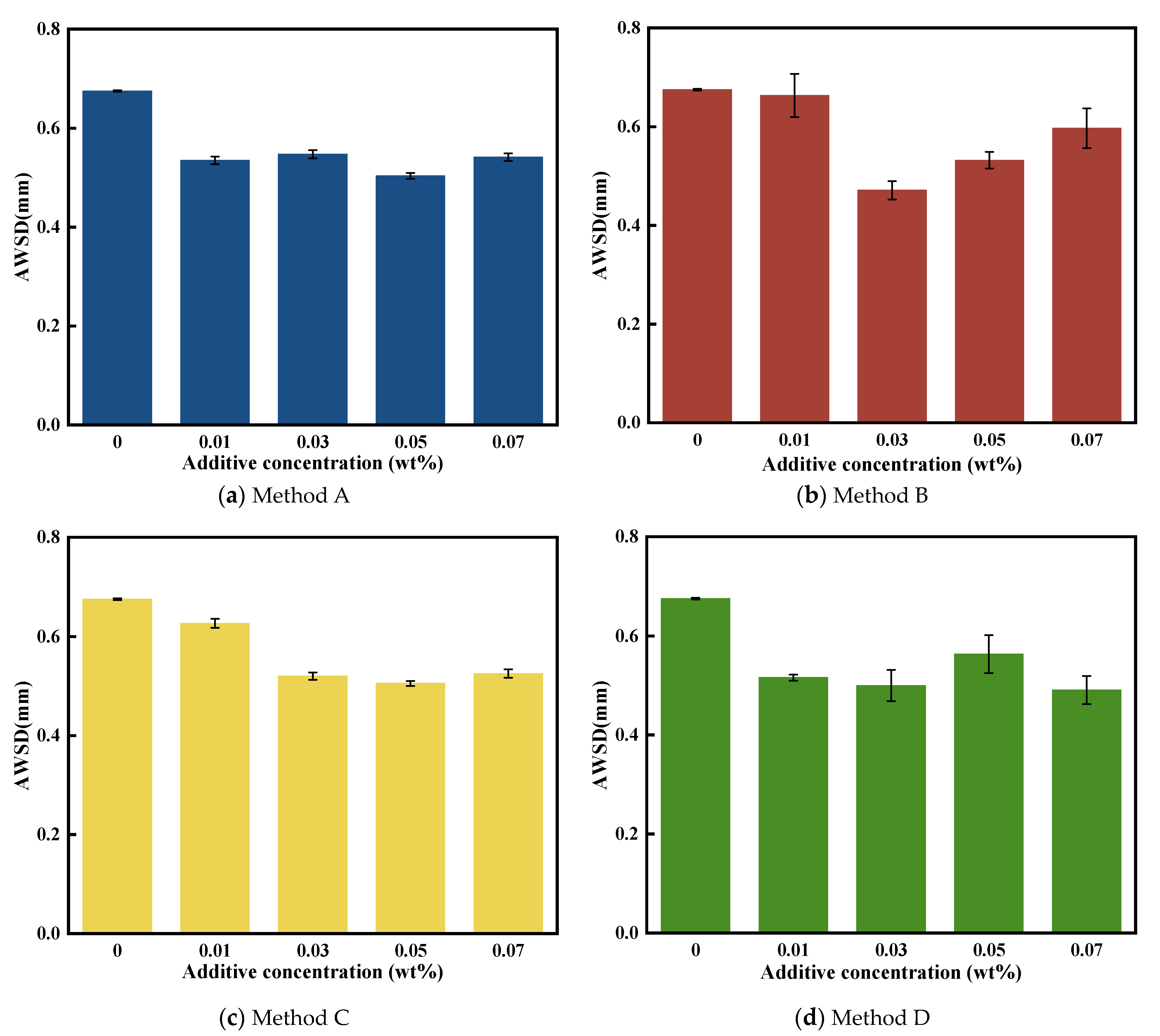
3.2.2. Anti-Wear Performance
3.3. SEM Analysis of Worn Surfaces
3.4. Soap Fiber Structure of Lithium Lipids
3.5. XPS Analysis of Worn Surfaces
3.6. Results of Corrosion Test
4. Conclusions
- When MoS2 was used as an additive in lithium-based greases, it exhibited ideal friction reduction and anti-wear effects and corrosion inhibition performance;
- The content of additive MoS2 was 0.01%, the friction coefficient of “Method D” was the most stable, the average friction coefficient was 0.034, and the average wear scar diameter was reduced by 0.16 mm. “Method B” had the highest corrosion inhibition efficiency (96.97%);
- The soap base porosity of “Method D” is small, and the ability to wrap the base oil and MoS2 is strong, so that it can play the role of anti-friction and anti-wear for a long time. In addition, MoS2 is oxidized to MoO2 and MoO3 during the friction process. The tribochemical reaction occurred between MoS2 and the rubbing pair, forming a thin friction film, which reduces friction and wear;
- MoS2 lithium grease has good anti-corrosion properties, which maybe “Method B” can evenly distribute MoS2 on the surface of the grease, so that the protective film formed by MoS2 and GCr15−bearing steel can effectively slow down the corrosion effect of lithium-based grease on steel.
Author Contributions
Funding
Data Availability Statement
Conflicts of Interest
References
- Meijer, R.J.; Lugt, P.M. The Grease Worker and Its Applicability to Study Mechanical Aging of Lubricating Greases for Rolling Bearings. Tribol. Trans. 2021, 65, 32–45. [Google Scholar] [CrossRef]
- Gurt, A.; Khonsari, M. The Use of Entropy in Modeling the Mechanical Degradation of Grease. Lubricants 2019, 7, 82. [Google Scholar] [CrossRef]
- Wu, C.; Hong, Y.; Ni, J.; Teal, P.D.; Yao, L.; Li, X. Investigation of mixed hBN/Al2O3 nanoparticles as additives on grease performance in rolling bearing under limited lubricant supply. Colloids Surf. A Physicochem. Eng. Asp. 2023, 659, 130811. [Google Scholar] [CrossRef]
- Uppar, R.; Dinesha, P.; Kumar, S. A critical review on vegetable oil-based bio-lubricants: Preparation, characterization, and challenges. Environ. Dev. Sustain. 2022, 25, 9011–9046. [Google Scholar] [CrossRef]
- Yadav, A.; Singh, Y.; Negi, P. A review on the characterization of bio based lubricants from vegetable oils and role of nanoparticles as additives. Mater. Today Proc. 2021, 46, 10513–10517. [Google Scholar] [CrossRef]
- Lugt, P.M. Modern advancements in lubricating grease technology. Tribol. Int. 2016, 97, 467–477. [Google Scholar] [CrossRef]
- Wu, L.; Yang, B.; Zhao, F.; Zhang, Z. Tribological Properties of Complex Calcium Sulfonate Grease with Ultrafine SiO2/MoS2 Powders. J. Nano Res. 2021, 66, 35–44. [Google Scholar] [CrossRef]
- Chen, X.; Chen, G. Analysis of lithium molybdenum disulfide base grease and its application in roll bearing. Sci. Technol. Inf. 2013, 21, 119–121. (In Chinese) [Google Scholar]
- Wang, Y.; Wu, B. Friction Characteristics and Mechanisms of Two Lithium Greases in Elastohydrodynamic Lubrication. J. Fail. Anal. Prev. 2020, 20, 1266–1273. [Google Scholar] [CrossRef]
- Kanazawa, Y.; Sayles, R.S.; Kadiric, A. Film formation and friction in grease lubricated rolling-sliding non-conformal contacts. Tribol. Int. 2017, 109, 505–518. [Google Scholar] [CrossRef]
- De Laurentis, N.; Cann, P.; Lugt, P.M.; Kadiric, A. The Influence of Base Oil Properties on the Friction Behaviour of Lithium Greases in Rolling/Sliding Concentrated Contacts. Tribol. Lett. 2017, 65, 128. [Google Scholar] [CrossRef]
- Rapoport, L.; Bilik, Y.; Feldman, Y.; Homyonfer, M.; Cohen, S.R.; Tenne, R. Hollow nanoparticles of WS2 as potential solid-state lubricants. Nature 1997, 387, 791–793. [Google Scholar] [CrossRef]
- Li, J.; Wang, Y.; Liu, D.; He, K.; Lu, L. Research progress on the properties and application of molybdenum disulfide. Powder Metall. Technol. 2021, 39, 471–478. (In Chinese) [Google Scholar] [CrossRef]
- Niste, V.B.; Ratoi, M. Tungsten dichalcogenide lubricant nanoadditives for demanding applications. Mater. Today Commun. 2016, 8, 1–11. [Google Scholar] [CrossRef]
- Wu, Z. Synthesis of Molybdenum (Tungsten) Disulfide Nanostructures and Their Properties. Ph.D. Thesis, Central South University, Changsha, China, 2012. [Google Scholar]
- Wen, P.; Lei, Y. Preparation and Tribological Properties of Covalent Organic Framework Nanomaterials. Tribology 2022, 42, 123–130. (In Chinese) [Google Scholar] [CrossRef]
- Cheng, S.; Guo, X.; Jiang, M.; He, Y. Research progress of lithium complex grease. Contemp. Chem. Ind. 2018, 47, 152–158. (In Chinese) [Google Scholar] [CrossRef]
- Xie, L.; Lu, Z.; Kong, X.; Chen, L.; Luo, H. Study on the effect of ZnS nano additive on the lubricationperformance of complex calcium-based grease and its mechanism. J. Baoji Univ. Arts Sci. (Nat. Sci.) 2023, 43, 41–47. (In Chinese) [Google Scholar] [CrossRef]
- Cheng, Y. Preparation and Tribological Properities of Space Lubricating Grease Containing MoS2 Nanoparticles. Master’s Thesis, Hefei University of Technology, Hefei, China, 2012. [Google Scholar]
- He, Z.; Zhu, X.; Tang, J.; Qiu, W.; Rao, S. Tribological Properties of Nano Lanthanum Oxide as Additives in Lithium Base Greases with Rapeseed Oil. Chin. Rare Earths 2017, 38, 23–29. (In Chinese) [Google Scholar] [CrossRef]
- GB-T4929-1985; Lubricating Grease-Determination of Dropping Point. Standards Press of China: Beijing, China, 1985.
- GB-T269-1991; Lubricating Grease and Petrolatum-Determinationof Cone Penetration. Standards Press of China: Beijing, China, 1992.
- GB/T 3142-1982; Lubricants-Determination of Load-Carrying Capacity (Four Balls Method). Standards Press of China: Beijing, China, 1990.
- Wang, W.; Tian, S.; Sun, H. Influence of base oil and additives on microstructure of grease. Pet. Prod. Appl. Res. 2015, 33, 26–34. (In Chinese) [Google Scholar] [CrossRef]
- Yuan, S. Study on the surface modification and friction properties of molybdenum disulfide. Mod. Salt Chem. Ind. 2019, 46, 50–54. (In Chinese) [Google Scholar] [CrossRef]
- Zhang, E.; Li, W.; Zhao, G.; Wang, Z.; Wang, X. A Study on Microstructure, Friction and Rheology of Four Lithium Greases Formulated with Four Different Base Oils. Tribol. Lett. 2021, 69, 98. [Google Scholar] [CrossRef]
- Kosynkin, D.V.; Higginbotham, A.L.; Sinitskii, A.; Lomeda, J.R.; Dimiev, A.; Price, B.K.; Tour, J.M. Longitudinal unzipping of carbon nanotubes to form graphene nanoribbons. Nature 2009, 458, 872–876. [Google Scholar] [CrossRef] [PubMed]
- Liang, Y.; He, X.; Chen, L.; Zhang, Y. Preparation and characterization of TiO2–Graphene@Fe3O4 magnetic composite and its application in the removal of trace amounts of microcystin-LR. RSC Adv. 2014, 4, 56883–56891. [Google Scholar] [CrossRef]
- Horikawa, T.; Sakao, N.; Sekida, T.; Hayashi, J.I.; Do, D.D.; Katoh, M. Preparation of nitrogen-doped porous carbon by ammonia gas treatment and the effects of N-doping on water adsorption. Carbon 2012, 50, 1833–1842. [Google Scholar] [CrossRef]
- Xiang, S.; Long, X.; Zhang, Q.; Ma, P.; Yang, X.; Xu, H.; Lu, P.; Su, P.; Yang, W.; He, Y. Enhancing Lubrication Performance of Calcium Sulfonate Complex Grease Dispersed with Two-Dimensional MoS2 Nanosheets. Lubricants 2023, 11, 336. [Google Scholar] [CrossRef]
- Fan, X.; Li, W.; Li, H.; Zhu, M.; Xia, Y.; Wang, J. Probing the effect of thickener on tribological properties of lubricating greases. Tribol. Int. 2018, 118, 128–139. [Google Scholar] [CrossRef]
- Jiang, H.; Hou, X.; Ma, Y.; Su, D.; Qian, Y.; Ahmed Ali, M.K.; Dearn, K.D.J.W. The tribological performance evaluation of steel-steel contact surface lubricated by polyalphaolefins containing surfactant-modified hybrid MoS2/h-BN nano-additives. Wear 2022, 504–505, 204426. [Google Scholar] [CrossRef]
- Zhu, Y.; Sun, Q.; Wang, Y.; Tang, J.; Wang, Y.; Wang, H. Molecular dynamic simulation and experimental investigation on the synergistic mechanism and synergistic effect of oleic acid imidazoline and l-cysteine corrosion inhibitors. Corros. Sci. 2021, 185, 109414. [Google Scholar] [CrossRef]











| Addition Method | ω (wt%) | |||||
|---|---|---|---|---|---|---|
| 0 | 0.01 | 0.03 | 0.05 | 0.07 | ||
| Dropping point (°C) | Method A | 196.5 | 197 | 197 | 202 | 202 |
| Method B | 202 | 202 | 200 | 199 | ||
| Method C | 197 | 197.5 | 198 | 198 | ||
| Method D | 203 | 199 | 200 | 201 | ||
| Cone penetration (0.1 mm) | Method A | 180.6 | 186.1 | 202.8 | 198.1 | 181.6 |
| Method B | 202.4 | 201.2 | 180 | 192.2 | ||
| Method C | 175.7 | 202.3 | 186.9 | 180.4 | ||
| Method D | 184.6 | 187.5 | 198.2 | 180.5 | ||
| Addition Method | Mass Change (Δm, g) | ||||
|---|---|---|---|---|---|
| ω (wt%) | |||||
| 0 | 0.01 | 0.03 | 0.05 | 0.07 | |
| Method A | 0.0198 | 0.0034 | 0.0109 | 0.0059 | 0.0040 |
| Method B | 0.0198 | 0.0006 | 0.0083 | 0.0034 | 0.0070 |
| Method C | 0.0198 | 0.0089 | 0.0032 | 0.0089 | 0.0017 |
| Method D | 0.0198 | 0.0161 | 0.0158 | 0.0167 | 0.0177 |
Disclaimer/Publisher’s Note: The statements, opinions and data contained in all publications are solely those of the individual author(s) and contributor(s) and not of MDPI and/or the editor(s). MDPI and/or the editor(s) disclaim responsibility for any injury to people or property resulting from any ideas, methods, instructions or products referred to in the content. |
© 2023 by the authors. Licensee MDPI, Basel, Switzerland. This article is an open access article distributed under the terms and conditions of the Creative Commons Attribution (CC BY) license (https://creativecommons.org/licenses/by/4.0/).
Share and Cite
Zhu, C.; He, Z.; Xiong, L.; Li, J.; Wu, Y.; Li, L. Study on the Influence of the MoS2 Addition Method on the Tribological and Corrosion Properties of Greases. Lubricants 2023, 11, 517. https://doi.org/10.3390/lubricants11120517
Zhu C, He Z, Xiong L, Li J, Wu Y, Li L. Study on the Influence of the MoS2 Addition Method on the Tribological and Corrosion Properties of Greases. Lubricants. 2023; 11(12):517. https://doi.org/10.3390/lubricants11120517
Chicago/Turabian StyleZhu, Can, Zhongyi He, Liping Xiong, Jiusheng Li, Yinglei Wu, and Lili Li. 2023. "Study on the Influence of the MoS2 Addition Method on the Tribological and Corrosion Properties of Greases" Lubricants 11, no. 12: 517. https://doi.org/10.3390/lubricants11120517
APA StyleZhu, C., He, Z., Xiong, L., Li, J., Wu, Y., & Li, L. (2023). Study on the Influence of the MoS2 Addition Method on the Tribological and Corrosion Properties of Greases. Lubricants, 11(12), 517. https://doi.org/10.3390/lubricants11120517

