Impact of Graphene Nano-Additives to Lithium Grease on the Dynamic and Tribological Behavior of Rolling Bearings
Abstract
:1. Introduction
2. Materials and Methods
2.1. Test Setup
2.2. Material Preparation and Characterization
2.3. Experimental Modal Analysis
2.4. Vibration Analysis
2.5. Ultrasound Analysis
2.6. Infrared Thermographic Analysis
2.7. Timken Load Test
3. Results and Discussion
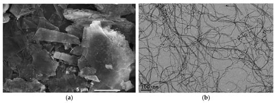
3.1. Nano-Additive Material Characterization
3.2. Modal Analysis Results
3.3. Vibration Analysis Results
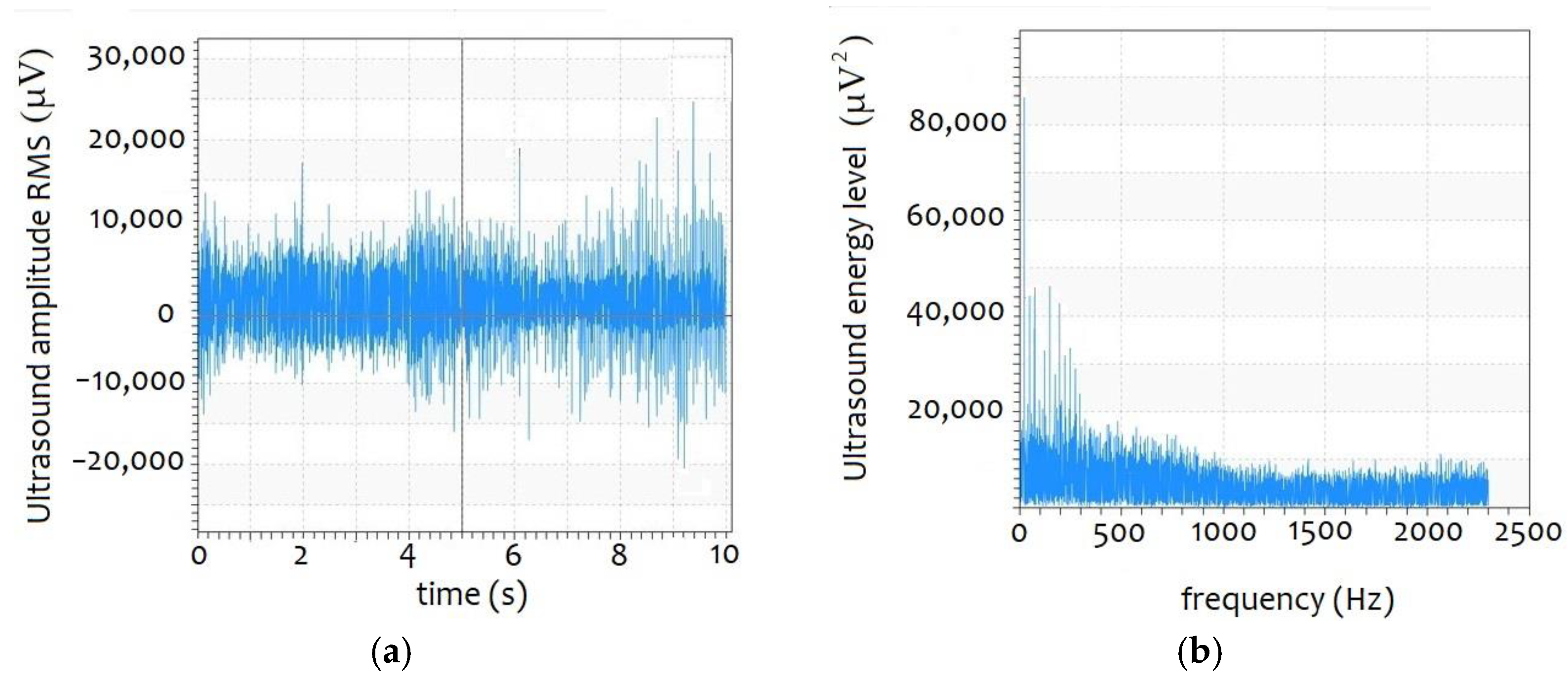
3.4. Ultrasound Results
3.5. IRT Thermographic Results
3.6. Timken Load Test Results
4. Conclusions
Author Contributions
Funding
Data Availability Statement
Conflicts of Interest
References
- S. Group. Bearing Damage and Failure Analysis; Technical Report; SKF Group: Gothenburg, Sweden, 2017. [Google Scholar]
- Market Analysis Report. Bearings Market Size, Share & Trends Analysis. Available online: https://www.grandviewresearch.com/industry-analysis/bearings-market (accessed on 8 November 2021).
- Randall, R.B.; Antoni, J. Rolling element bearing diagnostics—A tutorial. Mech. Syst. Signal Process. 2011, 25, 485–520. [Google Scholar] [CrossRef]
- Vencl, A.; Gašić1, V.; Stojanović, B. Fault tree analysis of most common rolling bearing tribological failures. IOP Conf. Ser. Mater. Sci. Eng. 2017, 174, 012048. [Google Scholar] [CrossRef]
- Harris, T.A. Rolling Bearing Analysis, 4th ed.; Wiley: New York, NY, USA, 2001. [Google Scholar]
- Howard, I.A. Review of Rolling Element Bearing Vibration Detection, Diagnosis and Prognosis; Technical Report; Defense Science and Technology Organization Canberra: Canberra, Australia, 1994. [Google Scholar]
- Cann, P. Starved Grease Lubrication of Rolling Contacts. Tribol. Trans. 1999, 42, 867–873. [Google Scholar] [CrossRef]
- Wandel, S.; Bader, N.; Schwack, F.; Glodowski, J.; Lehnhardt, B.; Poll, G. Starvation and relubrication mechanisms in grease lubricated oscillating bearings. Tribol. Int. 2021, 165, 107276. [Google Scholar] [CrossRef]
- Grützmacher, P.; Jalikop, S.; Gachot, C.; Rosenkranz, A. Thermocapillary lubricant migration on textured surfaces—A review of theoretical and experimental insights. Surf. Topogr. Metrol. Prop. 2021, 9, 013001. [Google Scholar] [CrossRef]
- Grützmacher, P.; Rosenkranz, A.; Szurdak, A.; Grüber, M.; Gachot, C.; Hirt, G.; Mücklich, F. Multi-scale surface patterning–an approach to control friction and lubricant migration in lubricated systems. Ind. Lubr. Tribol. 2019, 71, 1007–1016. [Google Scholar] [CrossRef]
- Grützmacher, P.; Rosenkranz, A.; Szurdak, A.; Gachot, C.; Hirt, G.; Mücklich, F. Lubricant migration on stainless steel induced by bio-inspired multi-scale surface patterns. Mater. Des. 2018, 150, 55–63. [Google Scholar] [CrossRef]
- S. Group. FAG Lubrication of Rolling Bearings; Technical Report; SKF: Bresler, Germany, 2013; p. 8. [Google Scholar]
- Dresel, W.; Heckler, R.P. Lubricating Greases. In Lubricants and Lubrication, 2nd ed.; Mang, H., Dresel, W., Eds.; John Wiley & Sons: Hoboken, NJ, USA, 2006; pp. 648–693. [Google Scholar]
- Lansdown, A.R. Lubrication and Lubricant Selection: A Practical Guide, 3rd ed.; ASME Press: New York, NY, USA, 2004. [Google Scholar]
- Gow, G. Lubricating Grease in Chemistry and Technology of Lubricants, 3rd ed.; Mortier, R.M., FoxStefan, M.F., Orszulik, T., Eds.; Springer: Dordrecht, The Netherlands, 2010; pp. 411–432. [Google Scholar]
- Lugt, P.M.; Pallister, D.M. Grease Composition and Properties. In Grease Lubrication in Rolling Bearings, 1st ed.; Lugt, P.M., Ed.; John Wiley & Sons, Ltd.: Hoboken, NJ, USA, 2012; pp. 23–69. [Google Scholar]
- Rosenkranz, A.; Liu, Y.; Yang, L.; Chen, L. 2D nano-materials beyond graphene: From synthesis to tribological studies. Appl. Nanosci. 2020, 10, 3353–3388. [Google Scholar] [CrossRef]
- Berman, D.; Erdemir, A.; Sumant, A. Approaches for Achieving Superlubricity in Two-Dimensional Materials. ACS Nano 2018, 12, 2122–2137. [Google Scholar] [CrossRef]
- Zhang, S.; Ma, T.; Erdemir, A.; Li, Q. Tribology of two-dimensional materials: From mechanisms to modulating strategies. Mater. Today 2018, 26, 67–86. [Google Scholar] [CrossRef]
- Zhang, J.; Li, J.; Wang, A.; Edwards, B.J.; Yin, H.; Li, Z.; Ding, Y. Improvement of the Tribological Properties of a Lithium-Based Grease by Addition of Graphene. J. Nanosci. Nanotechnol. 2018, 18, 7163–7169. [Google Scholar] [CrossRef] [PubMed]
- Mohamed, A.; Osman, T.A.; Khattab, A.; Zaki, M. Tribological Behavior of Carbon Nanotubes as an Additive on Lithium Grease. J. Tribol. 2014, 137, 011801. [Google Scholar] [CrossRef]
- Rawat, S.S.; Harsha, A.P.; Khatri, O.P.; Wäsche, R. Pristine, Reduced, and Alkylated Graphene Oxide as Additives to Paraffin Grease for Enhancement of Tribological Properties. J. Tribol. 2020, 143, 11. [Google Scholar] [CrossRef]
- Akbulut, M.; Belman, N.; Golan, Y.; Israelachvili, J. Frictional Properties of Confined Nanorods. Adv. Mater. 2006, 18, 2589–2592. [Google Scholar] [CrossRef]
- Rapoport, L.; Leshchinsky, V.; Lapsker, I.; Volovik, Y.; Nepomnyashchy, O.; Lvovsky, M.; Popovitz-Biro, R.; Feldman, Y.; Tenne, R. Tribological properties of WS2 nanoparticles under mixed lubrication. Wear 2003, 255, 785–793. [Google Scholar] [CrossRef]
- Cameron, A. The Principles of Lubrication, 1st ed.; Longmans: London, UK, 1966. [Google Scholar]
- Marian, M.; Berman, D.; Rota, A.; Jackson, R.; Rosenkranz, A. Layered 2D Nanomaterials to Tailor Friction and Wear in Machine Elements—A Review. Adv. Mater. 2022, 9, 2101622. [Google Scholar] [CrossRef]
- Kamel, B.M.; Mohamed, A.; El Sherbiny, M.; Abed, K.A.; Abd-Rabou, M. Tribological properties of graphene nanosheets as an additive in calcium grease. J. Dispers. Sci. Technol. 2017, 38, 1495–1500. [Google Scholar] [CrossRef]
- Tabandeh-Khorshid, M.; Omrani, E.; Menezes, P.L.; Rohatgi, P.K. Tribological performance of self-lubricating aluminum matrix nanocomposites: Role of graphene nanoplatelets. Int. J. Eng. Sci. Technol. 2016, 19, 463–469. [Google Scholar] [CrossRef] [Green Version]
- Nassef, B.G.; Nassef, G.A.; Daha, M.A. Graphene and Its Industrial Applications—A Review. Int. J. Mater. Eng. 2020, 10, 1–12. [Google Scholar] [CrossRef]
- Singh, J.; Anand, G.; Kumar, D.; Tandon, N. Graphene based composite grease for elastohydrodynamic lubricated point contact. IOP Conf. Ser. Mater. Sci. Eng. 2016, 149, 012195. [Google Scholar] [CrossRef] [Green Version]
- Curà, F.; Mura, A.; Adamo, F. Experimental investigation about tribological performance of grapheme-nanoplatelets as additive for lubricants. Procedia Struct. Integr. 2018, 12, 44–51. [Google Scholar] [CrossRef]
- Fu, H.; Yan, G.; Li, M.; Wang, H.; Chen, Y.; Yan, C.; Lin, C.-T.; Jiang, N.; Yu, J. Graphene as a nanofiller for enhancing the tribological properties and thermal conductivity of base grease. RSC Adv. 2019, 9, 42481–42488. [Google Scholar] [CrossRef] [Green Version]
- Cheng, Z.L.; Qin, X.-X. Study on friction performance of graphene-based semi-solid grease. Chin. Chem. Lett. 2014, 25, 1305–1307. [Google Scholar] [CrossRef]
- Nan, F.; Yin, Y. Improving of the tribological properties of attapulgite base grease with graphene. Lubr. Sci. 2021, 33, 380–393. [Google Scholar] [CrossRef]
- Schwarz, U.D. Tracking antiwear film formation. Science 2015, 348, 40–41. [Google Scholar] [CrossRef] [Green Version]
- Pape, F.; Poll, G. Investigations on Graphene platelets as dry lubricant and as grease additive for rolling and sliding contacts. Lubricants 2019, 8, 3. [Google Scholar] [CrossRef] [Green Version]
- Nassef, B.G. Performance of Rolling Element Bearings Lubricated with Grease-Graphene Mixtures. Master’s Thesis, Alexandria University, Alexandria, Egypt, 2021. [Google Scholar]
- Brisebois, P.P.; Siaj, M. Harvesting graphene oxide—years 1859 to 2019: A review of its structure, synthesis, properties and exfoliation. J. Mater. Chem. C. 2020, 8, 1517–1547. [Google Scholar] [CrossRef]
- Shahriary, L.; Athawale, A. Graphene oxide synthesized by using modified Hummers approach. Renew. Energy Environ. Eng. 2014, 2, 58–63. [Google Scholar]
- Kaur, M.; Kaur, H.; Kukkar, D. Synthesis and characterization of graphene oxide using modified Hummer’s method. AIP Conf. Proc. 2018, 1953, 030180. [Google Scholar] [CrossRef]
- ISO 7626-5:2019; Mechanical Vibration and Shock-Experimental Determination of Mechanical Mobility-5: Measurements Using Impact Excitation with an Exciter Which Is Not Attached to the Structure. International Organization for Standardization ISO: Geneva, Switzerland, 2019. Available online: https://www.iso.org/standard/68735.html (accessed on 17 February 2022).
- ISO 10816-8:2014; Mechanical Vibration-Evaluation of Machine Vibration by Measurements on Non-Rotating Parts-Part 1: General Guidelines. International Organization for Standardization ISO: Geneva, Switzerland, 2014. Available online: https://www.iso.org/standard/56782.html (accessed on 17 February 2022).
- ISO 29821:2018; Condition Monitoring and Diagnostics of Machines-Ultrasound-General Guidelines, Procedures and Validation. International Organization for Standardization ISO: Geneva, Switzerland, 2018. Available online: https://www.iso.org/standard/71196.html (accessed on 17 February 2022).
- ISO 18434-1:2008; Condition Monitoring and Diagnostics of Machines-Thermography-Part 1: General Procedures. International Organization for Standardization ISO: Geneva, Switzerland, 2008. Available online: https://www.iso.org/standard/41648.html (accessed on 17 February 2022).
- Luong, M.P. Fatigue limit evaluation of metals using an infrared thermographic technique. Mech. Mater. 1998, 28, 155–163. [Google Scholar] [CrossRef]
- Maldague, X. Theory and Practice of Infrared Technology for Nondestructive Testing, 1st ed.; Wiley: New York, NY, USA, 2001. [Google Scholar]
- La Rosa, G.; Risitano, A. Thermographic methodology for rapid determination of the fatigue limit of materials and mechanical components. Int. J. Fatigue 2000, 22, 65–73. [Google Scholar] [CrossRef]
- ISO 18434-2:2019; Condition Monitoring and Diagnostics of Machine systems-Thermography-Part 2: Image Interpretation and Diagnostics. International Organization for Standardization ISO: Geneva, Switzerland, 2019. Available online: https://www.iso.org/standard/67617.html (accessed on 17 February 2022).
- ASTM D2509-20ae1; Standard Test Method for Measurement of Load-Carrying Capacity of Lubricating Grease (Timken Method). American Society for Testing and Materials (ASTM International): West Conshohocken, PA, USA. Available online: https://www.astm.org/d2509-20ae01.html (accessed on 17 February 2022).
- Krishnamoorthy, K.; Veerapandian, M.; Mohan, R.; Kim, S.-J. Investigation of Raman and photoluminescence studies of reduced graphene oxide sheets. Appl. Phys. A 2012, 106, 501–506. [Google Scholar] [CrossRef]
- Thakur, S.; Karak, N. Green reduction of graphene oxide by aqueous phytoextracts. Carbon 2012, 50, 5331–5339. [Google Scholar] [CrossRef]
- Tai, M.; Liu, W.; Khe3, C.; Hidayah, N.; Teoh, Y.; Voon, C.; Lee, H.; Adelyn, P. Green synthesis of reduced graphene oxide using green tea extract. AIP Conf. Proc. 2018, 2045, 020032. [Google Scholar] [CrossRef]
- Song, P.; Cao, Z.; Cai, Y.; Zhao, L.; Fang, Z.; Fu, S. Fabrication of exfoliated graphene-based polypropylene nanocomposites with enhanced mechanical and thermal properties. Polymer 2011, 52, 4001–4010. [Google Scholar] [CrossRef]
- Hidayah, N.; Liu, W.; Lai, C.; Noriman, N.; Khe, C.; Hashim, U.; Lee, H. Comparison on graphite, graphene oxide and reduced graphene oxide: Synthesis and characterization. AIP Conf. Proc. 2017, 1892, 150002. [Google Scholar] [CrossRef]
- Stankovich, S.; Dikin, D.; Piner, R.; Kohlhaas, K.; Kleinhammes, A.; Jia, Y.; Wu, Y.; Nguyen, S.; Ruoff, R. Synthesis of graphene-based nanosheets via chemical reduction of exfoliated graphite oxide. Carbon 2007, 45, 1558–1565. [Google Scholar] [CrossRef]
- Tuinstra, F.; Koenig, J. Raman spectrum of graphite. J. Chem. Phys. 1970, 53, 1126–1130. [Google Scholar] [CrossRef] [Green Version]
- Ferrari, A.; Meyer, J.; Scardaci, V.; Casiraghi, C.; Lazzeri, M.; Mauri, F.; Piscanec, S.; Jiang, D.; Novoselov, K.; Roth, S.; et al. Raman Spectrum of Graphene and Graphene Layers. Phys. Rev. Lett. 2006, 97, 187401. [Google Scholar] [CrossRef] [Green Version]
- Kumar, V.; Kumar, A.; Lee, D.; Park, S. Estimation of Number of Graphene Layers Using Different Methods: A Focused Review. Materials 2021, 14, 4590. [Google Scholar] [CrossRef]
- Moon, I.K.; Lee, J.; Ruoff, R.; Lee, H. Reduced graphene oxide by chemical graphitization. Nat. Commun. 2010, 1, 73. [Google Scholar] [CrossRef] [PubMed] [Green Version]
- Yasin, G.; Arif, M.; Shakeel, M.; Dun, Y.; Zuo, Y.; Khan, W.; Tang, Y.; Khan, A.; Nadeem, M. Exploring the Nickel–Graphene Nanocomposite Coatings for Superior Corrosion Resistance: Manipulating the Effect of Deposition Current Density on its Morphology, Mechanical Properties, and Erosion-Corrosion Performance. Adv. Eng. Mater. 2018, 20, 1701166. [Google Scholar] [CrossRef]
- Gupta, B.; Kumar, N.; Panda, K.; Kanan, V.; Joshi, S.; Visoly-Fisher, I. Role of oxygen functional groups in reduced graphene oxide for lubrication. Sci. Rep. 2017, 7, 45030. [Google Scholar] [CrossRef]
- Zeillinger, R.; Kottritsch, H. Damping in a rolling arrangement, Technical Report ed. SKF Business and Technology Magazine (Evolution). 15 February 1996, pp. 27–30. Available online: https://evolution.skf.com/damping-in-a-rolling-bearing-arrangement/ (accessed on 14 January 2022).
- Ali, N.J.; García, J.M. Experimental studies on the dynamic characteristics of rolling element bearings. Proc. Inst. Mech. Eng. Part J. Eng. Tribol. 2010, 224, 659–666. [Google Scholar] [CrossRef]
- Singh, R.; Dixit, A.; Sharma, A.; Tiwari, A.; Mandal, V.; Pramanik, A. Influence of graphene and multi-walled carbon nanotube additives on tribological behaviour of lubricants. Int. J. Surf. Sci. Eng. 2018, 12, 207–227. [Google Scholar] [CrossRef] [Green Version]
- Kamel, B.M.; Mohamed, A.; El-Sherbiny, M.; Abed, K.; Abd-Rabou, M. Rheological characteristics of modified calcium grease with graphene nanosheets Fuller Nanotube Carbon Nanostructures. Fuller. Nanotub. Carbon Nanostructures 2017, 25, 429–434. [Google Scholar] [CrossRef]
- ISO 13373-2:2016; Condition Monitoring and Diagnostics of Machines—Vibration Condition Monitoring—Part 2: Processing, analysis and Presentation of Vibration Data. International Organization for Standardization ISO: Geneva, Switzerland, 2016. Available online: https://www.iso.org/standard/68128.html (accessed on 17 February 2022).
- ISO 10816-7:2009; Mechanical Vibration—Evaluation of Machine Vibration by Measurements on Non-Rotating Parts—Part 7: Rotodynamic Pumps for Industrial Applications, Including Measurements on Rotating Shafts. International Organization for Standardization ISO: Geneva, Switzerland, 2009. Available online: https://www.iso.org/standard/41726.html (accessed on 17 February 2022).
- Wu, C.; Yang, K.; Chen, Y.; Ni, J.; Yao, L.; Li, X. Investigation of friction and vibration performance of lithium complex grease containing nano-particles on rolling bearing. Tribol. Int. 2021, 155, 106761. [Google Scholar] [CrossRef]
- Rawat, S.S.; Harsha, A.P.; Chouhan, A.; Khatri, O.P. Effect of Graphene-Based Nanoadditives on the Tribological and Rheological Performance of Paraffin Grease. J. Mater. Eng. Perform. 2020, 29, 2235–2247. [Google Scholar] [CrossRef]
- Adhvaryu, A.; Sung, C.; Erhan, S.Z. Fatty acids and antioxidant effects on grease microstructures. Ind. Crops Prod. 2005, 21, 285–291. [Google Scholar] [CrossRef]
- Tippayawong, N.; Sooksarn, P. Assessment of lubricating oil degradation in small motorcycle engine fueled with gasohol. Maejo Int. J. Sci. Technol. 2010, 4, 201–209. [Google Scholar]











| Component | Specifications |
|---|---|
| Electric Motor | GAMAK (3 hp, and 1400 rpm) |
| Base | C45 Carbon Steel |
| Shaft | SUS 420 Stainless Steel |
| Two Support Bearings | NU1011M Roller Bearing |
| Dimensions (mm) | D | D | B | r | ![]() | |||
| 30 | 55 | 13 | 1 | |||||
| Mass (kg) | 0.116 | |||||||
| Dynamic load rating, CD (N) | 13,200 | |||||||
| Static load rating, Co (N) | 8300 | |||||||
| Clearances (μm) | C2 | CN | C3 | C4 | C5 | |||
| 1–11 | 5–20 | 13–28 | 23–41 | 30–53 | ||||
| Roller Number | Test Grease | Timken OK Load (N) | X (mm) | Y (mm) | Wear Scar Area (mm) |
|---|---|---|---|---|---|
| a | Base grease (Lithium Grease) | 1988 | 5.3 | 9.3 | 154.771 |
| b | 1 wt.% rGO | 1988 | 4.7 | 8.6 | 126.918 |
| c | 2 wt.% rGO | 2485 | 4.7 | 8 | 118.064 |
| d | 3.5 wt.% rGO | 2982 | 4 | 7.7 | 96.712 |
| e | 5 wt.% rGO | 3976 | 4.5 | 7 | 98.911 |
| f | 1 wt.% graphite | 1988 | 5 | 8.3 | 130.312 |
| g | 1 wt.% MWCNT | 1988 | 4.7 | 8.5 | 125.443 |
| h | Mobil fibra x235 | 1988 | 5.3 | 9.3 | 154.771 |
Publisher’s Note: MDPI stays neutral with regard to jurisdictional claims in published maps and institutional affiliations. |
© 2022 by the authors. Licensee MDPI, Basel, Switzerland. This article is an open access article distributed under the terms and conditions of the Creative Commons Attribution (CC BY) license (https://creativecommons.org/licenses/by/4.0/).
Share and Cite
Nassef, M.G.A.; Soliman, M.; Nassef, B.G.; Daha, M.A.; Nassef, G.A. Impact of Graphene Nano-Additives to Lithium Grease on the Dynamic and Tribological Behavior of Rolling Bearings. Lubricants 2022, 10, 29. https://doi.org/10.3390/lubricants10020029
Nassef MGA, Soliman M, Nassef BG, Daha MA, Nassef GA. Impact of Graphene Nano-Additives to Lithium Grease on the Dynamic and Tribological Behavior of Rolling Bearings. Lubricants. 2022; 10(2):29. https://doi.org/10.3390/lubricants10020029
Chicago/Turabian StyleNassef, Mohamed G. A., Mina Soliman, Belal Galal Nassef, Mohamed A. Daha, and Galal A. Nassef. 2022. "Impact of Graphene Nano-Additives to Lithium Grease on the Dynamic and Tribological Behavior of Rolling Bearings" Lubricants 10, no. 2: 29. https://doi.org/10.3390/lubricants10020029
APA StyleNassef, M. G. A., Soliman, M., Nassef, B. G., Daha, M. A., & Nassef, G. A. (2022). Impact of Graphene Nano-Additives to Lithium Grease on the Dynamic and Tribological Behavior of Rolling Bearings. Lubricants, 10(2), 29. https://doi.org/10.3390/lubricants10020029


