Zipoy-Voorhees Gravitational Object as a Source of High-Energy Relativistic Particles
Abstract
:1. Introduction
2. Formulation
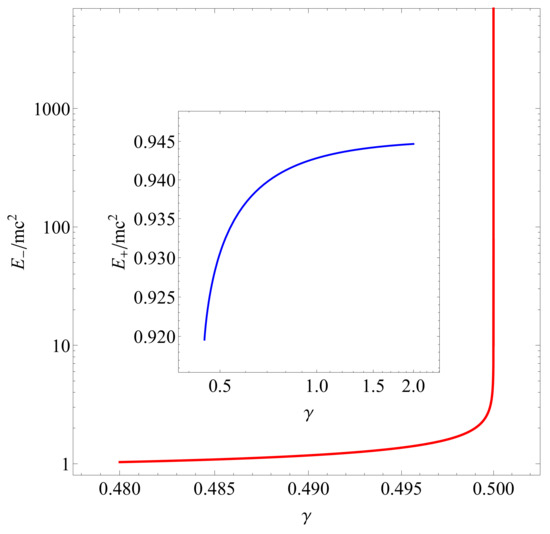
3. Results and Discussions
4. Summary
Author Contributions
Funding
Institutional Review Board Statement
Informed Consent Statement
Data Availability Statement
Acknowledgments
Conflicts of Interest
Abbreviations
| GR | General Relativity |
| ISCO | Innermost stable circular orbit |
| RN | Reissner-Nordström |
| JNW | Janis-Newman-Winnicour |
References
- Penrose, R. Gravitational Collapse: The Role of General Relativity. Nuovo Cim. Riv. Ser. 1969, 1, 252. [Google Scholar]
- Blandford, R.D.; Znajek, R.L. Electromagnetic extraction of energy from Kerr black holes. Mon. Not. R. Astron. Soc. 1977, 179, 433–456. [Google Scholar] [CrossRef]
- Bañados, M.; Silk, J.; West, S.M. Kerr Black Holes as Particle Accelerators to Arbitrarily High Energy. Phys. Rev. D 2009, 103, 111102. [Google Scholar] [CrossRef] [PubMed] [Green Version]
- Wagh, S.M.; Dhurandhar, S.V.; Dadhich, N. Revival of the Penrose Process for Astrophysical Applications. Astrphys. J. 1985, 290, 12. [Google Scholar] [CrossRef]
- Dadhich, N.; Tursunov, A.; Ahmedov, B.; Stuchlík, Z. The distinguishing signature of magnetic Penrose process. Mon. Not. R. Astron. Soc. 2018, 478, L89–L94. [Google Scholar] [CrossRef] [Green Version]
- Tursunov, A.; Stuchlík, Z.; Kološ, M.; Dadhich, N.; Ahmedov, B. Supermassive Black Holes as Possible Sources of Ultrahigh-energy Cosmic Rays. Astrophys. J. 2020, 895, 14. [Google Scholar] [CrossRef]
- Tursunov, A.; Zajaček, M.; Eckart, A.; Kološ, M.; Britzen, S.; Stuchlík, Z.; Czerny, B.; Karas, V. Effect of Electromagnetic Interaction on Galactic Center Flare Components. Astrophys. J. 2020, 897, 99. [Google Scholar] [CrossRef]
- Kološ, M.; Tursunov, A.; Stuchlík, Z. Radiative Penrose process: Energy gain by a single radiating charged particle in the ergosphere of rotating black hole. Phys. Rev. D 2021, 103, 024021. [Google Scholar] [CrossRef]
- Patil, M.; Joshi, P.S. Ultrahigh energy particle collisions in a regular spacetime without black holes or naked singularities. Phys. Rev. D 2012, 86, 044040. [Google Scholar] [CrossRef] [Green Version]
- Chowdhury, A.N.; Patil, M.; Malafarina, D.; Joshi, P.S. Circular geodesics and accretion disks in the Janis-Newman-Winicour and gamma metric spacetimes. Phys. Rev. D 2012, 85, 104031. [Google Scholar] [CrossRef] [Green Version]
- Zipoy, D.M. Topology of Some Spheroidal Metrics. J. Math. Phys. 1966, 7, 1137–1143. [Google Scholar] [CrossRef]
- Voorhees, B.H. Static Axially Symmetric Gravitational Fields. Phys. Rev. D 1970, 2, 2119–2122. [Google Scholar] [CrossRef]
- Toktarbay, S.; Quevedo, H. A stationary q-metric. Gravit. Cosmol. 2014, 20, 252–254. [Google Scholar] [CrossRef]
- Quevedo, H.; Toktarbay, S. Generating static perfect-fluid solutions of Einstein’s equations. J. Math. Phys. 2015, 56, 052502. [Google Scholar] [CrossRef] [Green Version]
- Boshkayev, K.; Gasperín, E.; Gutiérrez-Piñeres, A.C.; Quevedo, H.; Toktarbay, S. Motion of test particles in the field of a naked singularity. Phys. Rev. D 2016, 93, 024024. [Google Scholar] [CrossRef] [Green Version]
- Frutos-Alfaro, F.; Quevedo, H.; Sanchez, P.A. Comparison of vacuum static quadrupolar metrics. R. Soc. Open Sci. 2018, 5, 170826. [Google Scholar] [CrossRef] [PubMed] [Green Version]
- Arrieta-Villamizar, J.A.; Velásquez-Cadavid, J.M.; Pimentel, O.M.; Lora-Clavijo, F.D.; Gutiérrez-Piñeres, A.C. Shadows around the q-metric. Class. Quantum Gravity 2021, 38, 015008. [Google Scholar] [CrossRef]
- Turimov, B.; Ahmedov, B.; Kološ, M.; Stuchlík, Z. Axially symmetric and static solutions of Einstein equations with self-gravitating scalar field. Phys. Red. D 2018, 98, 084039. [Google Scholar] [CrossRef] [Green Version]
- Weyl, H. Zur Gravitationstheorie. Ann. Phys. 1917, 359, 117–145. [Google Scholar] [CrossRef]
- Weyl, H. Bemerkung über die axialsymmetrischen Lösungen der Einsteinschen Gravitationsgleichungen. Ann. Phys. 1919, 364, 185–188. [Google Scholar] [CrossRef] [Green Version]
- Weyl, H. Ausbreitung elektromagnetischer Wellen über einem ebenen Leiter. Ann. Phys. 1919, 365, 481–500. [Google Scholar] [CrossRef] [Green Version]
- Shaikh, R.; Paul, S.; Banerjee, P.; Sarkar, T. Shadows and thin accretion disk images of the γ-metric. arXiv 2021, arXiv:2105.12057. [Google Scholar]
- Boshkayev, K.; Konysbayev, T.; Kurmanov, E.; Luongo, O.; Malafarina, D.; Quevedo, H. Luminosity of accretion disks in compact objects with quadrupole. arXiv 2021, arXiv:2106.04932. [Google Scholar]
- Abdikamalov, A.B.; Abdujabbarov, A.A.; Ayzenberg, D.; Malafarina, D.; Bambi, C.; Ahmedov, B. Black hole mimicker hiding in the shadow: Optical properties of the γ metric. Phys. Rev. D 2019, 100, 024014. [Google Scholar] [CrossRef] [Green Version]
- Gal’tsov, D.V.; Kobialko, K.V. Photon trapping in static axially symmetric spacetime. Phys. Rev. D 2019, 100, 104005. [Google Scholar] [CrossRef] [Green Version]
- Herrera, L.; Paiva, F.M.; Santos, N.O.; Ferrari, V. Geodesics in the γ Spacetime. Int. J. Mod. Phys. D 2000, 9, 649–659. [Google Scholar] [CrossRef]
- Toshmatov, B.; Malafarina, D. Spinning test particles in the γ spacetime. Phys. Rev. D 2019, 100, 104052. [Google Scholar] [CrossRef] [Green Version]
- Benavides-Gallego, C.A.; Abdujabbarov, A.; Malafarina, D.; Ahmedov, B.; Bambi, C. Charged particle motion and electromagnetic field in γ spacetime. Phys. Rev. D 2019, 99, 044012. [Google Scholar] [CrossRef] [Green Version]
- Benavides-Gallego, C.A.; Abdujabbarov, A.; Malafarina, D.; Bambi, C. Quasiharmonic oscillations of charged particles in static axially symmetric space-times immersed in a uniform magnetic field. Phys. Rev. D 2020, 101, 124024. [Google Scholar] [CrossRef]
- Landau, L.D.; Lifshitz, E.M. The Classical Theory of Fields, Course of Theoretical Physics, Volume 2; Elsevier Butterworth-Heinemann: Oxford, UK, 2004. [Google Scholar]
- Misner, C.W.; Thorne, K.S.; Wheeler, J.A. Gravitation; W. H. Freeman: San Francisco, CA, USA, 1973. [Google Scholar]
- Frolov, V.P.; Novikov, I.D. Black Hole Physics, Basic Concepts and New Developments; Kluwer Academic Publishers: Dordrecth, The Netherlands, 1998. [Google Scholar]
- Turimov, B.; Rayimbaev, J.; Abdujabbarov, A.; Ahmedov, B.; Stuchlík, Z. Test particle motion around a black hole in Einstein-Maxwell-scalar theory. Phys. Rev. D 2020, 102, 064052. [Google Scholar] [CrossRef]



| Spacetime | ||||
|---|---|---|---|---|
| Schwarzschild | 1 | |||
| Extreme RN | 1 | ≤ | ≤ | |
| -metric | ∼∞> |
Publisher’s Note: MDPI stays neutral with regard to jurisdictional claims in published maps and institutional affiliations. |
© 2021 by the authors. Licensee MDPI, Basel, Switzerland. This article is an open access article distributed under the terms and conditions of the Creative Commons Attribution (CC BY) license (https://creativecommons.org/licenses/by/4.0/).
Share and Cite
Turimov, B.; Ahmedov, B. Zipoy-Voorhees Gravitational Object as a Source of High-Energy Relativistic Particles. Galaxies 2021, 9, 59. https://doi.org/10.3390/galaxies9030059
Turimov B, Ahmedov B. Zipoy-Voorhees Gravitational Object as a Source of High-Energy Relativistic Particles. Galaxies. 2021; 9(3):59. https://doi.org/10.3390/galaxies9030059
Chicago/Turabian StyleTurimov, Bobur, and Bobomurat Ahmedov. 2021. "Zipoy-Voorhees Gravitational Object as a Source of High-Energy Relativistic Particles" Galaxies 9, no. 3: 59. https://doi.org/10.3390/galaxies9030059
APA StyleTurimov, B., & Ahmedov, B. (2021). Zipoy-Voorhees Gravitational Object as a Source of High-Energy Relativistic Particles. Galaxies, 9(3), 59. https://doi.org/10.3390/galaxies9030059
