Design and Performance Analysis of Dual Membrane Restrictor for Hydrostatic Bearing
Abstract
:1. Introduction
2. Modelling of the Proposed Dual Membrane Restrictor
3. Analysis for Parameters Designs
- 1.
- To maintain the load capacity of the system, the outlet membrane resistor should be closed when the load is high. Therefore, the dimensionless stiffness of the outlet membrane should be restricted by the following equation:
- 2.
- Flow through the inlet membrane restrictor to the recess should be no less than the flow out of the recess through the outlet membrane restrictor.
- 3.
- The bearing stiffness should not be negative to prevent system instability. Therefore,
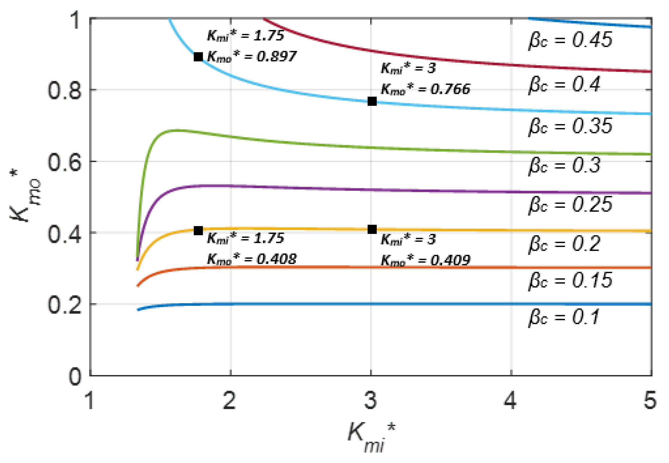
- 1.
- The corresponding pressure ratio βc where theoretical infinite stiffness can be reached mainly depends on the value chosen of dimensionless outlet membrane . The larger the , the larger the . However, the is always smaller than 0.5.
- 2.
- With a dimensionless membrane stiffness for the inlet restrictor, , of 4/3 and a larger than 1/3, the is maintained at the constant level of 1/3.
- 3.
- The effects of on are less significant. Based on these observations, we found that if high stiffness for a specific loading region is desired, we can identify the corresponding pressure , then the proper and the selection of is less critical.

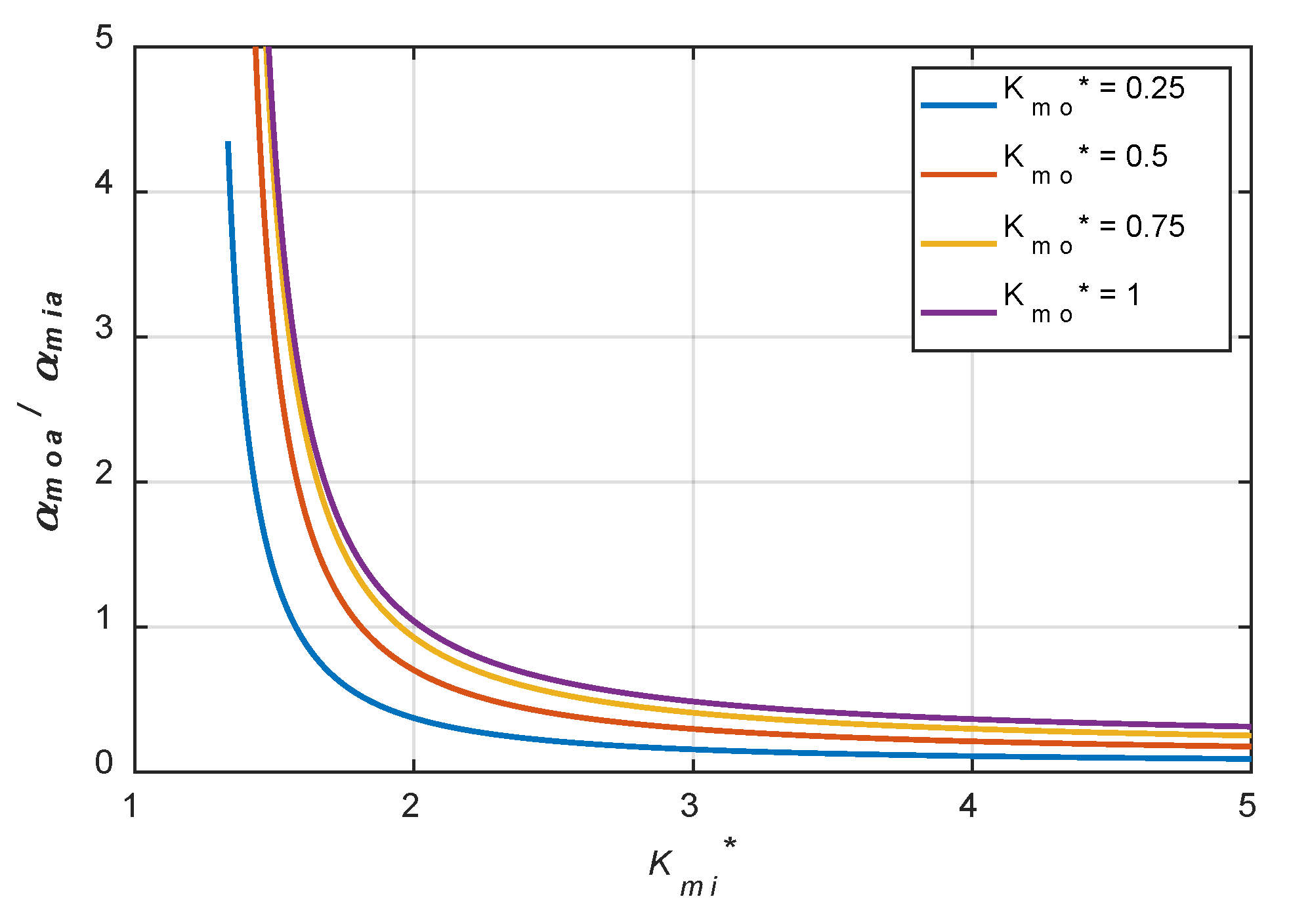
- 1.
- Much larger is preferred when is small and it drastically increases when . When is smaller than 1.5, most of the corresponding ratio is larger than 1. It is indicated that the flow resistance of the outlet membrane without membrane deformation should be larger than that of the inlet membrane without membrane deformation. However, when , the flow resistance of the outlet membrane without membrane deformation should be smaller than that of the inlet membrane without membrane deformation. This indicated that the flow rate of the inlet membrane restrictor should be much larger.
- 2.
- The larger , a larger is preferred. It indicated that if a stiffer membrane was used in the outlet membrane restrictor, the flow resistance of the outlet membrane without membrane deformation should be larger. Based on these observations, it was shown that if a smaller is adopted, the is very sensitive to the selection of . This might increase the difficulty in manufacturing and assembly of these restrictors.

4. Simulations and Discussions
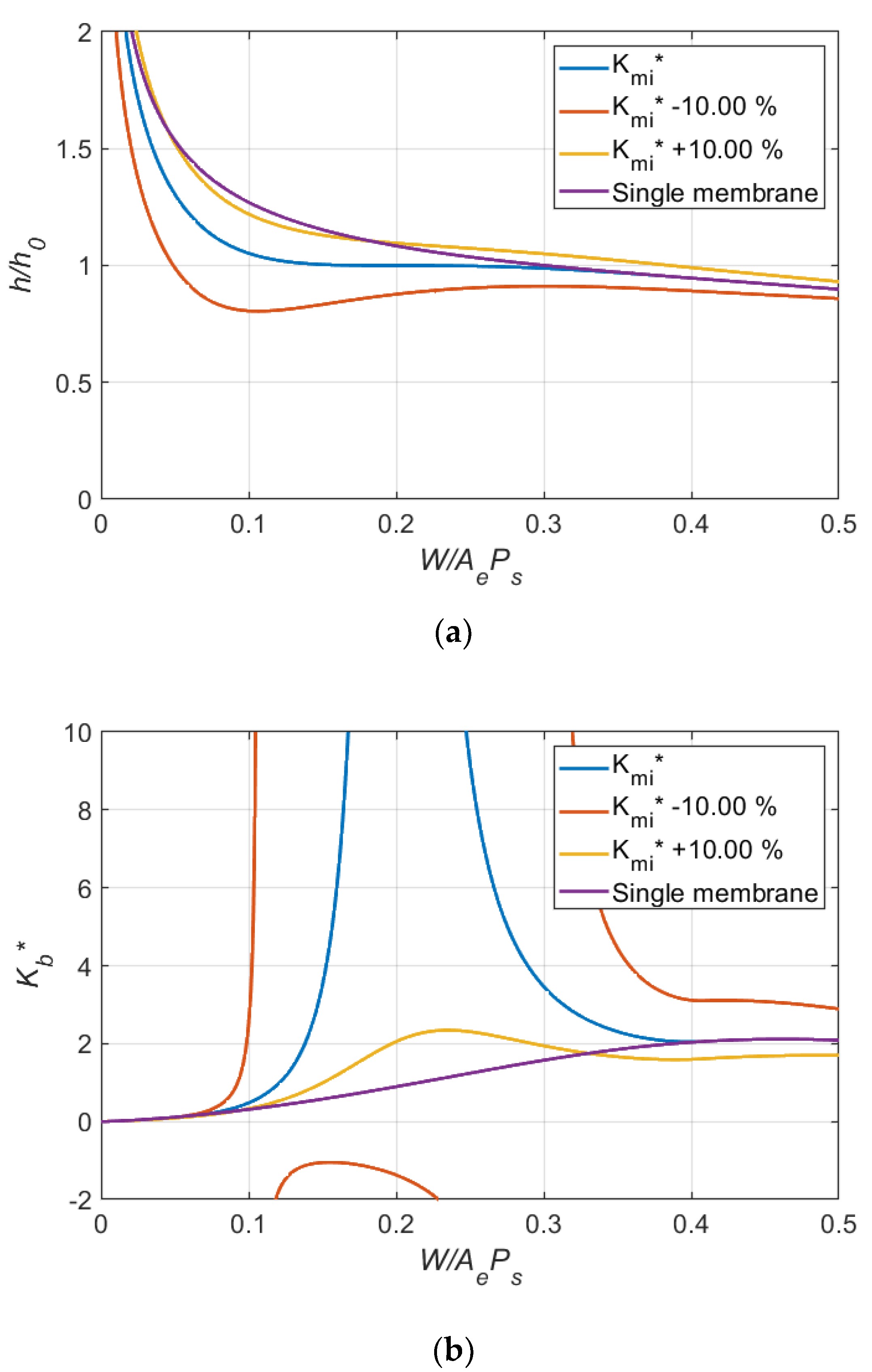
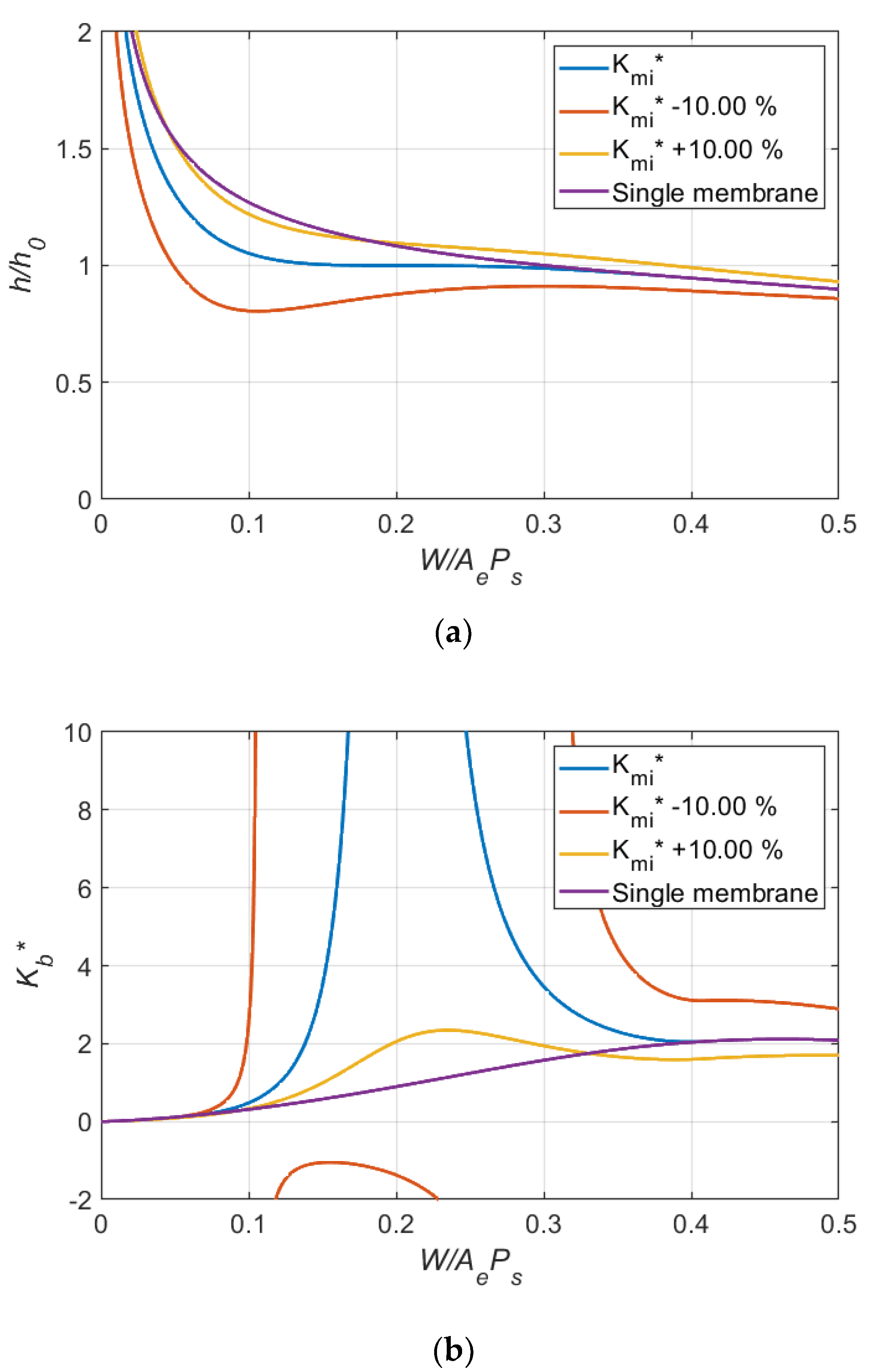
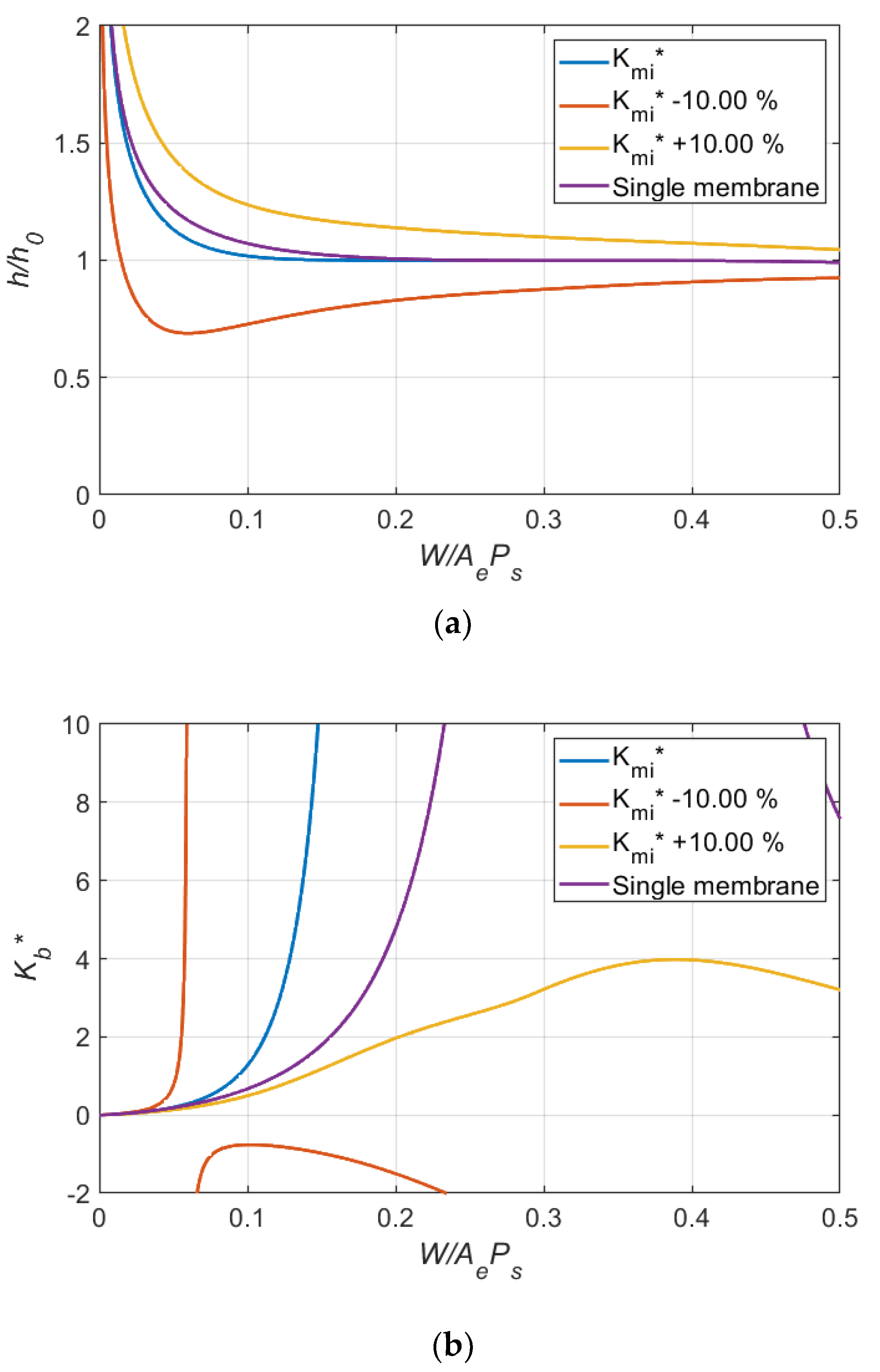
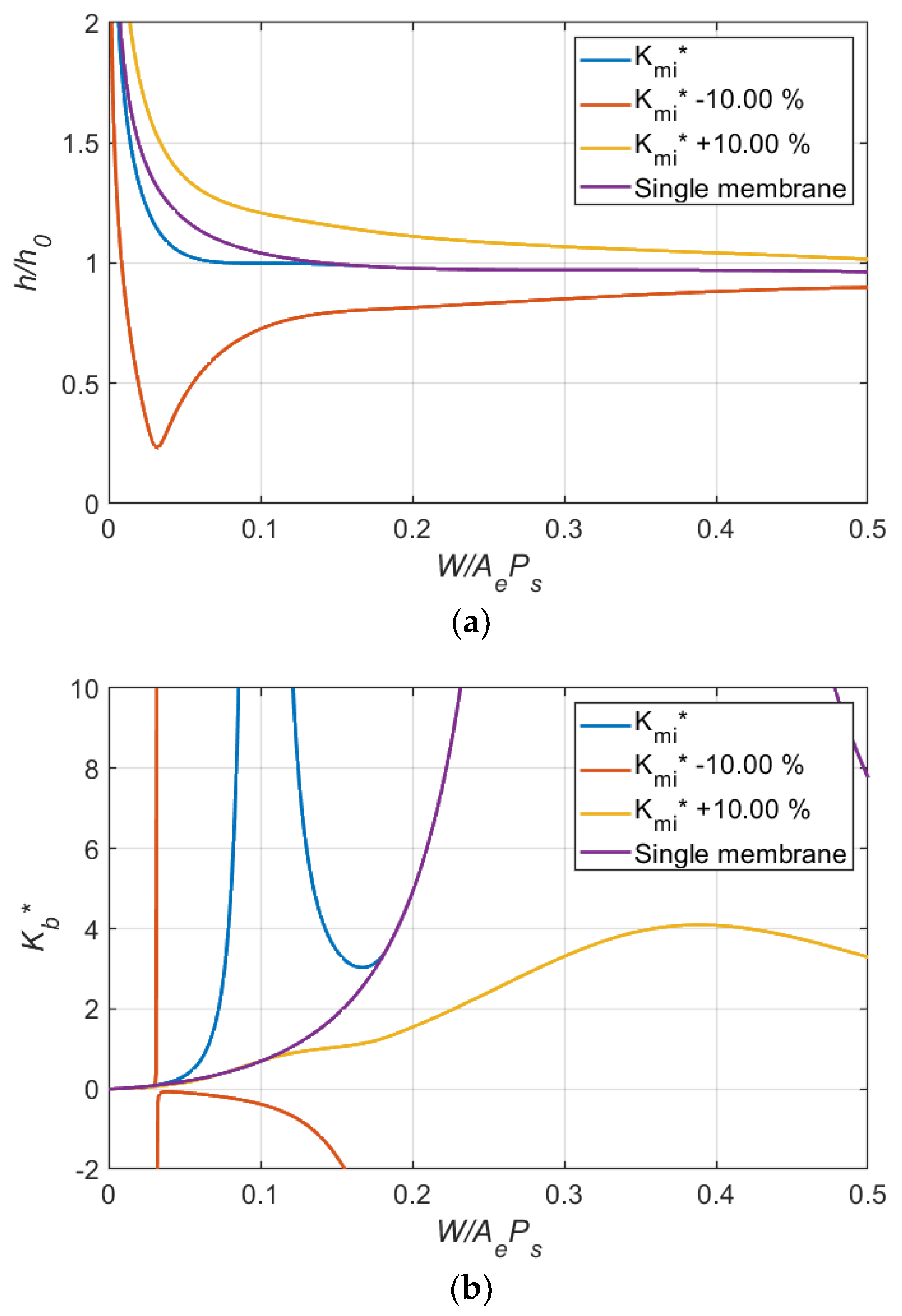
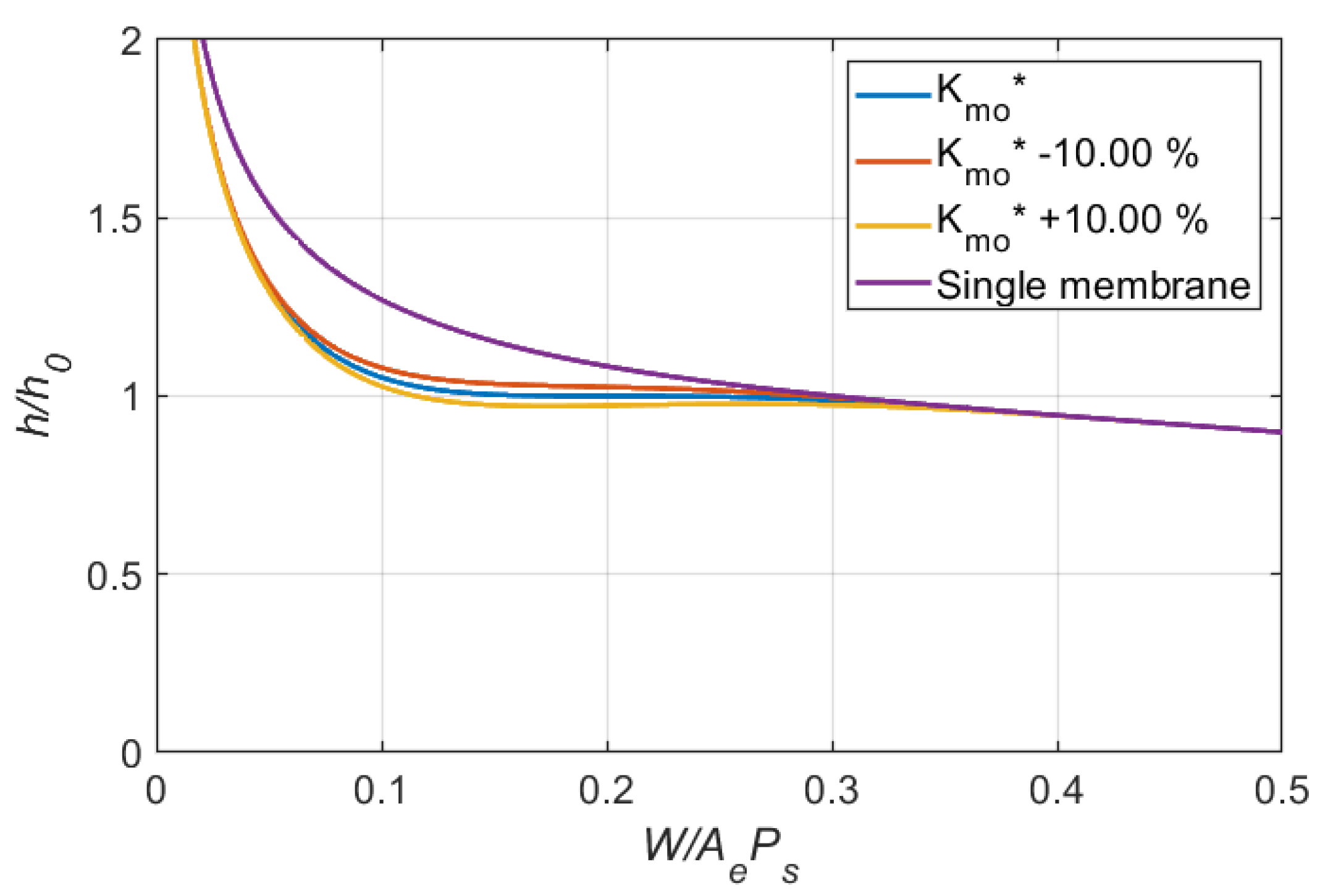
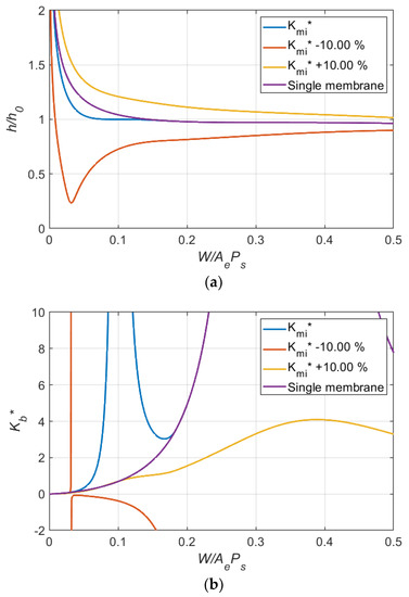
- 1.
- Decrease in , or increase in , or increase in αmia, or decrease in αmoa will induce negative stiffness, which might result in system instability.
- 2.
- is the most dominant factor for the performance of the system.
- 3.
- Compared with and , the effects of and αmoa on system performance are more localized and appear around the loading condition corresponding to .
- 4.
- Compared with the bearing system compensated with a single membrane, the proposed dual membrane system with the same and and the optimized and do improve the bearing stiffness.
- 5.
- Even with variation in design parameters, improvement is possible for the bearing system especially when the loading is around the desired .




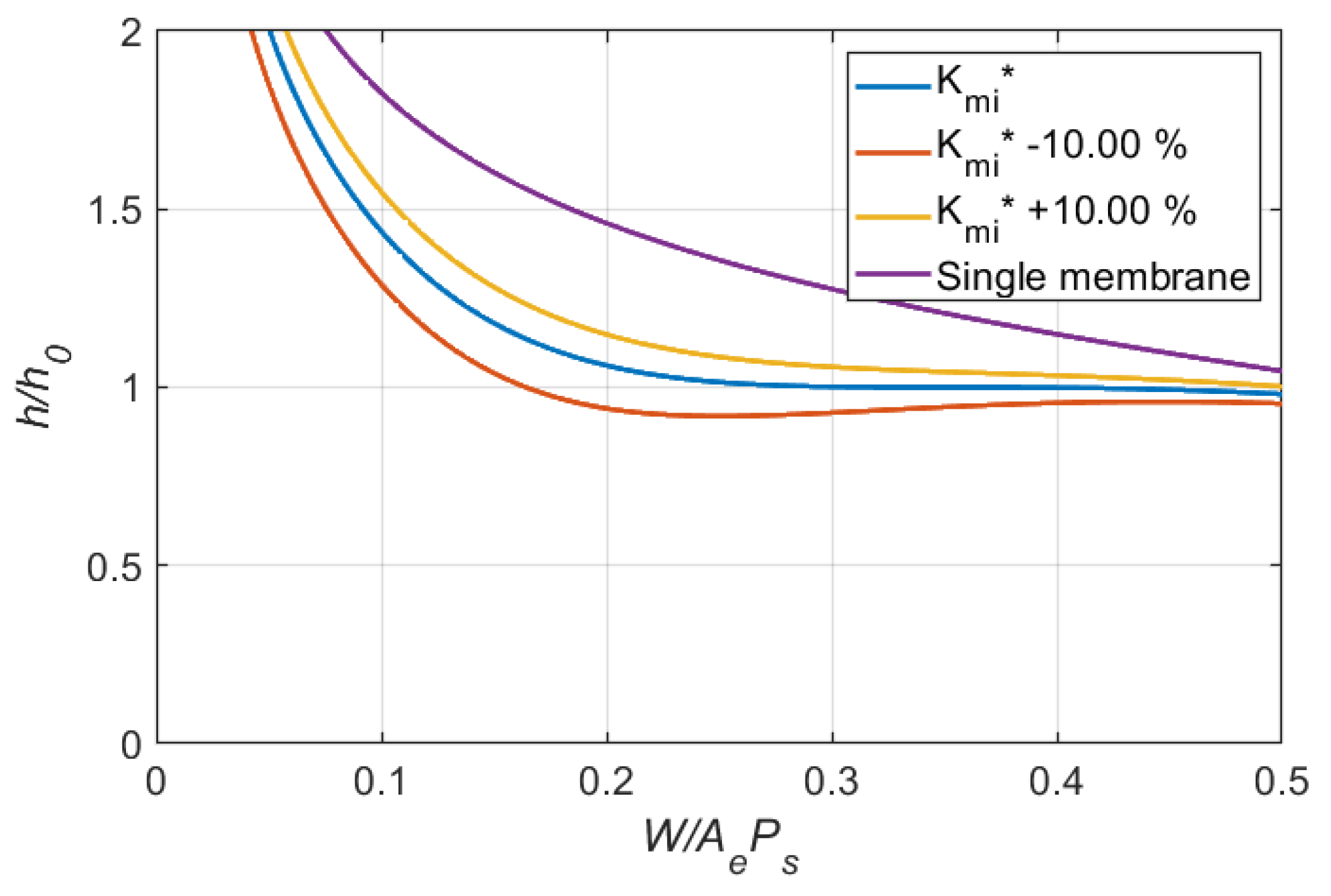
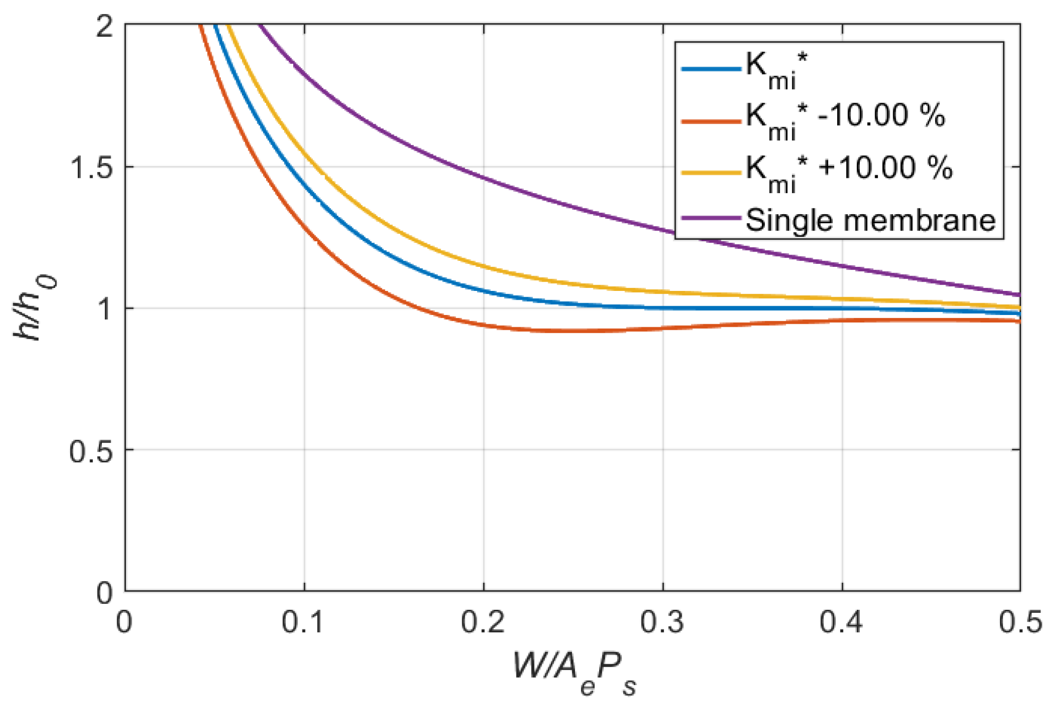
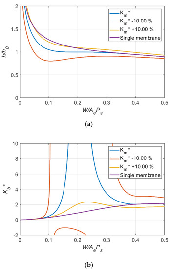
- 1.
- For a single membrane restrictor, a smaller , a smaller variation in clearance over the loading region ( = 0.2 to 0.8) can be observed.
- 2.
- The working region improved by the optimal design of the dual membrane restrictor is increased as a larger is used.
- 3.
- The effects of variation in dimensionless inlet membrane stiffness, , on the variation of clearance decreased as increased. It is indicated that a larger tolerance is allowable when a larger is used.



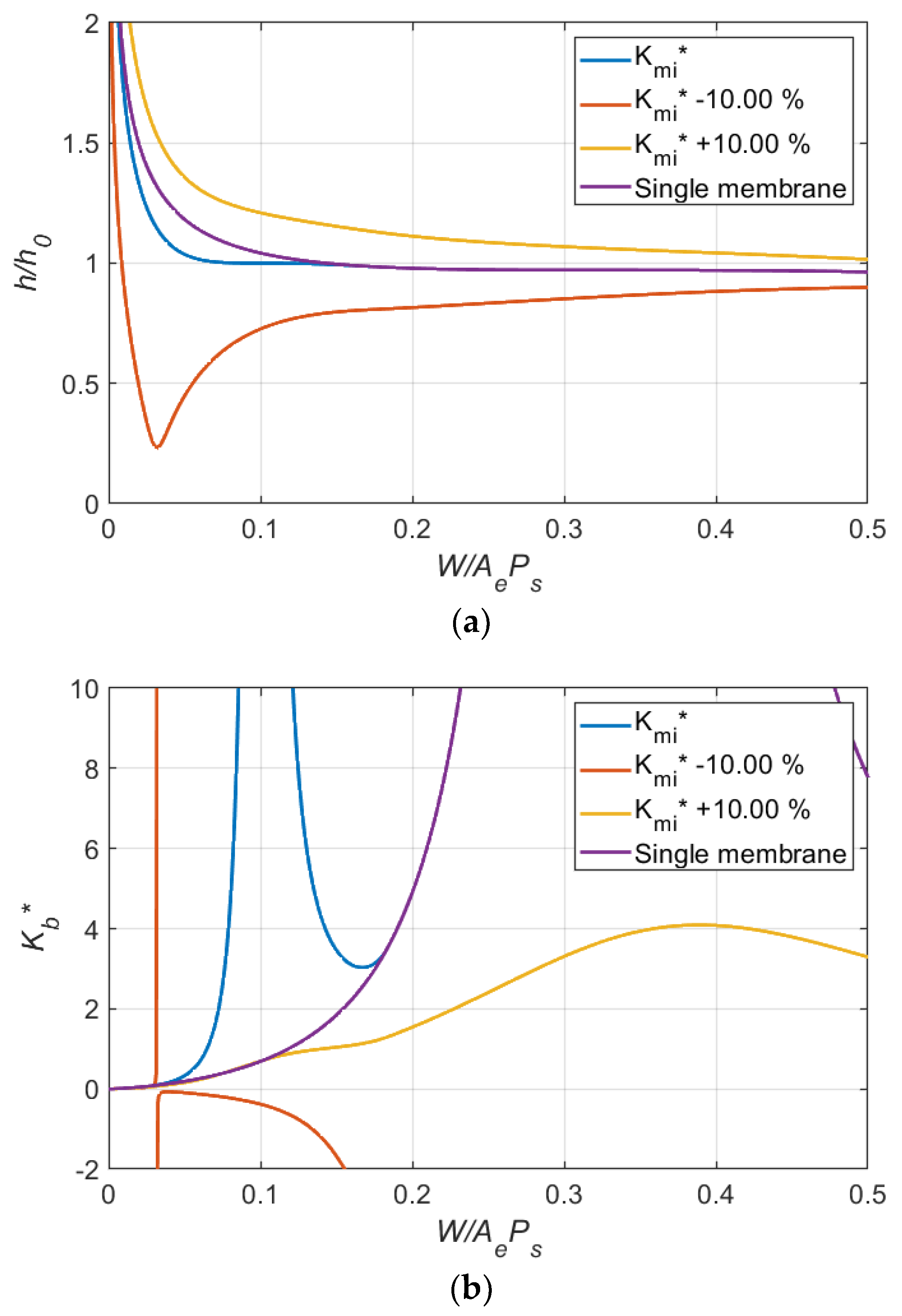
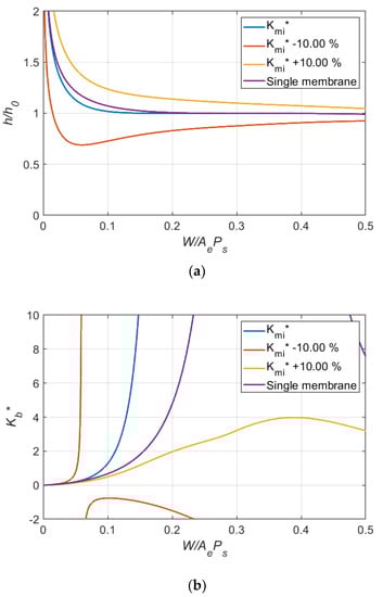
- 1.
- Two infinite stiffness regions appeared at the loading corresponding to = and = 1/3.
- 2.
- The dual membrane restrictor can provide better performance than a single membrane. However, the clearance levels for these two infinite stiffness loading regions are different and the difference increases as the difference between and 1/3 increases.


5. Feasibility Tests to Prove the Proposed Concept
6. Conclusions
Author Contributions
Funding
Institutional Review Board Statement
Informed Consent Statement
Acknowledgments
Conflicts of Interest
References
- Mohsin, M.E. The use of controlled restrictors for compensating hydrostatic bearings. In Advances in Machine Tool Design and Research; Pergamon: Oxford, UK, 1962; pp. 429–442. [Google Scholar]
- Morsi, S.A. Tapered spool controller for pressurized oil film bearings. Proc. Inst. Mech. Eng. 1969, 184, 387–396. [Google Scholar] [CrossRef]
- DeGast, J.G.C. A new type of controlled restrictor (M.D.R.) for double film hydrostatic bearings and its application to high-precision machine tools. In Advanced in Machine Tool Design and Research; Pergamon Press: Oxford, UK, 1966; pp. 273–298. [Google Scholar]
- Cusano, C. Characteristics of externally pressurized journal bearings with membrance-type variable-flow restrictors as compensating elements. Proc. Inst. Mech. Eng. 1974, 188, 527–536. [Google Scholar]
- Gohara, M.; Somaya, K.; Miyatake, M.; Yoshimoto, S. Static characteristics of a water-lubricated hydrostatic thrust bearing using a membrane restrictor. Tribol. Int. 2014, 75, 111–116. [Google Scholar] [CrossRef]
- Kotilainen, M.S. Design and Manufacturing of Modular Self-Compensating Hydrostatic Journal Bearings. Ph.D. Thesis, Massachusetts Institute of Technology, Cambridge, MA, USA, 2000. [Google Scholar]
- Singh, N.; Sharma, S.C.; Jain, S.C.; Reddy, S.S. Performance of membrane compensated multirecess hydrostatic/hybrid flexible journal bearing system considering various recess shapes. Tribol. Int. 2004, 37, 11–24. [Google Scholar] [CrossRef]
- Phalle, V.M.; Sharma, S.C.; Jain, S.C. Influence of wear on the performance of a 2-lobe multirecess hybrid journal bearing system compensated with membrane restrictor. Tribol. Int. 2011, 44, 380–395. [Google Scholar] [CrossRef]
- Kang, Y.; Shen, P.C.; Chang, Y.P.; Lee, H.H.; Chiang, C.P. Modified predictions of restriction coefficient and flow resistance for membrane-type restrictors in hydrostatic bearing by using regression. Tribol. Int. 2007, 40, 1369–1380. [Google Scholar] [CrossRef]
- Kang, Y.; Chen, C.H.; Lee, H.H.; Hung, Y.H.; Hsiao, S.T. Design for static stiffness of hydrostatic bearings: Single-action variable compensations. Indust. Lubric. Tribol. 2011, 63, 103–118. [Google Scholar] [CrossRef]
- Kang, Y.; Chen, C.H.; Chen, Y.C.; Chang, C.; Hsiao, S.T. Parameter identification for single-action membrane-type restrictors of hydrostatic bearings. Indust. Lubric. Tribol. 2012, 64, 39–53. [Google Scholar] [CrossRef]
- Bassani, R.; Piccigallo, B. Hydrostatic lubrication; Tribology Series; Elsevier: Amsterdam, The Netherlands, 1992; Volume 22, ISBN 044488498X. [Google Scholar]
- Chang, T.Y.; Yang, Y.L.; Liu, F.R.; Lin, S.C. Analysis on Parameters and Design of Membrane-type Restrictor. In Proceedings of the International Conference on Engineering and Natural Science—Summer Session (ICENS—Summer 2016), Kyoto, Japan, 12–14 July 2016; pp. 104–115. [Google Scholar]
- Pan, W.; Zhang, Y.T.; Lu, C.H. An accurate method for determination of the performance characteristics of membrane-type restrictors. Proc. Inst. Mech. Eng. Part J J. Eng. Tribol. 2019, 233, 692–701. [Google Scholar] [CrossRef]
- Chen, D.C.; Chen, M.F.; Pan, C.H.; Pan, J.Y. Study of membrane restrictors in hydrostatic bearing. Adv. Mech. Eng. 2018, 10, 1687814018799604. [Google Scholar] [CrossRef]
- Lai, T.H.; Chang, T.Y.; Yang, Y.L.; Lin, S.C. Parameters design of a membrane-type restrictor with single-pad hydrostatic bearing to achieve high static stiffness. Tribol. Int. 2017, 107, 206–212. [Google Scholar] [CrossRef]
- Lai, T.H.; Lin, S.C. A simulation study for the design of membrane restrictor in an opposed-pad hydrostatic bearing to achieve high static stiffness. Lubricants 2018, 6, 71. [Google Scholar] [CrossRef]





| Case | |||||
|---|---|---|---|---|---|
| 1 | 0.2 | 1.75 | 0.408 | 0.502 | 0.486 |
| 2 | 0.2 | 3 | 0.409 | 1.040 | 0.259 |
| 3 | 0.35 | 1.75 | 0.897 | 0.321 | 0.519 |
| 4 | 0.35 | 3 | 0.766 | 0.506 | 0.210 |
| Case | |||||
|---|---|---|---|---|---|
| 5 | 0.1 | 1.33 | 0.183 | 0.273 | 0.714 |
| 6 | 0.2 | 1.33 | 0.294 | 0.251 | 1.639 |
| Supply Pressure ps | 1.4 MPa |
| Corresponding pressure ratio βc | 0.2 |
| Lubricant viscosity η | 0.02 Pa·s |
| Young’s modulus of membrane E | 210 GPa |
| Poisson’s ratio of membrane υ | 0.3 |
| Radius of restricting plane of inlet membrane r1, r2, r3 | 4.5, 7.5, 15 mm |
| Assembly clearance of inlet membrane restrictor li | 47 μm |
| Thickness of inlet membrane t | 0.9 mm |
| Radius of restricting plane of outlet membrane r1, r2, r3 | 2.5, 9, 15 mm |
| Assembly clearance of outlet membrane restrictor lo | 50 μm |
| Thickness of outlet membrane t | 0.5 mm |
| Radius of restricting plane of circular bearing r1, r2 | 15.5, 22 mm |
| Reference clearance of bearing pad hr | 33 μm |
| Single Membrane | Dual Membrane | |||||||
|---|---|---|---|---|---|---|---|---|
| Loading (N) | ps (bar) | p (bar) | Flow Rate (mL/min) | Flow Resistance (Pa-s/mm3) | ps (bar) | p (bar) | Flow Rate (mL/min) | Flow Resistance (Pa·s/mm3) |
| 41 | 14 | 0.37 | 22 | 201 | 14.11 | 0.38 | 23.4 | 218 |
| 139 | 13.95 | 1.28 | 26 | 412 | 14.04 | 1.29 | 23.4 | 412 |
| 237 | 13.92 | 2.15 | 30 | 563 | 13.97 | 2.16 | 23.4 | 565 |
| 335 | 13.87 | 3.05 | 35 | 652 | 13.88 | 3.05 | 23.4 | 634 |
| 433 | 13.84 | 3.91 | 39 | 715 | 13.88 | 3.91 | 23.4 | 715 |
| 531 | 13.8 | 4.78 | 43 | 761 | 13.86 | 4.75 | 23.4 | 794 |
| 629 | 13.77 | 5.6 | 46 | 807 | 13.83 | 5.52 | 23.4 | 817 |
| 728 | 13.75 | 6.32 | 49 | 897 | 13.8 | 6.23 | 23.4 | 899 |
| 825 | 13.75 | 6.74 | 50 | 863 | 13.75 | 6.74 | 23.4 | 857 |
| 923 | 13.75 | 7.37 | 52 | 886 | 13.72 | 7.27 | 23.4 | 985 |
| 1021 | 13.75 | 7.9 | 52 | 988 | 13.73 | 7.9 | 23.4 | 1010 |
| 1119 | 13.76 | 8.46 | 52 | 1100 | 13.73 | 8.46 | 23.4 | 1090 |
| 1217 | 13.77 | 8.96 | 52 | 1300 | 14.11 | 0.38 | 23.4 | 1230 |
| Single Membrane | Dual Membrane | |||||
|---|---|---|---|---|---|---|
| Loading (N) | Temp. (°C) | Viscosity (Pa·s) | Film Thickness h(μm) | Temp. (°C) | Viscosity (Pa·s) | Film Thickness h (μm) |
| 41 | 23.9 | 0.016 | 37.61 | 23.4 | 0.0178 | 37.45 |
| 139 | 23.8 | 0.016 | 29.62 | 23.4 | 0.0177 | 30.21 |
| 237 | 23.7 | 0.0162 | 26.80 | 23.4 | 0.0177 | 27.18 |
| 335 | 23.7 | 0.0162 | 25.52 | 23.4 | 0.0175 | 26.07 |
| 433 | 23.6 | 0.0163 | 24.80 | 23.4 | 0.0175 | 25.04 |
| 531 | 23.6 | 0.0164 | 24.34 | 23.4 | 0.0174 | 24.14 |
| 629 | 23.6 | 0.0164 | 23.87 | 23.4 | 0.0174 | 23.91 |
| 728 | 23.6 | 0.0165 | 23.08 | 23.4 | 0.0173 | 23.11 |
| 825 | 23.6 | 0.0166 | 23.43 | 23.4 | 0.0172 | 23.44 |
| 923 | 23.5 | 0.0166 | 23.23 | 23.4 | 0.0172 | 22.38 |
| 1021 | 23.5 | 0.0168 | 22.49 | 23.4 | 0.0172 | 22.21 |
| 1119 | 23.4 | 0.0169 | 21.73 | 23.4 | 0.0172 | 21.62 |
| 1217 | 23.4 | 0.0169 | 20.58 | 23.4 | 0.0172 | 20.78 |
Publisher’s Note: MDPI stays neutral with regard to jurisdictional claims in published maps and institutional affiliations. |
© 2022 by the authors. Licensee MDPI, Basel, Switzerland. This article is an open access article distributed under the terms and conditions of the Creative Commons Attribution (CC BY) license (https://creativecommons.org/licenses/by/4.0/).
Share and Cite
Lin, S.-C.; Lo, Y.-H.; Lin, Y.-H.; Tung, W.-T.; Lai, T.-H. Design and Performance Analysis of Dual Membrane Restrictor for Hydrostatic Bearing. Lubricants 2022, 10, 179. https://doi.org/10.3390/lubricants10080179
Lin S-C, Lo Y-H, Lin Y-H, Tung W-T, Lai T-H. Design and Performance Analysis of Dual Membrane Restrictor for Hydrostatic Bearing. Lubricants. 2022; 10(8):179. https://doi.org/10.3390/lubricants10080179
Chicago/Turabian StyleLin, Shih-Chieh, Yu-Hsiang Lo, Yu-Hsin Lin, Wei-Ting Tung, and Ta-Hua Lai. 2022. "Design and Performance Analysis of Dual Membrane Restrictor for Hydrostatic Bearing" Lubricants 10, no. 8: 179. https://doi.org/10.3390/lubricants10080179
APA StyleLin, S.-C., Lo, Y.-H., Lin, Y.-H., Tung, W.-T., & Lai, T.-H. (2022). Design and Performance Analysis of Dual Membrane Restrictor for Hydrostatic Bearing. Lubricants, 10(8), 179. https://doi.org/10.3390/lubricants10080179

